Corynanthe pachyceras K. Schum (Rubiaceae) boosts sexual behavior, improves sexual hormones/semen quality and, modulates oxidative stress in a rat model of age-induced hypogonadism: an experimental study.

IF 2 3区 医学 Q1 MEDICINE, GENERAL & INTERNAL
Sexual Medicine Pub Date : 2025-05-06 eCollection Date: 2025-04-01 DOI:10.1093/sexmed/qfaf033
Aubrile Julie Ndomgang, Henderson Herris Karl Ngombeu Zeugang, Yannick Baudouin Tchatat Petnga, Georges Romeo Bonsou Fozin, Aimé Césaire Tetsatsi Momo, Modeste Wankeu-Nya, Esther Ngadjui, Pierre Watcho
{"title":"<i>Corynanthe pachyceras</i> K. Schum (Rubiaceae) boosts sexual behavior, improves sexual hormones/semen quality and, modulates oxidative stress in a rat model of age-induced hypogonadism: an experimental study.","authors":"Aubrile Julie Ndomgang, Henderson Herris Karl Ngombeu Zeugang, Yannick Baudouin Tchatat Petnga, Georges Romeo Bonsou Fozin, Aimé Césaire Tetsatsi Momo, Modeste Wankeu-Nya, Esther Ngadjui, Pierre Watcho","doi":"10.1093/sexmed/qfaf033","DOIUrl":null,"url":null,"abstract":"<p><strong>Background: </strong>Hypogonadism refers to a condition where the body does not produce enough testosterone. It is an important cause of male sexual dysfunctions and infertility. <i>Corynanthe pachyceras</i> is a medicinal plant with a claimed powerful aphrodisiac potential.</p><p><strong>Aim: </strong>This study investigated the capacities of <i>C. pachyceras</i> in boosting the sexual performance of age-related hypogonadic rat.</p><p><strong>Methods: </strong>Thirty-six aged (17-19-months-old) male Wistar rats (n = 6/group) were randomly distributed into six groups and orally treated with either distilled water (10 mg/kg), Viagra (5 mg/kg), aqueous or ethanolic extracts of <i>C. pachyceras</i> (8 mg/kg or 50 mg/kg) within two weeks. The copulatory activity was tested on days 0, 7, and 14 using receptive females. Body and sex organ weights, sperm parameters, sex hormones, oxidative stress markers, and penile nitric oxide (NO) were measured.</p><p><strong>Outcomes: </strong>The main outcome of this work is the confirmed efficacy of <i>C. pachyceras</i> in improving the reproductive performance of age-related hypogonadic rats.</p><p><strong>Results: </strong>The copulatory activity of the untreated hypogonadic aged rats (distilled water group) was low and marked by a significant increase in the sexual motivation (latencies and post-ejaculatory interval) and a decrease in the sexual performance (frequencies). Malondialdehyde level was increased, whereas the activities of superoxide dismutase and glutathione were decreased. Treatment of aged rats with the aqueous or ethanolic extracts of <i>C. pachyceras</i> brought important changes, shown by the significant decrease in the motivation parameters and the increase in the ejaculation frequency. Sperm count and motility (<i>P</i> < .01-.001), LH (<i>P</i> < .01), FSH (<i>P</i> < .01-.001), testosterone (<i>P</i> < .01), and NO (<i>P</i> < .05) levels that were altered in the untreated aged rats were increased in those receiving <i>C. pachyceras</i> extracts. The plant extracts also significantly (<i>P</i> < .05-.01) improved the antioxidant status by reducing the level of MDA and increasing that of SOD (<i>P</i> < .05-.01) and glutathione.</p><p><strong>Clinical translation: </strong><i>C. pachyceras</i> may serve as a potential therapeutic agent for improving the sexual health of androgen-deficient subjects such as aged men.</p><p><strong>Strengths and limitations: </strong><i>C. pachyceras</i> has androgenic, aphrodisiac, and antioxidant properties. However, its molecular mechanism is not yet determined. A well-structured clinical study needs also to be carried to confirm the effects of <i>C. pachyceras</i> on humans.</p><p><strong>Conclusion: </strong>Present findings showed that <i>C. pachyceras</i> can boost the reproductive conditions of age-induced hypogonadism rats through its androgenic, aphrodisiac, and antioxidant potentials. However, further studies are still needed to gain more medical insight into this plant.</p>","PeriodicalId":21782,"journal":{"name":"Sexual Medicine","volume":"13 2","pages":"qfaf033"},"PeriodicalIF":2.0000,"publicationDate":"2025-05-06","publicationTypes":"Journal Article","fieldsOfStudy":null,"isOpenAccess":false,"openAccessPdf":"https://www.ncbi.nlm.nih.gov/pmc/articles/PMC12053115/pdf/","citationCount":"0","resultStr":null,"platform":"Semanticscholar","paperid":null,"PeriodicalName":"Sexual Medicine","FirstCategoryId":"3","ListUrlMain":"https://doi.org/10.1093/sexmed/qfaf033","RegionNum":3,"RegionCategory":"医学","ArticlePicture":[],"TitleCN":null,"AbstractTextCN":null,"PMCID":null,"EPubDate":"2025/4/1 0:00:00","PubModel":"eCollection","JCR":"Q1","JCRName":"MEDICINE, GENERAL & INTERNAL","Score":null,"Total":0}
引用次数: 0

