Outcomes of Bilateral Scandinavian Total Ankle Replacement: A Detailed Analysis of Implant Survivability and Patient-Reported Outcomes.

Foot & Ankle Orthopaedics Pub Date : 2025-04-18 eCollection Date: 2025-04-01 DOI:10.1177/24730114251329349
Alexandra Hunter Aitchison, Albert T Anastasio, Kevin A Wu, Emily Poehlein, Cynthia Green, Samuel B Adams, James K DeOrio, Mark E Easley, James A Nunley
{"title":"Outcomes of Bilateral Scandinavian Total Ankle Replacement: A Detailed Analysis of Implant Survivability and Patient-Reported Outcomes.","authors":"Alexandra Hunter Aitchison, Albert T Anastasio, Kevin A Wu, Emily Poehlein, Cynthia Green, Samuel B Adams, James K DeOrio, Mark E Easley, James A Nunley","doi":"10.1177/24730114251329349","DOIUrl":null,"url":null,"abstract":"<p><strong>Background: </strong>Total ankle replacement (TAR) is an established treatment for end-stage ankle arthritis, offering pain relief and improved functionality. The Scandinavian Total Ankle Replacement (STAR) was first used in the United States in 1998 and although unilateral STAR has been extensively studied, there is limited documentation on the outcomes of simultaneous bilateral STAR procedures. This study aimed to evaluate the survivability and patient-reported outcomes of simultaneous bilateral STAR, focusing on implant survival rates and improvements in quality of life, function, and pain relief.</p><p><strong>Methods: </strong>A retrospective cohort study was conducted on all patients managed with primary TAR performed simultaneously with bilateral STAR prostheses at our institution from July 1998 to February 2008. Demographics and perioperative characteristics were collected. Poisson regression was used for analyzing implant survivability, and generalized linear mixed models were applied to assess patient-reported outcomes, including the visual analog scale (VAS), Short Musculoskeletal Function Assessment (SMFA), 36-Item Short Form Health Survey (SF-36), and American Orthopaedic Foot & Ankle Society (AOFAS) hindfoot, at multiple follow-up time points.</p><p><strong>Results: </strong>Twenty-one patients were included for a total of 42 implants. The average length of follow up was 4.9 ± 2.7 years. The implant failure rate at 5 years was 12.0% (95% CI 4.5%-32.0%). The last recorded failure occurred at 8 years postimplant, with an implant failure rate of 19.2% (95% CI 17.2%-51.1%). Statistically significant improvements were observed in all patient-reported outcome measures from baseline to the 5-year follow-up (<i>P</i> < .05) except SMFA bother because of high variability and small sample size.</p><p><strong>Conclusion: </strong>At midterm follow-up, patients who underwent bilateral simultaneous TAR with the STAR prosthesis experienced a significant and durable improvement in patient-reported outcome scores across multiple functional indices. Failure rates were within range to those reported in previous studies evaluating unilateral STAR, with an estimated average survivorship of 80.8% at 8 years.</p><p><strong>Level of evidence: </strong>Level IV, case series.</p>","PeriodicalId":12429,"journal":{"name":"Foot & Ankle Orthopaedics","volume":"10 2","pages":"24730114251329349"},"PeriodicalIF":0.0000,"publicationDate":"2025-04-18","publicationTypes":"Journal Article","fieldsOfStudy":null,"isOpenAccess":false,"openAccessPdf":"https://www.ncbi.nlm.nih.gov/pmc/articles/PMC12034982/pdf/","citationCount":"0","resultStr":null,"platform":"Semanticscholar","paperid":null,"PeriodicalName":"Foot & Ankle Orthopaedics","FirstCategoryId":"1085","ListUrlMain":"https://doi.org/10.1177/24730114251329349","RegionNum":0,"RegionCategory":null,"ArticlePicture":[],"TitleCN":null,"AbstractTextCN":null,"PMCID":null,"EPubDate":"2025/4/1 0:00:00","PubModel":"eCollection","JCR":"","JCRName":"","Score":null,"Total":0}
引用次数: 0

Abstract

Background: Total ankle replacement (TAR) is an established treatment for end-stage ankle arthritis, offering pain relief and improved functionality. The Scandinavian Total Ankle Replacement (STAR) was first used in the United States in 1998 and although unilateral STAR has been extensively studied, there is limited documentation on the outcomes of simultaneous bilateral STAR procedures. This study aimed to evaluate the survivability and patient-reported outcomes of simultaneous bilateral STAR, focusing on implant survival rates and improvements in quality of life, function, and pain relief.

