Sickle Cell Disease and Antimicrobial Resistance: A Systematic Review and Meta-Analysis.

IF 2.4 Q2 INFECTIOUS DISEASES
Bismark Opoku-Asare, Onyansaniba K Ntim, Aaron Awere-Duodu, Eric S Donkor
{"title":"Sickle Cell Disease and Antimicrobial Resistance: A Systematic Review and Meta-Analysis.","authors":"Bismark Opoku-Asare, Onyansaniba K Ntim, Aaron Awere-Duodu, Eric S Donkor","doi":"10.3390/idr17020032","DOIUrl":null,"url":null,"abstract":"<p><p><b>Background/Objectives</b>: Antimicrobial resistance (AMR) is increasingly rising due to antimicrobial overuse and misuse. In sickle cell disease (SCD) care, frequent antibiotic use drives the rapid emergence of AMR, threatening treatment options and patient lives. This systematic review synthesizes data on AMR with regard to SCD patients for the first time. <b>Methods</b>: A comprehensive database search for articles published in English was conducted in PubMed, Scopus, ScienceDirect, and Web of Science, with no restriction set for the year of publication. The DerSimonian-Laird method was applied to derive the pooled prevalence, while the Mantel-Haenszel method was used to calculate the pooled odds ratio. <b>Results</b>: A total of 18 eligible studies covering 3220 SCD patients published between 1996 and 2024 were included in this review. The common bacterial pathogens reported in the included studies were <i>Streptococcus pneumoniae</i> (10 studies), <i>Staphylococcus aureus</i> (10 studies), and <i>Escherichia coli</i> (4 studies). For <i>S. aureus</i>, the pooled resistance was highest for penicillins (ampicillin = 100%; penicillin = 93.64%; and amoxicillin = 77.82%) followed by cefuroxime (51.23%). The pooled prevalence of methicillin-resistant <i>S. aureus</i> (MRSA) was 19.30%. SCD patients had 2.89 and 2.47 times higher odds of being colonized or infected with penicillin-resistant and erythromycin-resistant <i>S. aureus</i> strains, respectively. For <i>S. pneumoniae</i>, resistance prevalence was highest for co-trimoxazole (81.1%), followed by penicillin (47.08%). The pooled prevalence of multidrug-resistant (MDR) <i>S. pneumoniae</i> isolates was 32.12%. The majority of the studies included (<i>n</i> = 14, 77.8%) were of moderate quality according to the modified STROBE checklist. <b>Conclusions</b>: This review reveals a high prevalence of AMR with regard to SCD patients. SCD patients have an increased risk of resistance to penicillin and co-trimoxazole across several bacterial pathogens. The limited geographical distribution of the included studies underscores the urgent need for expanded AMR research on the subject, especially in regions with high SCD burden.</p>","PeriodicalId":13579,"journal":{"name":"Infectious Disease Reports","volume":"17 2","pages":""},"PeriodicalIF":2.4000,"publicationDate":"2025-04-14","publicationTypes":"Journal Article","fieldsOfStudy":null,"isOpenAccess":false,"openAccessPdf":"https://www.ncbi.nlm.nih.gov/pmc/articles/PMC12026643/pdf/","citationCount":"0","resultStr":null,"platform":"Semanticscholar","paperid":null,"PeriodicalName":"Infectious Disease Reports","FirstCategoryId":"1085","ListUrlMain":"https://doi.org/10.3390/idr17020032","RegionNum":0,"RegionCategory":null,"ArticlePicture":[],"TitleCN":null,"AbstractTextCN":null,"PMCID":null,"EPubDate":"","PubModel":"","JCR":"Q2","JCRName":"INFECTIOUS DISEASES","Score":null,"Total":0}
引用次数: 0

