Dietary inflammatory potential, genetic predisposition, and incidence of Crohn's disease and ulcerative colitis.

IF 4.1 2区 医学 Q2 NUTRITION & DIETETICS
Ji-Mei Gu, Miao Zhao, Jie Zhu, Hao-Wei Tao, Xiao-Ping Shao, Li-Qiang Qin, Yang-Yang Ge, Guo-Chong Chen
{"title":"Dietary inflammatory potential, genetic predisposition, and incidence of Crohn's disease and ulcerative colitis.","authors":"Ji-Mei Gu, Miao Zhao, Jie Zhu, Hao-Wei Tao, Xiao-Ping Shao, Li-Qiang Qin, Yang-Yang Ge, Guo-Chong Chen","doi":"10.1186/s12986-025-00934-z","DOIUrl":null,"url":null,"abstract":"<p><strong>Background: </strong>Evidence for a potential link between dietary inflammatory potential and inflammatory bowel disease is limited, and the moderating role of genetic susceptibility remains to be assessed.</p><p><strong>Objective: </strong>To evaluate energy-adjusted dietary inflammatory index (E-DII) for the associations with incident Crohn's disease (CD) and ulcerative colitis (UC) and the role of genetic susceptibility.</p><p><strong>Methods: </strong>A total of 205,706 UK Biobank participants who were aged 39-72 years and had no known CD or UC at baseline (2006-2010) were included. The E-DII score was calculated based on energy-adjusted average intakes of 33 food or nutrient items derived from up to five 24-hour dietary recalls. Multivariable Cox regression models were used estimate hazard ratios (HRs) with 95% confidence interval (CI) for incident CD and UC.</p><p><strong>Results: </strong>During a median 12.3 years of follow-up, 382 incident CD and 798 incident UC cases were ascertained. A higher E-DII score was not associated with risk of CD (HR <sub>Q4 VS. Q1</sub> = 1.28, 95% CI: 0.94-1.74; P-trend = 0.09) or UC (HR <sub>Q4 VS. Q1</sub> = 1.10, 95% CI: 0.90-1.36; P-trend = 0.17). There was an interaction between the E-DII and the polygenic risk score (PRS) for CD on incident CD (P-interaction = 0.023), with an association only among participants with a high PRS (HR <sub>Q4 VS. Q1</sub> = 1.64, 95% CI: 1.03-2.61) (P-interaction = 0.023). As compared with the participants with a low PRS for CD and a low E-DII score, participants with high levels of both scores had a particularly higher risk of CD (HR = 3.12; 95% CI: 1.74-5.60).</p><p><strong>Conclusions: </strong>The association of dietary inflammatory potential with incident CD appears to be amplified by high genetic susceptibility to CD.</p>","PeriodicalId":19196,"journal":{"name":"Nutrition & Metabolism","volume":"22 1","pages":"35"},"PeriodicalIF":4.1000,"publicationDate":"2025-05-01","publicationTypes":"Journal Article","fieldsOfStudy":null,"isOpenAccess":false,"openAccessPdf":"https://www.ncbi.nlm.nih.gov/pmc/articles/PMC12044715/pdf/","citationCount":"0","resultStr":null,"platform":"Semanticscholar","paperid":null,"PeriodicalName":"Nutrition & Metabolism","FirstCategoryId":"3","ListUrlMain":"https://doi.org/10.1186/s12986-025-00934-z","RegionNum":2,"RegionCategory":"医学","ArticlePicture":[],"TitleCN":null,"AbstractTextCN":null,"PMCID":null,"EPubDate":"","PubModel":"","JCR":"Q2","JCRName":"NUTRITION & DIETETICS","Score":null,"Total":0}
引用次数: 0

Abstract

Background: Evidence for a potential link between dietary inflammatory potential and inflammatory bowel disease is limited, and the moderating role of genetic susceptibility remains to be assessed.

Objective: To evaluate energy-adjusted dietary inflammatory index (E-DII) for the associations with incident Crohn's disease (CD) and ulcerative colitis (UC) and the role of genetic susceptibility.

Methods: A total of 205,706 UK Biobank participants who were aged 39-72 years and had no known CD or UC at baseline (2006-2010) were included. The E-DII score was calculated based on energy-adjusted average intakes of 33 food or nutrient items derived from up to five 24-hour dietary recalls. Multivariable Cox regression models were used estimate hazard ratios (HRs) with 95% confidence interval (CI) for incident CD and UC.

