Feasibility of ecological momentary assessment in measuring physical activity and sedentary behaviour in shift and non-shift workers.

Malebogo Monnaatsie, Stuart J H Biddle, Tracy Kolbe-Alexander
{"title":"Feasibility of ecological momentary assessment in measuring physical activity and sedentary behaviour in shift and non-shift workers.","authors":"Malebogo Monnaatsie, Stuart J H Biddle, Tracy Kolbe-Alexander","doi":"10.1186/s44167-024-00063-7","DOIUrl":null,"url":null,"abstract":"<p><strong>Background: </strong>Previous studies assessing shift workers' behaviours have mainly used self-report recall questionnaires, however these measures don't always account for variations in work schedules. Alternative methods that allow for real-time assessments tailored to capture variations in work patterns might provide more accurate measures of physical activity (PA) and sedentary behaviour (SB). Therefore, the aim of this study was to evaluate the feasibility of Ecological Momentary Assessment (EMA), which provides real-time evaluations of PA and SB in shift workers. A secondary aim was to compare shift workers and non-shift worker responses.</p><p><strong>Methods: </strong>Participants (n = 120; 58% female, mean M<sub>age</sub>=36.0), included 69 shift workers and 51 non-shift workers. After downloading the EMA app, shift workers received either interval-contingent tailored (SW-T) or standardized EMA prompts (SW-S) over 7-10 days, while non-shift workers received standardized prompts (NSW-S) for seven days. Prompts were scheduled five times daily, every three hours. The EMA survey asked participants to report their current activity, including type, duration, and location of physical activity and sitting. Feasibility was assessed by analysing recruitment, retention, and compliance rates (EMA surveys completed) across SW-T, SW-S, and NSW-S groups.</p><p><strong>Results: </strong>Approximately 78% of invited workers enrolled, and all enrolled workers completed at least one prompt on 4 out 7 days in the NSW-S and 7 out of 10 days in the SW group. Workers who chose not to participate reported unwillingness to travel for meetings (n = 14), while others did not respond (n = 20). Participants completed an average of 24 surveys per day, each one taking less than 30 s to complete. Overall, 64% of EMA surveys were started and completed. SW-S completed the least prompts (57%), while SW-T and NSW-S completed 64% and 68%, respectively (p = 0.90). On average, workers missed 36% EMA surveys which was similar for SW and NSW (p = 0.05).</p><p><strong>Conclusion: </strong>Our study represents one of the few studies that has used EMA in the shift work population with adaptation to shift schedules. The findings showed a modest compliance to EMA. Strategies are needed to enhance compliance rates. However, EMA shows promise for capturing real-time behaviours in shift workers' natural work environments.</p>","PeriodicalId":73581,"journal":{"name":"Journal of activity, sedentary and sleep behaviors","volume":"3 1","pages":"24"},"PeriodicalIF":0.0000,"publicationDate":"2024-10-08","publicationTypes":"Journal Article","fieldsOfStudy":null,"isOpenAccess":false,"openAccessPdf":"https://www.ncbi.nlm.nih.gov/pmc/articles/PMC11960382/pdf/","citationCount":"0","resultStr":null,"platform":"Semanticscholar","paperid":null,"PeriodicalName":"Journal of activity, sedentary and sleep behaviors","FirstCategoryId":"1085","ListUrlMain":"https://doi.org/10.1186/s44167-024-00063-7","RegionNum":0,"RegionCategory":null,"ArticlePicture":[],"TitleCN":null,"AbstractTextCN":null,"PMCID":null,"EPubDate":"","PubModel":"","JCR":"","JCRName":"","Score":null,"Total":0}
引用次数: 0

Abstract

Background: Previous studies assessing shift workers' behaviours have mainly used self-report recall questionnaires, however these measures don't always account for variations in work schedules. Alternative methods that allow for real-time assessments tailored to capture variations in work patterns might provide more accurate measures of physical activity (PA) and sedentary behaviour (SB). Therefore, the aim of this study was to evaluate the feasibility of Ecological Momentary Assessment (EMA), which provides real-time evaluations of PA and SB in shift workers. A secondary aim was to compare shift workers and non-shift worker responses.

