Detection rates for prostate cancer using PI-RADS 2.1 upgrading rules in transition zone lesions align with risk assessment categories: a systematic review and meta-analysis.

IF 4.7 2区 医学 Q1 RADIOLOGY, NUCLEAR MEDICINE & MEDICAL IMAGING
European Radiology Pub Date : 2025-10-01 Epub Date: 2025-04-27 DOI:10.1007/s00330-025-11618-w
Georgios Agrotis, Eduardo Pais Pooch, Kostas Marsitopoulos, Marianna Vlychou, Matthias Benndorf, Regina G H Beets-Tan, Ivo G Schoots
{"title":"Detection rates for prostate cancer using PI-RADS 2.1 upgrading rules in transition zone lesions align with risk assessment categories: a systematic review and meta-analysis.","authors":"Georgios Agrotis, Eduardo Pais Pooch, Kostas Marsitopoulos, Marianna Vlychou, Matthias Benndorf, Regina G H Beets-Tan, Ivo G Schoots","doi":"10.1007/s00330-025-11618-w","DOIUrl":null,"url":null,"abstract":"<p><strong>Objective: </strong>To evaluate and compare cancer detection rates (CDRs) of transition zone (TZ) lesions upgraded from PI-RADSv2.1 score 2 to 3 (\"2 + 1\") or from 3 to 4 (\"3 + 1\") using DWI and assess their clinical impact.</p><p><strong>Materials and methods: </strong>A systematic literature search was performed in Embase, Medline, and Web of Science for studies assessing TZ lesions with DWI in PI-RADSv2.1, with histology-confirmed grade group ≥ 2 cancer (GG ≥ 2) as the primary outcome. Risk of bias was evaluated using QUADAS-2. Pooled sensitivity, specificity, CDRs, and odds ratios (ORs) were estimated at the lesion level using a bivariate binomial random-effects model.</p><p><strong>Results: </strong>Eight studies with 1535 TZ lesions were included. GG ≥ 2 CDRs for PI-RADS scores of 1, 2, 2 + 1, 3, 3 + 1, 4, and 5 were 2% (95%CI: 0%-12%), 6% (4%-10%), 13% (6%-23%), 19% (15%-25%), 37% (24%-52%), 49% (32%-67%), and 73% (66%-79%), respectively. Scores of 2 + 1 had higher GG ≥ 2 CDRs than 2 (OR 3.37 (1.53-7.44), p = 0.003) but were similar to 3 (OR 0.80 (0.44-1.45), p = 0.46). Scores of 3 + 1 had higher GG ≥ 2 CDRs than 3 (OR 2.67 (1.27-5.59), p = 0.009) but were similar to 4 (OR 0.68 (0.33-1.44), p = 0.32). False-positive rates remained substantial (≥ 2 + 1: 69% (55%-80%); ≥ 3: 54% (46%-62%)).</p><p><strong>Conclusion: </strong>The risk of having significant prostate cancer in \"2 + 1\" and \"3 + 1\" TZ lesions, with an upgrading based on DWI images, is appropriately categorized within the PI-RADS v2.1 scoring system, as shown by this meta-analysis.</p><p><strong>Key points: </strong>Question PI-RADS v2.1 incorporates rules allowing scores of some transition zone (TZ) lesions to be increased. Literature on the clinical impact of these rules is scarce. Findings For TZ lesions upgraded with DWI: \"2 + 1\" lesions show a cancer detection rate (CDR) of 13%, and \"3 + 1\" lesions show a CDR of 37%. Clinical relevance Upgraded TZ lesions may impact individualized biopsy-decisions, especially as \"3 + 1\" lesions harbor significant disease in 2-out-of-5 patients. Still, the high rate of grade group = 1 and benign findings in these sub-categories emphasizes the need for strategies to minimize overdiagnosis.</p>","PeriodicalId":12076,"journal":{"name":"European Radiology","volume":" ","pages":"6454-6465"},"PeriodicalIF":4.7000,"publicationDate":"2025-10-01","publicationTypes":"Journal Article","fieldsOfStudy":null,"isOpenAccess":false,"openAccessPdf":"https://www.ncbi.nlm.nih.gov/pmc/articles/PMC12417277/pdf/","citationCount":"0","resultStr":null,"platform":"Semanticscholar","paperid":null,"PeriodicalName":"European Radiology","FirstCategoryId":"3","ListUrlMain":"https://doi.org/10.1007/s00330-025-11618-w","RegionNum":2,"RegionCategory":"医学","ArticlePicture":[],"TitleCN":null,"AbstractTextCN":null,"PMCID":null,"EPubDate":"2025/4/27 0:00:00","PubModel":"Epub","JCR":"Q1","JCRName":"RADIOLOGY, NUCLEAR MEDICINE & MEDICAL IMAGING","Score":null,"Total":0}
引用次数: 0