Abstract

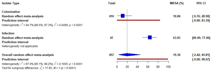
Background/Objectives: Antimicrobial resistance (AMR) is increasingly rising due to antimicrobial overuse and misuse. In sickle cell disease (SCD) care, frequent antibiotic use drives the rapid emergence of AMR, threatening treatment options and patient lives. This systematic review synthesizes data on AMR with regard to SCD patients for the first time. Methods: A comprehensive database search for articles published in English was conducted in PubMed, Scopus, ScienceDirect, and Web of Science, with no restriction set for the year of publication. The DerSimonian-Laird method was applied to derive the pooled prevalence, while the Mantel-Haenszel method was used to calculate the pooled odds ratio. Results: A total of 18 eligible studies covering 3220 SCD patients published between 1996 and 2024 were included in this review. The common bacterial pathogens reported in the included studies were Streptococcus pneumoniae (10 studies), Staphylococcus aureus (10 studies), and Escherichia coli (4 studies). For S. aureus, the pooled resistance was highest for penicillins (ampicillin = 100%; penicillin = 93.64%; and amoxicillin = 77.82%) followed by cefuroxime (51.23%). The pooled prevalence of methicillin-resistant S. aureus (MRSA) was 19.30%. SCD patients had 2.89 and 2.47 times higher odds of being colonized or infected with penicillin-resistant and erythromycin-resistant S. aureus strains, respectively. For S. pneumoniae, resistance prevalence was highest for co-trimoxazole (81.1%), followed by penicillin (47.08%). The pooled prevalence of multidrug-resistant (MDR) S. pneumoniae isolates was 32.12%. The majority of the studies included (n = 14, 77.8%) were of moderate quality according to the modified STROBE checklist. Conclusions: This review reveals a high prevalence of AMR with regard to SCD patients. SCD patients have an increased risk of resistance to penicillin and co-trimoxazole across several bacterial pathogens. The limited geographical distribution of the included studies underscores the urgent need for expanded AMR research on the subject, especially in regions with high SCD burden.

Abstract Image

Abstract Image

Abstract Image

镰状细胞病和抗菌素耐药性:一项系统综述和荟萃分析。
背景/目的:由于抗菌药物的过度使用和误用,抗菌药物耐药性(AMR)日益上升。在镰状细胞病(SCD)护理中,频繁使用抗生素导致抗生素耐药性迅速出现,威胁到治疗方案和患者生命。本系统综述首次综合了SCD患者的AMR数据。方法:在PubMed、Scopus、ScienceDirect和Web of Science中对已发表的英文文章进行全面的数据库检索,不限制发表年份。采用dersimonan - laird方法计算合并患病率,采用Mantel-Haenszel方法计算合并优势比。结果:本综述共纳入了1996年至2024年间发表的18项符合条件的研究,涵盖3220例SCD患者。在纳入的研究中报告的常见细菌病原体是肺炎链球菌(10项研究)、金黄色葡萄球菌(10项研究)和大肠杆菌(4项研究)。金黄色葡萄球菌对青霉素类药物的总耐药性最高(氨苄西林= 100%;青霉素= 93.64%;阿莫西林占77.82%),其次是头孢呋辛(51.23%)。耐甲氧西林金黄色葡萄球菌(MRSA)的总患病率为19.30%。SCD患者被青霉素耐药金黄色葡萄球菌和红霉素耐药金黄色葡萄球菌定植或感染的几率分别高出2.89倍和2.47倍。肺炎链球菌耐药率最高的是复方新诺明(81.1%),其次是青霉素(47.08%)。多药耐药肺炎链球菌的总流行率为32.12%。根据改进的STROBE检查表,纳入的大多数研究(n = 14, 77.8%)质量为中等。结论:本综述揭示了SCD患者AMR的高患病率。SCD患者在几种细菌病原体中对青霉素和复方新诺明耐药的风险增加。纳入研究的地理分布有限,强调迫切需要扩大对该主题的抗菌素耐药性研究,特别是在SCD负担高的区域。
本文章由计算机程序翻译,如有差异,请以英文原文为准。
求助全文
约1分钟内获得全文 求助全文
来源期刊
Infectious Disease Reports
Infectious Disease Reports INFECTIOUS DISEASES-
CiteScore
5.10
自引率
0.00%
发文量
82
审稿时长
11 weeks
×
引用
GB/T 7714-2015
复制
MLA
复制
APA
复制
导出至
BibTeX EndNote RefMan NoteFirst NoteExpress
×
提示
您的信息不完整,为了账户安全,请先补充。
现在去补充
×
提示
您因"违规操作"
具体请查看互助需知
我知道了
×
提示
确定
请完成安全验证×
copy
已复制链接
快去分享给好友吧!
我知道了
右上角分享
点击右上角分享
0
联系我们:info@booksci.cn Book学术提供免费学术资源搜索服务,方便国内外学者检索中英文文献。致力于提供最便捷和优质的服务体验。 Copyright © 2023 布克学术 All rights reserved.
京ICP备2023020795号-1
ghs 京公网安备 11010802042870号
Book学术文献互助
Book学术文献互助群
群 号:604180095
Book学术官方微信