Methods: Participants (n = 120; 58% female, mean Mage=36.0), included 69 shift workers and 51 non-shift workers. After downloading the EMA app, shift workers received either interval-contingent tailored (SW-T) or standardized EMA prompts (SW-S) over 7-10 days, while non-shift workers received standardized prompts (NSW-S) for seven days. Prompts were scheduled five times daily, every three hours. The EMA survey asked participants to report their current activity, including type, duration, and location of physical activity and sitting. Feasibility was assessed by analysing recruitment, retention, and compliance rates (EMA surveys completed) across SW-T, SW-S, and NSW-S groups.

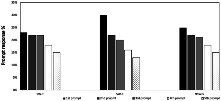
Results: Approximately 78% of invited workers enrolled, and all enrolled workers completed at least one prompt on 4 out 7 days in the NSW-S and 7 out of 10 days in the SW group. Workers who chose not to participate reported unwillingness to travel for meetings (n = 14), while others did not respond (n = 20). Participants completed an average of 24 surveys per day, each one taking less than 30 s to complete. Overall, 64% of EMA surveys were started and completed. SW-S completed the least prompts (57%), while SW-T and NSW-S completed 64% and 68%, respectively (p = 0.90). On average, workers missed 36% EMA surveys which was similar for SW and NSW (p = 0.05).

Conclusion: Our study represents one of the few studies that has used EMA in the shift work population with adaptation to shift schedules. The findings showed a modest compliance to EMA. Strategies are needed to enhance compliance rates. However, EMA shows promise for capturing real-time behaviours in shift workers' natural work environments.

Abstract Image

Abstract Image

Abstract Image

生态瞬时评估测量轮班和非轮班工人身体活动和久坐行为的可行性。
背景:先前评估轮班工人行为的研究主要使用自我报告回忆问卷,然而这些措施并不总是考虑到工作时间表的变化。另一种方法允许实时评估,以捕捉工作模式的变化,可能提供更准确的身体活动(PA)和久坐行为(SB)的测量。因此,本研究的目的是评估生态瞬时评估(EMA)的可行性,该评估可以实时评估轮班工人的PA和SB。第二个目的是比较轮班工人和非轮班工人的反应。方法:参与者(n = 120;58%为女性,平均年龄36.0),包括69名轮班工人和51名非轮班工人。在下载EMA应用程序后,轮班工人在7-10天内收到间隔定制(SW-T)或标准化EMA提示(SW-S),而非轮班工人则收到标准化提示(NSW-S),为期7天。提示每天安排五次,每三小时一次。EMA的调查要求参与者报告他们目前的活动,包括类型、持续时间、身体活动和坐姿的位置。通过分析SW-T、SW-S和NSW-S组的招聘、保留和合规率(完成的EMA调查)来评估可行性。结果:大约78%的被邀请的工人参加了,所有参加的工人在NSW-S组的7天中有4天完成了至少一个提示,在SW组的10天中有7天完成了至少一个提示。选择不参加的员工表示不愿意出差参加会议(n = 14),而其他员工则没有回应(n = 20)。参与者平均每天完成24份调查,每份调查的完成时间不超过30秒。总体而言,64%的EMA调查已经开始并完成。SW-S完成提示最少(57%),而SW-T和NSW-S分别完成64%和68% (p = 0.90)。平均而言,工人错过了36%的EMA调查,这与SW和NSW相似(p = 0.05)。结论:我们的研究是少数在轮班工作人群中使用EMA适应轮班时间表的研究之一。调查结果显示对EMA的适度遵守。需要制定战略来提高遵守率。然而,EMA显示了在轮班工人的自然工作环境中捕捉实时行为的希望。
本文章由计算机程序翻译,如有差异,请以英文原文为准。
求助全文
约1分钟内获得全文 求助全文
来源期刊
自引率
0.00%
发文量
0
×
引用
GB/T 7714-2015
复制
MLA
复制
APA
复制
导出至
BibTeX EndNote RefMan NoteFirst NoteExpress
×
提示
您的信息不完整,为了账户安全,请先补充。
现在去补充
×
提示
您因"违规操作"
具体请查看互助需知
我知道了
×
提示
确定
请完成安全验证×
copy
已复制链接
快去分享给好友吧!
我知道了
右上角分享
点击右上角分享
0
联系我们:info@booksci.cn Book学术提供免费学术资源搜索服务,方便国内外学者检索中英文文献。致力于提供最便捷和优质的服务体验。 Copyright © 2023 布克学术 All rights reserved.
京ICP备2023020795号-1
ghs 京公网安备 11010802042870号
Book学术文献互助
Book学术文献互助群
群 号:604180095
Book学术官方微信