Abstract

Objective: To evaluate and compare cancer detection rates (CDRs) of transition zone (TZ) lesions upgraded from PI-RADSv2.1 score 2 to 3 ("2 + 1") or from 3 to 4 ("3 + 1") using DWI and assess their clinical impact.

Materials and methods: A systematic literature search was performed in Embase, Medline, and Web of Science for studies assessing TZ lesions with DWI in PI-RADSv2.1, with histology-confirmed grade group ≥ 2 cancer (GG ≥ 2) as the primary outcome. Risk of bias was evaluated using QUADAS-2. Pooled sensitivity, specificity, CDRs, and odds ratios (ORs) were estimated at the lesion level using a bivariate binomial random-effects model.

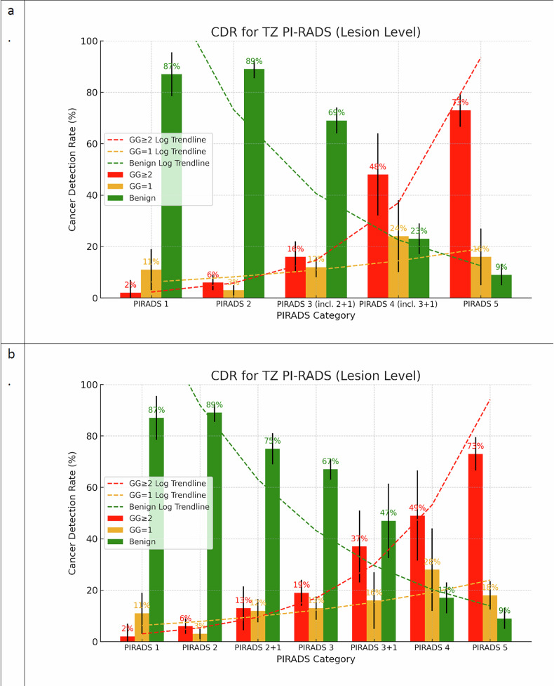
Results: Eight studies with 1535 TZ lesions were included. GG ≥ 2 CDRs for PI-RADS scores of 1, 2, 2 + 1, 3, 3 + 1, 4, and 5 were 2% (95%CI: 0%-12%), 6% (4%-10%), 13% (6%-23%), 19% (15%-25%), 37% (24%-52%), 49% (32%-67%), and 73% (66%-79%), respectively. Scores of 2 + 1 had higher GG ≥ 2 CDRs than 2 (OR 3.37 (1.53-7.44), p = 0.003) but were similar to 3 (OR 0.80 (0.44-1.45), p = 0.46). Scores of 3 + 1 had higher GG ≥ 2 CDRs than 3 (OR 2.67 (1.27-5.59), p = 0.009) but were similar to 4 (OR 0.68 (0.33-1.44), p = 0.32). False-positive rates remained substantial (≥ 2 + 1: 69% (55%-80%); ≥ 3: 54% (46%-62%)).

Conclusion: The risk of having significant prostate cancer in "2 + 1" and "3 + 1" TZ lesions, with an upgrading based on DWI images, is appropriately categorized within the PI-RADS v2.1 scoring system, as shown by this meta-analysis.

Key points: Question PI-RADS v2.1 incorporates rules allowing scores of some transition zone (TZ) lesions to be increased. Literature on the clinical impact of these rules is scarce. Findings For TZ lesions upgraded with DWI: "2 + 1" lesions show a cancer detection rate (CDR) of 13%, and "3 + 1" lesions show a CDR of 37%. Clinical relevance Upgraded TZ lesions may impact individualized biopsy-decisions, especially as "3 + 1" lesions harbor significant disease in 2-out-of-5 patients. Still, the high rate of grade group = 1 and benign findings in these sub-categories emphasizes the need for strategies to minimize overdiagnosis.

