Mixing varieties mitigates early root competition in wheat under water and nutrient limitation.

IF 5.7 2区 生物学 Q1 PLANT SCIENCES
Germain Montazeaud, Pierre Roumet, Mickaël Lamboeuf, Christian Jeudy, Martin Ecarnot, Lise Malicet-Chebbah, Christophe Salon, Hélène Fréville
{"title":"Mixing varieties mitigates early root competition in wheat under water and nutrient limitation.","authors":"Germain Montazeaud, Pierre Roumet, Mickaël Lamboeuf, Christian Jeudy, Martin Ecarnot, Lise Malicet-Chebbah, Christophe Salon, Hélène Fréville","doi":"10.1093/jxb/eraf163","DOIUrl":null,"url":null,"abstract":"<p><p>Competition between plants can lead to a tragedy of the commons (TOC), where excessive investment in resource-harvesting organs reduces collective performance. Mixing crop varieties could resolve such TOCs through niche complementarity-if varieties differ in resource use-or selection effects, where competitive varieties benefit from weaker neighbours. While most studies on varietal mixtures focus on above-ground traits, below-ground interactions remain poorly understood. We grew 36 durum wheat (Triticum turgidum ssp. durum) varieties in pure stands and 54 binary mixtures using a high-throughput root phenotyping platform, under both non-limiting (R+) and limiting (R-) water and nutrient conditions, to assess early-stage root competition. In R-, mixtures produced less biomass than expected based on pure stands, largely due to a negative complementarity effect. This was mostly explained by the average projected root area of the two varieties. Rather than indicating a negative interaction, the effect reflected a relaxation of competition: varieties with larger root systems benefited from having weaker competitors, disengaging from the arms race for biomass accumulation. These findings suggest that root area is a promising breeding target for mitigating intra-specific competition and a critical trait for assembling optimal varietal mixtures.</p>","PeriodicalId":15820,"journal":{"name":"Journal of Experimental Botany","volume":" ","pages":"4171-4184"},"PeriodicalIF":5.7000,"publicationDate":"2025-09-17","publicationTypes":"Journal Article","fieldsOfStudy":null,"isOpenAccess":false,"openAccessPdf":"https://www.ncbi.nlm.nih.gov/pmc/articles/PMC12448814/pdf/","citationCount":"0","resultStr":null,"platform":"Semanticscholar","paperid":null,"PeriodicalName":"Journal of Experimental Botany","FirstCategoryId":"99","ListUrlMain":"https://doi.org/10.1093/jxb/eraf163","RegionNum":2,"RegionCategory":"生物学","ArticlePicture":[],"TitleCN":null,"AbstractTextCN":null,"PMCID":null,"EPubDate":"","PubModel":"","JCR":"Q1","JCRName":"PLANT SCIENCES","Score":null,"Total":0}
引用次数: 0

Abstract

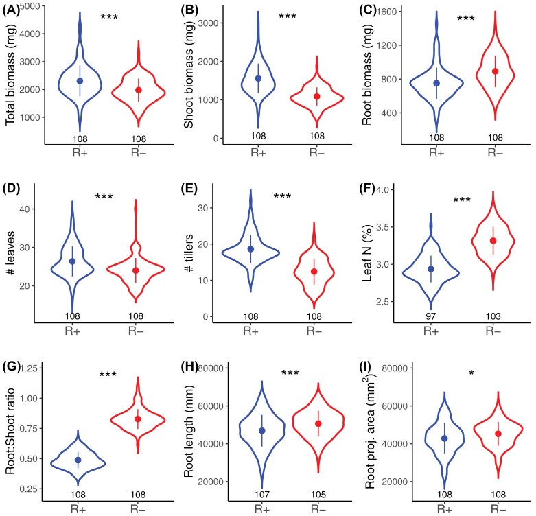
Competition between plants can lead to a tragedy of the commons (TOC), where excessive investment in resource-harvesting organs reduces collective performance. Mixing crop varieties could resolve such TOCs through niche complementarity-if varieties differ in resource use-or selection effects, where competitive varieties benefit from weaker neighbours. While most studies on varietal mixtures focus on above-ground traits, below-ground interactions remain poorly understood. We grew 36 durum wheat (Triticum turgidum ssp. durum) varieties in pure stands and 54 binary mixtures using a high-throughput root phenotyping platform, under both non-limiting (R+) and limiting (R-) water and nutrient conditions, to assess early-stage root competition. In R-, mixtures produced less biomass than expected based on pure stands, largely due to a negative complementarity effect. This was mostly explained by the average projected root area of the two varieties. Rather than indicating a negative interaction, the effect reflected a relaxation of competition: varieties with larger root systems benefited from having weaker competitors, disengaging from the arms race for biomass accumulation. These findings suggest that root area is a promising breeding target for mitigating intra-specific competition and a critical trait for assembling optimal varietal mixtures.