Abstract

Background: Hypogonadism refers to a condition where the body does not produce enough testosterone. It is an important cause of male sexual dysfunctions and infertility. Corynanthe pachyceras is a medicinal plant with a claimed powerful aphrodisiac potential.

Aim: This study investigated the capacities of C. pachyceras in boosting the sexual performance of age-related hypogonadic rat.

Methods: Thirty-six aged (17-19-months-old) male Wistar rats (n = 6/group) were randomly distributed into six groups and orally treated with either distilled water (10 mg/kg), Viagra (5 mg/kg), aqueous or ethanolic extracts of C. pachyceras (8 mg/kg or 50 mg/kg) within two weeks. The copulatory activity was tested on days 0, 7, and 14 using receptive females. Body and sex organ weights, sperm parameters, sex hormones, oxidative stress markers, and penile nitric oxide (NO) were measured.

Outcomes: The main outcome of this work is the confirmed efficacy of C. pachyceras in improving the reproductive performance of age-related hypogonadic rats.

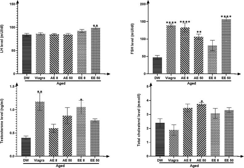
Results: The copulatory activity of the untreated hypogonadic aged rats (distilled water group) was low and marked by a significant increase in the sexual motivation (latencies and post-ejaculatory interval) and a decrease in the sexual performance (frequencies). Malondialdehyde level was increased, whereas the activities of superoxide dismutase and glutathione were decreased. Treatment of aged rats with the aqueous or ethanolic extracts of C. pachyceras brought important changes, shown by the significant decrease in the motivation parameters and the increase in the ejaculation frequency. Sperm count and motility (P < .01-.001), LH (P < .01), FSH (P < .01-.001), testosterone (P < .01), and NO (P < .05) levels that were altered in the untreated aged rats were increased in those receiving C. pachyceras extracts. The plant extracts also significantly (P < .05-.01) improved the antioxidant status by reducing the level of MDA and increasing that of SOD (P < .05-.01) and glutathione.

Clinical translation: C. pachyceras may serve as a potential therapeutic agent for improving the sexual health of androgen-deficient subjects such as aged men.

Strengths and limitations: C. pachyceras has androgenic, aphrodisiac, and antioxidant properties. However, its molecular mechanism is not yet determined. A well-structured clinical study needs also to be carried to confirm the effects of C. pachyceras on humans.

Conclusion: Present findings showed that C. pachyceras can boost the reproductive conditions of age-induced hypogonadism rats through its androgenic, aphrodisiac, and antioxidant potentials. However, further studies are still needed to gain more medical insight into this plant.