Abstract Image

Abstract Image

Abstract Image

使用PI-RADS 2.1升级规则对前列腺癌过渡区病变的检出率与风险评估类别一致:系统回顾和荟萃分析
目的:评价和比较PI-RADSv2.1评分从2分提升至3分(“2 + 1”)或从3分提升至4分(“3 + 1”)的过渡区病变DWI的癌症检出率(CDRs),并评估其临床影响。材料和方法:在Embase、Medline和Web of Science中系统检索PI-RADSv2.1中DWI评估TZ病变的研究,以组织学证实≥2级癌(GG≥2)为主要结局。使用QUADAS-2评估偏倚风险。使用双变量二项随机效应模型估计病变水平的综合敏感性、特异性、cdr和比值比(ORs)。结果:共纳入8项研究,共1535例TZ病变。GG≥2 cdr PI-RADS成绩1、2、2 + 1,3,3 + 1,4,5 2% (95% ci: 0% - -12%), 6%(4% - -10%), 13%(6% - -23%), 19%(15% - -25%), 37%(24% - -52%), 49%(32% - -67%),分别为73%(66% - -79%)。得分2 + 1的GG≥2 cdr高于得分2 (OR 3.37 (1.53-7.44), p = 0.003),但与得分3相似(OR 0.80 (0.44-1.45), p = 0.46)。得分3 + 1的GG≥2 cdr高于得分3的(OR 2.67 (1.27-5.59), p = 0.009),但与得分4的相似(OR 0.68 (0.33-1.44), p = 0.32)。假阳性率仍然很高(≥2 + 1:69% (55%-80%);≥3:54%(46%-62%))。结论:在PI-RADS v2.1评分系统中,“2 + 1”和“3 + 1”TZ病变发生显著前列腺癌的风险被恰当地分类,并基于DWI图像进行升级,如本meta分析所示。PI-RADS v2.1纳入了允许增加某些过渡区(TZ)病变评分的规则。关于这些规则的临床影响的文献很少。对于DWI升级的TZ病变,“2 + 1”病变的癌症检出率(CDR)为13%,“3 + 1”病变的CDR为37%。升级的TZ病变可能会影响个体化活检的决定,特别是在“3 + 1”病变中有2 / 5的患者存在重大疾病。尽管如此,在这些分类中,高比率的组= 1级和良性发现强调了减少过度诊断的策略的必要性。
本文章由计算机程序翻译,如有差异,请以英文原文为准。
求助全文
约1分钟内获得全文 求助全文
来源期刊
European Radiology
European Radiology 医学-核医学
CiteScore
11.60
自引率
8.50%
发文量
874
审稿时长
2-4 weeks
期刊介绍: European Radiology (ER) continuously updates scientific knowledge in radiology by publication of strong original articles and state-of-the-art reviews written by leading radiologists. A well balanced combination of review articles, original papers, short communications from European radiological congresses and information on society matters makes ER an indispensable source for current information in this field. This is the Journal of the European Society of Radiology, and the official journal of a number of societies. From 2004-2008 supplements to European Radiology were published under its companion, European Radiology Supplements, ISSN 1613-3749.
×
引用
GB/T 7714-2015
复制
MLA
复制
APA
复制
导出至
BibTeX EndNote RefMan NoteFirst NoteExpress
×
提示
您的信息不完整,为了账户安全,请先补充。
现在去补充
×
提示
您因"违规操作"
具体请查看互助需知
我知道了
×
提示
确定
请完成安全验证×
copy
已复制链接
快去分享给好友吧!
我知道了
右上角分享
点击右上角分享
0
联系我们:info@booksci.cn Book学术提供免费学术资源搜索服务,方便国内外学者检索中英文文献。致力于提供最便捷和优质的服务体验。 Copyright © 2023 布克学术 All rights reserved.
京ICP备2023020795号-1
ghs 京公网安备 11010802042870号
Book学术文献互助
Book学术文献互助群
群 号:604180095
Book学术官方微信