Use of healthcare services preceding HIV diagnosis - missed opportunities for earlier diagnosis, Finland, 1996 to 2019.

IF 7.8 2区 医学 Q1 INFECTIOUS DISEASES
Sanna Isosomppi, Mikaela Mutru, Jukka Ollgren, Henrikki Brummer-Korvenkontio, Kirsi Liitsola, Jussi Sutinen, Inka Aho, Pia Kivelä
{"title":"Use of healthcare services preceding HIV diagnosis - missed opportunities for earlier diagnosis, Finland, 1996 to 2019.","authors":"Sanna Isosomppi, Mikaela Mutru, Jukka Ollgren, Henrikki Brummer-Korvenkontio, Kirsi Liitsola, Jussi Sutinen, Inka Aho, Pia Kivelä","doi":"10.2807/1560-7917.ES.2025.30.18.2400610","DOIUrl":null,"url":null,"abstract":"<p><p>BackgroundHIV testing based on indicator conditions is recommended to diagnose HIV earlier.AimOur aim was to assess opportunities for earlier diagnosis of HIV.MethodThis is a retrospective study on people living with HIV (PLWH) included in the national HIV register. We collected data on public primary outpatient healthcare (PHC) (2011-2019), secondary and tertiary outpatient healthcare (STHC), and all inpatient care (1996-2019) from the Care Register for Health Care from the presumed acquisition, estimated by CD4+ T-cell count at diagnosis, until the diagnosis of HIV.ResultsOf 907 PLWH diagnosed between 2011 and 2019, 522 (58%) had ≥ 1 healthcare contact at any level between HIV acquisition and > 30 days before diagnosis. At least one European Centre for Disease Prevention and Control (ECDC) indicator condition was recorded for 119 (23% of 522), and 112 (21%) were born in a high-prevalence country. In total, 384 of 907 (42%) had visited a PHC physician, and 58% of those with CD4+ T-cell count < 200 cells/μL at diagnosis. Of 2,082 PLWH diagnosed between 1996 and 2019, 869 (42%) had STHC outpatient contacts > 30 days before diagnosis, 18% with ≥ 1 ECDC indicator condition, and 367 (18%) had been hospitalised, 20% with ≥ 1 ECDC indicator condition. The most common ECDC indicator conditions > 30 days before diagnosis at all levels of healthcare were pneumonia, sexually transmitted infections, unexplained fever, herpes zoster, pregnancy and lymphadenopathy.ConclusionWe recommend enhancing indicator condition-based HIV testing by all healthcare providers, particularly for gonorrhoea, syphilis and, for persons younger than 50 years, also herpes zoster and lymphadenopathy.</p>","PeriodicalId":12161,"journal":{"name":"Eurosurveillance","volume":"30 18","pages":""},"PeriodicalIF":7.8000,"publicationDate":"2025-05-01","publicationTypes":"Journal Article","fieldsOfStudy":null,"isOpenAccess":false,"openAccessPdf":"https://www.ncbi.nlm.nih.gov/pmc/articles/PMC12066979/pdf/","citationCount":"0","resultStr":null,"platform":"Semanticscholar","paperid":null,"PeriodicalName":"Eurosurveillance","FirstCategoryId":"3","ListUrlMain":"https://doi.org/10.2807/1560-7917.ES.2025.30.18.2400610","RegionNum":2,"RegionCategory":"医学","ArticlePicture":[],"TitleCN":null,"AbstractTextCN":null,"PMCID":null,"EPubDate":"","PubModel":"","JCR":"Q1","JCRName":"INFECTIOUS DISEASES","Score":null,"Total":0}
引用次数: 0