Abstract Image

Abstract Image

Abstract Image

一项实验研究表明,在老年性性腺功能减退大鼠模型中,紫百合(Corynanthe pachyceras K. Schum)能促进性行为,改善性激素/精液质量,并调节氧化应激。
背景:性腺功能减退是指身体不能产生足够的睾丸激素。它是男性性功能障碍和不育的重要原因。山茱萸是一种药用植物,具有强大的壮阳潜能。目的:本研究探讨厚球孢对年龄相关性性腺功能减退大鼠性行为的促进作用。方法:选取年龄为17 ~ 19月龄的雄性Wistar大鼠36只(n = 6/组),随机分为6组,分别给予蒸馏水(10 mg/kg)、伟哥(5 mg/kg)、粗球木水提液或醇提液(8 mg/kg或50 mg/kg)灌胃,疗程2周。分别于第0、7、14天用受情期雌蜂进行交配活性测定。测量身体和性器官重量、精子参数、性激素、氧化应激标志物和阴茎一氧化氮(NO)。结果:本研究的主要结果是证实了肿心菌对年龄相关性性腺功能减退大鼠生殖性能的改善作用。结果:未处理性腺功能减退的老龄大鼠(蒸馏水组)的交配活性较低,性动机(潜伏期和射精后间隔)明显增加,性表现(频率)下降。丙二醛水平升高,超氧化物歧化酶和谷胱甘肽活性降低。老龄大鼠用肿心木水提液或醇提液处理后,其动力参数明显降低,射精频率明显增加。精子数量和活力(P P P P P C。pachyceras提取物。临床翻译:厚球木可能作为一种潜在的治疗药物,改善雄激素缺乏的受试者,如老年男性的性健康。优点和局限性:肿心菌具有雄激素、壮阳和抗氧化的特性。然而,其分子机制尚未确定。还需要进行一项结构良好的临床研究,以证实肿角孢杆菌对人类的影响。结论:肿尾蚴可通过其雄激素、壮阳和抗氧化作用改善老年性性腺功能减退大鼠的生殖状况。然而,还需要进一步的研究来获得更多关于这种植物的医学见解。
本文章由计算机程序翻译,如有差异,请以英文原文为准。
求助全文
约1分钟内获得全文 求助全文
来源期刊
Sexual Medicine
Sexual Medicine MEDICINE, GENERAL & INTERNAL-
CiteScore
5.40
自引率
0.00%
发文量
103
审稿时长
22 weeks
期刊介绍: Sexual Medicine is an official publication of the International Society for Sexual Medicine, and serves the field as the peer-reviewed, open access journal for rapid dissemination of multidisciplinary clinical and basic research in all areas of global sexual medicine, and particularly acts as a venue for topics of regional or sub-specialty interest. The journal is focused on issues in clinical medicine and epidemiology but also publishes basic science papers with particular relevance to specific populations. Sexual Medicine offers clinicians and researchers a rapid route to publication and the opportunity to publish in a broadly distributed and highly visible global forum. The journal publishes high quality articles from all over the world and actively seeks submissions from countries with expanding sexual medicine communities. Sexual Medicine relies on the same expert panel of editors and reviewers as The Journal of Sexual Medicine and Sexual Medicine Reviews.
×
引用
GB/T 7714-2015
复制
MLA
复制
APA
复制
导出至
BibTeX EndNote RefMan NoteFirst NoteExpress
×
提示
您的信息不完整,为了账户安全,请先补充。
现在去补充
×
提示
您因"违规操作"
具体请查看互助需知
我知道了
×
提示
确定
请完成安全验证×
copy
已复制链接
快去分享给好友吧!
我知道了
右上角分享
点击右上角分享
0
联系我们:info@booksci.cn Book学术提供免费学术资源搜索服务,方便国内外学者检索中英文文献。致力于提供最便捷和优质的服务体验。 Copyright © 2023 布克学术 All rights reserved.
京ICP备2023020795号-1
ghs 京公网安备 11010802042870号
Book学术文献互助
Book学术文献互助群
群 号:604180095
Book学术官方微信