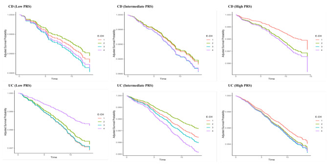
Results: During a median 12.3 years of follow-up, 382 incident CD and 798 incident UC cases were ascertained. A higher E-DII score was not associated with risk of CD (HR Q4 VS. Q1 = 1.28, 95% CI: 0.94-1.74; P-trend = 0.09) or UC (HR Q4 VS. Q1 = 1.10, 95% CI: 0.90-1.36; P-trend = 0.17). There was an interaction between the E-DII and the polygenic risk score (PRS) for CD on incident CD (P-interaction = 0.023), with an association only among participants with a high PRS (HR Q4 VS. Q1 = 1.64, 95% CI: 1.03-2.61) (P-interaction = 0.023). As compared with the participants with a low PRS for CD and a low E-DII score, participants with high levels of both scores had a particularly higher risk of CD (HR = 3.12; 95% CI: 1.74-5.60).

Conclusions: The association of dietary inflammatory potential with incident CD appears to be amplified by high genetic susceptibility to CD.

Abstract Image

Abstract Image

Abstract Image

饮食炎症潜能、遗传易感性和克罗恩病和溃疡性结肠炎的发病率。
背景:饮食炎症与炎症性肠病之间的潜在联系的证据有限,遗传易感性的调节作用仍有待评估。目的:评价能量调节饮食炎症指数(E-DII)与克罗恩病(CD)和溃疡性结肠炎(UC)发病的关系及其遗传易感性的作用。方法:共纳入205,706名英国生物银行参与者,年龄在39-72岁之间,基线时(2006-2010年)没有已知的CD或UC。E-DII评分是根据33种食物或营养项目的能量调整平均摄入量计算的,这些食物或营养项目来自最多5次24小时饮食召回。使用多变量Cox回归模型估计CD和UC事件的95%可信区间(CI)的风险比(hr)。结果:在中位12.3年的随访中,确定了382例CD和798例UC。较高的E-DII评分与CD风险无关(HR Q4 VS. Q1 = 1.28, 95% CI: 0.94-1.74;P-trend = 0.09)或UC (HR Q4 VS. Q1 = 1.10, 95% CI: 0.90-1.36;p趋势= 0.17)。E-DII与多基因风险评分(PRS)之间存在交互作用(P-interaction = 0.023),仅在高PRS的参与者之间存在关联(HR Q4 VS. Q1 = 1.64, 95% CI: 1.03-2.61) (P-interaction = 0.023)。与低CD PRS和低E-DII评分的参与者相比,两项评分均较高的参与者患CD的风险特别高(HR = 3.12;95% ci: 1.74-5.60)。结论:饮食炎症与乳糜泻事件的关联似乎被乳糜泻的高遗传易感性所放大。
本文章由计算机程序翻译,如有差异,请以英文原文为准。
求助全文
约1分钟内获得全文 求助全文
来源期刊
Nutrition & Metabolism
Nutrition & Metabolism 医学-营养学
CiteScore
8.40
自引率
0.00%
发文量
78
审稿时长
4-8 weeks
期刊介绍: Nutrition & Metabolism publishes studies with a clear focus on nutrition and metabolism with applications ranging from nutrition needs, exercise physiology, clinical and population studies, as well as the underlying mechanisms in these aspects. The areas of interest for Nutrition & Metabolism encompass studies in molecular nutrition in the context of obesity, diabetes, lipedemias, metabolic syndrome and exercise physiology. Manuscripts related to molecular, cellular and human metabolism, nutrient sensing and nutrient–gene interactions are also in interest, as are submissions that have employed new and innovative strategies like metabolomics/lipidomics or other omic-based biomarkers to predict nutritional status and metabolic diseases. Key areas we wish to encourage submissions from include: -how diet and specific nutrients interact with genes, proteins or metabolites to influence metabolic phenotypes and disease outcomes; -the role of epigenetic factors and the microbiome in the pathogenesis of metabolic diseases and their influence on metabolic responses to diet and food components; -how diet and other environmental factors affect epigenetics and microbiota; the extent to which genetic and nongenetic factors modify personal metabolic responses to diet and food compositions and the mechanisms involved; -how specific biologic networks and nutrient sensing mechanisms attribute to metabolic variability.
×
引用
GB/T 7714-2015
复制
MLA
复制
APA
复制
导出至
BibTeX EndNote RefMan NoteFirst NoteExpress
×
提示
您的信息不完整,为了账户安全,请先补充。
现在去补充
×
提示
您因"违规操作"
具体请查看互助需知
我知道了
×
提示
确定
请完成安全验证×
copy
已复制链接
快去分享给好友吧!
我知道了
右上角分享
点击右上角分享
0
联系我们:info@booksci.cn Book学术提供免费学术资源搜索服务,方便国内外学者检索中英文文献。致力于提供最便捷和优质的服务体验。 Copyright © 2023 布克学术 All rights reserved.
京ICP备2023020795号-1
ghs 京公网安备 11010802042870号
Book学术文献互助
Book学术文献互助群
群 号:604180095
Book学术官方微信