Methods: A retrospective cohort study was conducted on all patients managed with primary TAR performed simultaneously with bilateral STAR prostheses at our institution from July 1998 to February 2008. Demographics and perioperative characteristics were collected. Poisson regression was used for analyzing implant survivability, and generalized linear mixed models were applied to assess patient-reported outcomes, including the visual analog scale (VAS), Short Musculoskeletal Function Assessment (SMFA), 36-Item Short Form Health Survey (SF-36), and American Orthopaedic Foot & Ankle Society (AOFAS) hindfoot, at multiple follow-up time points.

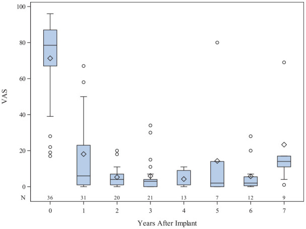
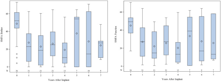
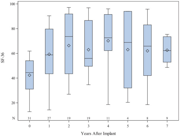
Results: Twenty-one patients were included for a total of 42 implants. The average length of follow up was 4.9 ± 2.7 years. The implant failure rate at 5 years was 12.0% (95% CI 4.5%-32.0%). The last recorded failure occurred at 8 years postimplant, with an implant failure rate of 19.2% (95% CI 17.2%-51.1%). Statistically significant improvements were observed in all patient-reported outcome measures from baseline to the 5-year follow-up (P < .05) except SMFA bother because of high variability and small sample size.

Conclusion: At midterm follow-up, patients who underwent bilateral simultaneous TAR with the STAR prosthesis experienced a significant and durable improvement in patient-reported outcome scores across multiple functional indices. Failure rates were within range to those reported in previous studies evaluating unilateral STAR, with an estimated average survivorship of 80.8% at 8 years.

Level of evidence: Level IV, case series.

Abstract Image

Abstract Image

Abstract Image

双侧斯堪的纳维亚全踝关节置换术的结果:植入物存活率和患者报告结果的详细分析。
背景:全踝关节置换术(TAR)是终末期踝关节关节炎的一种成熟治疗方法,可以缓解疼痛并改善功能。斯堪的纳维亚全踝关节置换术(STAR)于1998年首次在美国使用,尽管单侧STAR手术已被广泛研究,但关于同时双侧STAR手术的结果文献有限。本研究旨在评估同时双侧STAR的生存能力和患者报告的结果,重点关注种植体存活率和生活质量、功能和疼痛缓解的改善。方法:回顾性队列研究1998年7月至2008年2月,本院所有同时行TAR和双侧STAR假体的患者。收集人口统计学和围手术期特征。使用泊松回归分析植入物的存活率,并应用广义线性混合模型评估患者报告的结果,包括视觉模拟量表(VAS)、短肌肉骨骼功能评估(SMFA)、36项简短健康调查(SF-36)和美国矫形足踝协会(AOFAS)在多个随访时间点的后足。结果:21例患者共42枚种植体。平均随访时间为4.9±2.7年。5年种植体失败率为12.0% (95% CI 4.5%-32.0%)。最后记录的失败发生在种植后8年,种植体失败率为19.2% (95% CI 17.2%-51.1%)。从基线到5年随访,除SMFA外,所有患者报告的结果测量均有统计学显著改善(P < 0.05),因为高变异性和小样本量。结论:在中期随访中,双侧同时行TAR和STAR假体的患者在患者报告的多个功能指标的结局评分中获得了显著且持久的改善。失败率与先前评估单侧STAR的研究报告一致,估计8年平均生存率为80.8%。证据等级:四级,案例系列。
本文章由计算机程序翻译,如有差异,请以英文原文为准。
求助全文
约1分钟内获得全文 求助全文
来源期刊
Foot & Ankle Orthopaedics
Foot & Ankle Orthopaedics Medicine-Orthopedics and Sports Medicine
CiteScore
1.20
自引率
0.00%
发文量
1152
×
引用
GB/T 7714-2015
复制
MLA
复制
APA
复制
导出至
BibTeX EndNote RefMan NoteFirst NoteExpress
×
提示
您的信息不完整,为了账户安全,请先补充。
现在去补充
×
提示
您因"违规操作"
具体请查看互助需知
我知道了
×
提示
确定
请完成安全验证×
copy
已复制链接
快去分享给好友吧!
我知道了
右上角分享
点击右上角分享
0
联系我们:info@booksci.cn Book学术提供免费学术资源搜索服务,方便国内外学者检索中英文文献。致力于提供最便捷和优质的服务体验。 Copyright © 2023 布克学术 All rights reserved.
京ICP备2023020795号-1
ghs 京公网安备 11010802042870号
Book学术文献互助
Book学术文献互助群
群 号:604180095
Book学术官方微信