Abstract Image

Abstract Image

Abstract Image

混合品种减轻了水分和养分限制下小麦早期根系竞争。
植物之间的竞争可能导致公地悲剧(TOCs),过度投资于资源采集器官会降低集体绩效。不同作物品种混合可以解决这些TOCs问题,从而在保持高产的同时增加田间多样性,因为品种可能有不同的资源需求(积极的生态位互补效应),或者因为最具竞争力的品种从与较弱的竞争对手混合中受益(积极的选择效应)。迄今为止,大多数关于品种混合的研究都集中在地上,而由于与获取根系性状相关的挑战,对地下竞争的了解仍然很少。在本研究中,我们种植硬粒小麦(Triticum turgidum ssp)。在一个高通量根系表型平台上,研究硬质合金(Durum)品种混合,以表征品种之间早期的地下竞争。在无限制资源条件(R+)和水分和养分限制(R-)下,我们在纯林分和54个二元混合林分中种植了36个品种。在R-条件下,混交林幼苗生物量低于纯林分,主要是由于负互补效应。这一生物量减少的50%左右可以解释为两个品种在纯林中根系平均投影面积的减少,而不是品种之间的负相互作用,这种负互补效应反映了混合林中竞争的放松:高根系投影面积的品种是强大的竞争者,在纯林中过度投资地下器官。他们受益于平均而言,在混合林中有一个比他们弱的竞争者,从而脱离了生物量积累的军备竞赛。本研究结果表明,根面积是减少种内竞争的有希望的育种目标,也是混合组合考虑的关键性状。
本文章由计算机程序翻译,如有差异,请以英文原文为准。
求助全文
约1分钟内获得全文 求助全文
来源期刊
Journal of Experimental Botany
Journal of Experimental Botany 生物-植物科学
CiteScore
12.30
自引率
4.30%
发文量
450
审稿时长
1.9 months
期刊介绍: The Journal of Experimental Botany publishes high-quality primary research and review papers in the plant sciences. These papers cover a range of disciplines from molecular and cellular physiology and biochemistry through whole plant physiology to community physiology. Full-length primary papers should contribute to our understanding of how plants develop and function, and should provide new insights into biological processes. The journal will not publish purely descriptive papers or papers that report a well-known process in a species in which the process has not been identified previously. Articles should be concise and generally limited to 10 printed pages.
×
引用
GB/T 7714-2015
复制
MLA
复制
APA
复制
导出至
BibTeX EndNote RefMan NoteFirst NoteExpress
×
提示
您的信息不完整,为了账户安全,请先补充。
现在去补充
×
提示
您因"违规操作"
具体请查看互助需知
我知道了
×
提示
确定
请完成安全验证×
copy
已复制链接
快去分享给好友吧!
我知道了
右上角分享
点击右上角分享
0
联系我们:info@booksci.cn Book学术提供免费学术资源搜索服务,方便国内外学者检索中英文文献。致力于提供最便捷和优质的服务体验。 Copyright © 2023 布克学术 All rights reserved.
京ICP备2023020795号-1
ghs 京公网安备 11010802042870号
Book学术文献互助
Book学术文献互助群
群 号:604180095
Book学术官方微信