Interaction of accelerometer-measured physical activity and genetic risk on cardiovascular diseases: a prospective cohort study from UK Biobank.

IF 3.2 Q1 SPORT SCIENCES
BMJ Open Sport & Exercise Medicine Pub Date : 2025-04-28 eCollection Date: 2025-01-01 DOI:10.1136/bmjsem-2025-002547
Chaoyu Xu, Qingrong Zhang, Sihua Xu, Yiyuan Xiao, Liangyu Zhao, Tuojian Li, Wenjie Guo, Yanling Zhong, Haitao Chen
{"title":"Interaction of accelerometer-measured physical activity and genetic risk on cardiovascular diseases: a prospective cohort study from UK Biobank.","authors":"Chaoyu Xu, Qingrong Zhang, Sihua Xu, Yiyuan Xiao, Liangyu Zhao, Tuojian Li, Wenjie Guo, Yanling Zhong, Haitao Chen","doi":"10.1136/bmjsem-2025-002547","DOIUrl":null,"url":null,"abstract":"<p><strong>Objectives: </strong>This study aimed to evaluate the interactions of physical activity and polygenic risk score (PRS) on risks of atrial fibrillation, coronary heart disease (CHD), hypertension, and ischaemic stroke.</p><p><strong>Methods: </strong>This study included 91 629 participants from UK Biobank in this study, all of whom had worn a wrist-worn accelerometer for 7 consecutive days. We computed total volume of physical activity (TPA) and time spent in moderate to vigorous intensity physical activity (MVPA) and light intensity physical activity (LPA). Cox proportional hazard models were used to evaluate associations of physical activity with the four cardiovascular outcomes. Interactions between physical activity and PRS were investigated on multiplicative and additive scales.</p><p><strong>Results: </strong>During a median follow-up of 7.9 years, 3811 atrial fibrillation, 3994 CHD, 7345 hypertension and 1001 ischaemic stroke cases were recorded. TPA, MVPA and LPA were all negatively associated with risks of the four cardiovascular outcomes, generally independent of genetic risk. Association between LPA and atrial fibrillation was U-shaped among low-PRS stratum (p=0.01), and association between TPA and hypertension was attenuated with genetic risk increasing (p=0.02). Attributable risk (AR) of inactivity was higher in the high-PRS population. For example, increasing MVPA resulted in a twofold greater reduction in CHD cases among individuals with high PRS (AR=2.17%) than among those with low PRS (AR=1.09%).</p><p><strong>Conclusions: </strong>Increasing physical activity, including LPA, was associated with a reduced risk of cardiovascular diseases. The extent of this benefit may differ among individuals with different genetic risks.</p>","PeriodicalId":47417,"journal":{"name":"BMJ Open Sport & Exercise Medicine","volume":"11 2","pages":"e002547"},"PeriodicalIF":3.2000,"publicationDate":"2025-04-28","publicationTypes":"Journal Article","fieldsOfStudy":null,"isOpenAccess":false,"openAccessPdf":"https://www.ncbi.nlm.nih.gov/pmc/articles/PMC12039035/pdf/","citationCount":"0","resultStr":null,"platform":"Semanticscholar","paperid":null,"PeriodicalName":"BMJ Open Sport & Exercise Medicine","FirstCategoryId":"1085","ListUrlMain":"https://doi.org/10.1136/bmjsem-2025-002547","RegionNum":0,"RegionCategory":null,"ArticlePicture":[],"TitleCN":null,"AbstractTextCN":null,"PMCID":null,"EPubDate":"2025/1/1 0:00:00","PubModel":"eCollection","JCR":"Q1","JCRName":"SPORT SCIENCES","Score":null,"Total":0}
引用次数: 0

Abstract

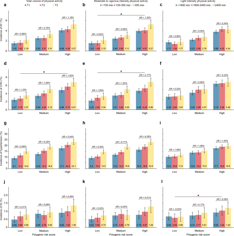
Objectives: This study aimed to evaluate the interactions of physical activity and polygenic risk score (PRS) on risks of atrial fibrillation, coronary heart disease (CHD), hypertension, and ischaemic stroke.