Abstract

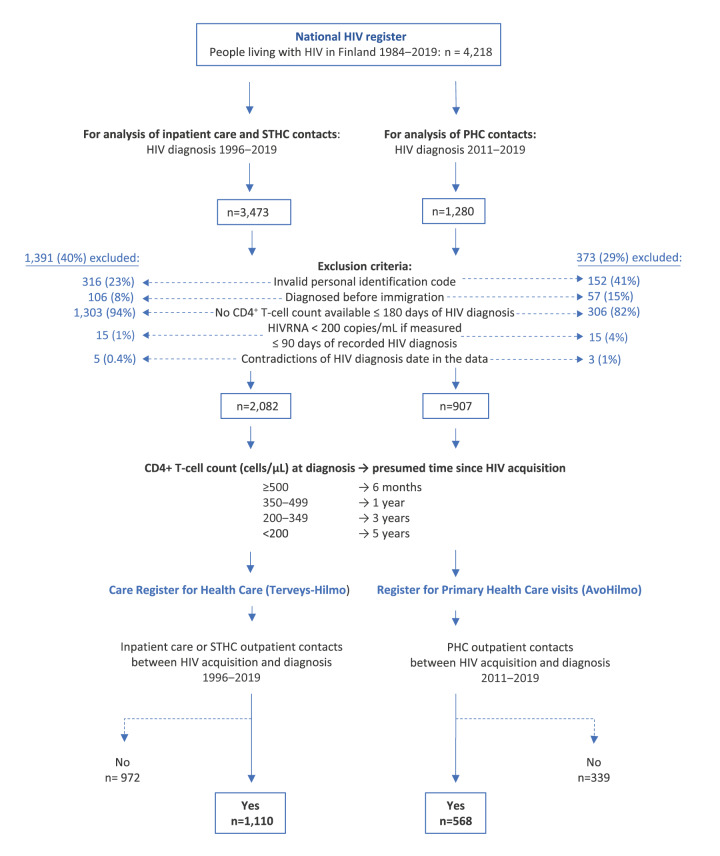
BackgroundHIV testing based on indicator conditions is recommended to diagnose HIV earlier.AimOur aim was to assess opportunities for earlier diagnosis of HIV.MethodThis is a retrospective study on people living with HIV (PLWH) included in the national HIV register. We collected data on public primary outpatient healthcare (PHC) (2011-2019), secondary and tertiary outpatient healthcare (STHC), and all inpatient care (1996-2019) from the Care Register for Health Care from the presumed acquisition, estimated by CD4+ T-cell count at diagnosis, until the diagnosis of HIV.ResultsOf 907 PLWH diagnosed between 2011 and 2019, 522 (58%) had ≥ 1 healthcare contact at any level between HIV acquisition and > 30 days before diagnosis. At least one European Centre for Disease Prevention and Control (ECDC) indicator condition was recorded for 119 (23% of 522), and 112 (21%) were born in a high-prevalence country. In total, 384 of 907 (42%) had visited a PHC physician, and 58% of those with CD4+ T-cell count < 200 cells/μL at diagnosis. Of 2,082 PLWH diagnosed between 1996 and 2019, 869 (42%) had STHC outpatient contacts > 30 days before diagnosis, 18% with ≥ 1 ECDC indicator condition, and 367 (18%) had been hospitalised, 20% with ≥ 1 ECDC indicator condition. The most common ECDC indicator conditions > 30 days before diagnosis at all levels of healthcare were pneumonia, sexually transmitted infections, unexplained fever, herpes zoster, pregnancy and lymphadenopathy.ConclusionWe recommend enhancing indicator condition-based HIV testing by all healthcare providers, particularly for gonorrhoea, syphilis and, for persons younger than 50 years, also herpes zoster and lymphadenopathy.

Abstract Image

Abstract Image

1996年至2019年,芬兰在艾滋病毒诊断前使用医疗保健服务——错失早期诊断的机会。
背景:建议根据指标条件进行HIV检测以早期诊断HIV。我们的目的是评估早期诊断艾滋病毒的机会。方法对全国HIV登记在册的HIV感染者(PLWH)进行回顾性研究。我们收集了公共初级门诊医疗(PHC)(2011-2019年)、二级和三级门诊医疗(STHC)和所有住院医疗(1996-2019年)的数据,这些数据来自卫生保健护理登记(care Register for Health care),从假定获得开始,通过诊断时CD4+ t细胞计数估计,直到诊断出HIV。结果在2011年至2019年期间诊断的907例PLWH中,522例(58%)在诊断前30天在HIV感染至bbb期间有≥1次医疗保健接触。119例(522例中的23%)至少记录了一项欧洲疾病预防和控制中心(ECDC)指标状况,112例(21%)出生在高患病率国家。907名患者中有384名(42%)曾去看过初级保健医生,其中58%的患者在诊断前30天CD4+ t细胞计数,18%的患者ECDC指标≥1项,367名(18%)患者住院,20%的患者ECDC指标≥1项。在各级医疗机构诊断前30天,最常见的ECDC指标为肺炎、性传播感染、不明原因发热、带状疱疹、妊娠和淋巴结病。结论:我们建议所有医疗保健提供者加强基于指标条件的艾滋病毒检测,特别是对淋病、梅毒和50岁以下的人,也包括带状疱疹和淋巴结病。
本文章由计算机程序翻译,如有差异,请以英文原文为准。
求助全文
约1分钟内获得全文 求助全文
来源期刊
Eurosurveillance
Eurosurveillance INFECTIOUS DISEASES-
CiteScore
32.70
自引率
2.10%
发文量
430
审稿时长
3-8 weeks
期刊介绍: Eurosurveillance is a European peer-reviewed journal focusing on the epidemiology, surveillance, prevention, and control of communicable diseases relevant to Europe.It is a weekly online journal, with 50 issues per year published on Thursdays. The journal includes short rapid communications, in-depth research articles, surveillance reports, reviews, and perspective papers. It excels in timely publication of authoritative papers on ongoing outbreaks or other public health events. Under special circumstances when current events need to be urgently communicated to readers for rapid public health action, e-alerts can be released outside of the regular publishing schedule. Additionally, topical compilations and special issues may be provided in PDF format.
×
引用
GB/T 7714-2015
复制
MLA
复制
APA
复制
导出至
BibTeX EndNote RefMan NoteFirst NoteExpress
×
提示
您的信息不完整,为了账户安全,请先补充。
现在去补充
×
提示
您因"违规操作"
具体请查看互助需知
我知道了
×
提示
确定
请完成安全验证×
copy
已复制链接
快去分享给好友吧!
我知道了
右上角分享
点击右上角分享
0
联系我们:info@booksci.cn Book学术提供免费学术资源搜索服务,方便国内外学者检索中英文文献。致力于提供最便捷和优质的服务体验。 Copyright © 2023 布克学术 All rights reserved.
京ICP备2023020795号-1
ghs 京公网安备 11010802042870号
Book学术文献互助
Book学术文献互助群
群 号:604180095
Book学术官方微信