Methods: This study included 91 629 participants from UK Biobank in this study, all of whom had worn a wrist-worn accelerometer for 7 consecutive days. We computed total volume of physical activity (TPA) and time spent in moderate to vigorous intensity physical activity (MVPA) and light intensity physical activity (LPA). Cox proportional hazard models were used to evaluate associations of physical activity with the four cardiovascular outcomes. Interactions between physical activity and PRS were investigated on multiplicative and additive scales.

Results: During a median follow-up of 7.9 years, 3811 atrial fibrillation, 3994 CHD, 7345 hypertension and 1001 ischaemic stroke cases were recorded. TPA, MVPA and LPA were all negatively associated with risks of the four cardiovascular outcomes, generally independent of genetic risk. Association between LPA and atrial fibrillation was U-shaped among low-PRS stratum (p=0.01), and association between TPA and hypertension was attenuated with genetic risk increasing (p=0.02). Attributable risk (AR) of inactivity was higher in the high-PRS population. For example, increasing MVPA resulted in a twofold greater reduction in CHD cases among individuals with high PRS (AR=2.17%) than among those with low PRS (AR=1.09%).

Conclusions: Increasing physical activity, including LPA, was associated with a reduced risk of cardiovascular diseases. The extent of this benefit may differ among individuals with different genetic risks.

Abstract Image

Abstract Image

Abstract Image

加速度计测量的身体活动与心血管疾病遗传风险的相互作用:来自英国生物银行的前瞻性队列研究。
目的:本研究旨在评估体力活动和多基因风险评分(PRS)在房颤、冠心病、高血压和缺血性脑卒中风险中的相互作用。方法:本研究纳入来自UK Biobank的91 629名参与者,所有参与者均连续7天佩戴腕带加速度计。我们计算了身体活动总量(TPA)和中强度到高强度身体活动(MVPA)和轻强度身体活动(LPA)的时间。采用Cox比例风险模型评估体力活动与四种心血管结局的关系。在乘法和加性尺度上研究了体力活动与PRS之间的相互作用。结果:在中位随访7.9年期间,记录房颤3811例,冠心病3994例,高血压7345例,缺血性脑卒中1001例。TPA、MVPA和LPA与四种心血管结局的风险均呈负相关,一般与遗传风险无关。低prs阶层中LPA与房颤呈u型相关性(p=0.01), TPA与高血压的相关性随遗传风险的增加而减弱(p=0.02)。在高prs人群中,不运动的归因风险(AR)更高。例如,增加MVPA导致高PRS个体(AR=2.17%)的冠心病病例减少比低PRS个体(AR=1.09%)多两倍。结论:增加身体活动,包括LPA,与降低心血管疾病的风险相关。这种益处的程度在具有不同遗传风险的个体之间可能有所不同。
本文章由计算机程序翻译,如有差异,请以英文原文为准。
求助全文
约1分钟内获得全文 求助全文
来源期刊
CiteScore
7.10
自引率
4.20%
发文量
106
审稿时长
20 weeks
×
引用
GB/T 7714-2015
复制
MLA
复制
APA
复制
导出至
BibTeX EndNote RefMan NoteFirst NoteExpress
×
提示
您的信息不完整,为了账户安全,请先补充。
现在去补充
×
提示
您因"违规操作"
具体请查看互助需知
我知道了
×
提示
确定
请完成安全验证×
copy
已复制链接
快去分享给好友吧!
我知道了
右上角分享
点击右上角分享
0
联系我们:info@booksci.cn Book学术提供免费学术资源搜索服务,方便国内外学者检索中英文文献。致力于提供最便捷和优质的服务体验。 Copyright © 2023 布克学术 All rights reserved.
京ICP备2023020795号-1
ghs 京公网安备 11010802042870号
Book学术文献互助
Book学术文献互助群
群 号:604180095
Book学术官方微信