Eleven years of orthokeratology contact lens wear for slowing myopia progression in children.

IF 1.8 4区 医学 Q3 OPHTHALMOLOGY
Optometry and Vision Science Pub Date : 2025-05-01 Epub Date: 2025-04-18 DOI:10.1097/OPX.0000000000002255
Jacinto Santodomingo-Rubido, César Villa-Collar, Ramón Gutiérrez-Ortega, Keiji Sugimoto, Sachiko Nishimura, Steve Newman
{"title":"Eleven years of orthokeratology contact lens wear for slowing myopia progression in children.","authors":"Jacinto Santodomingo-Rubido, César Villa-Collar, Ramón Gutiérrez-Ortega, Keiji Sugimoto, Sachiko Nishimura, Steve Newman","doi":"10.1097/OPX.0000000000002255","DOIUrl":null,"url":null,"abstract":"<p><strong>Significance: </strong>The myopia control effect of orthokeratology accrues over time, with 11 years of lens wear providing a cumulative absolute reduction in axial elongation of -0.69 mm in comparison with spectacle lens wear. Steeper corneas are likely to benefit from enhanced myopia control efficacy.</p><p><strong>Purpose: </strong>To compare axial length growth between a group of orthokeratology contact lens wearers and a control group of distance single-vision lens wearers over an 11-year period.</p><p><strong>Methods: </strong>White European subjects 6 to 12 years old with myopia -0.75 to -4.00DS and astigmatism ≤1.00DC were prospectively allocated orthokeratology or distance single-vision spectacle correction for 2 years. Axial length measurements (Zeiss, IOLMaster) were taken at 6-month intervals during the initial 2 years of the study. Subjects were contacted approximately 5 and 9 years later (i.e., 7 and 11 years after the beginning of the study, respectively) and axial length measurements were repeated.</p><p><strong>Results: </strong>Thirty-one orthokeratology and 30 control subjects were initially recruited, but only 10 orthokeratology and 15 control subjects attended the 11-year visit. In comparison with the control group, the change in axial length for the orthokeratology group was reduced by 0.04, 0.10, 0.14, 0.22, 0.45, and 0.69 mm after 0.5, 1, 1.5, 2, 7, and 11 years of lens wear, respectively. Significant differences between groups were found in mean unadjusted changes in axial length at the 1-, 1.5-, and 2-year time points (unpaired t -test, p < 0.05), whereas standard contrasts revealed statistical differences between groups in the estimated marginal means of the change in axial length at the 7- and 11-year time points (p < 0.05).</p><p><strong>Conclusions: </strong>Eleven years of orthokeratology lens wear provided a substantial slowing in the axial elongation of the eye, with a treatment effect of up to 0.69 mm after 11 years of lens wear in comparison with single-vision lens wear.</p>","PeriodicalId":19649,"journal":{"name":"Optometry and Vision Science","volume":" ","pages":"346-352"},"PeriodicalIF":1.8000,"publicationDate":"2025-05-01","publicationTypes":"Journal Article","fieldsOfStudy":null,"isOpenAccess":false,"openAccessPdf":"https://www.ncbi.nlm.nih.gov/pmc/articles/PMC12101883/pdf/","citationCount":"0","resultStr":null,"platform":"Semanticscholar","paperid":null,"PeriodicalName":"Optometry and Vision Science","FirstCategoryId":"3","ListUrlMain":"https://doi.org/10.1097/OPX.0000000000002255","RegionNum":4,"RegionCategory":"医学","ArticlePicture":[],"TitleCN":null,"AbstractTextCN":null,"PMCID":null,"EPubDate":"2025/4/18 0:00:00","PubModel":"Epub","JCR":"Q3","JCRName":"OPHTHALMOLOGY","Score":null,"Total":0}
引用次数: 0

Abstract

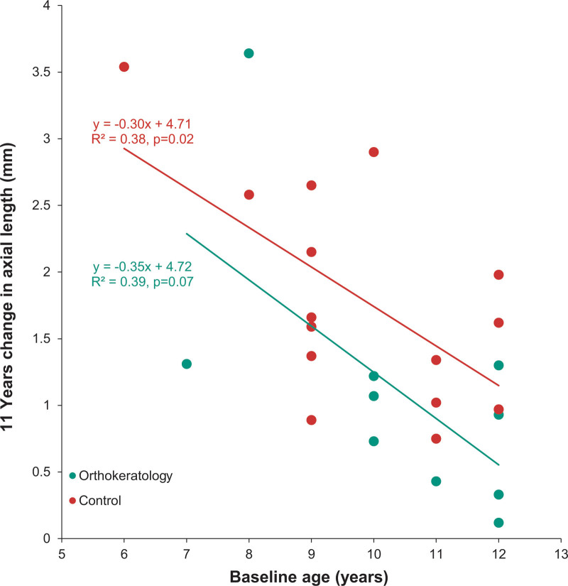
Significance: The myopia control effect of orthokeratology accrues over time, with 11 years of lens wear providing a cumulative absolute reduction in axial elongation of -0.69 mm in comparison with spectacle lens wear. Steeper corneas are likely to benefit from enhanced myopia control efficacy.

Purpose: To compare axial length growth between a group of orthokeratology contact lens wearers and a control group of distance single-vision lens wearers over an 11-year period.

Methods: White European subjects 6 to 12 years old with myopia -0.75 to -4.00DS and astigmatism ≤1.00DC were prospectively allocated orthokeratology or distance single-vision spectacle correction for 2 years. Axial length measurements (Zeiss, IOLMaster) were taken at 6-month intervals during the initial 2 years of the study. Subjects were contacted approximately 5 and 9 years later (i.e., 7 and 11 years after the beginning of the study, respectively) and axial length measurements were repeated.

Results: Thirty-one orthokeratology and 30 control subjects were initially recruited, but only 10 orthokeratology and 15 control subjects attended the 11-year visit. In comparison with the control group, the change in axial length for the orthokeratology group was reduced by 0.04, 0.10, 0.14, 0.22, 0.45, and 0.69 mm after 0.5, 1, 1.5, 2, 7, and 11 years of lens wear, respectively. Significant differences between groups were found in mean unadjusted changes in axial length at the 1-, 1.5-, and 2-year time points (unpaired t -test, p < 0.05), whereas standard contrasts revealed statistical differences between groups in the estimated marginal means of the change in axial length at the 7- and 11-year time points (p < 0.05).

Conclusions: Eleven years of orthokeratology lens wear provided a substantial slowing in the axial elongation of the eye, with a treatment effect of up to 0.69 mm after 11 years of lens wear in comparison with single-vision lens wear.

Abstract Image

Abstract Image

Abstract Image

十一年的角膜塑形镜配戴减缓儿童近视进展的效果。
意义:角膜塑形镜控制近视的效果是随时间积累的,与佩戴眼镜相比,佩戴11年的角膜塑形镜可累计绝对减少-0.69 mm的眼轴伸长。更陡的角膜可能受益于增强的近视控制效果。目的:比较角膜塑形镜配戴者和远距单视力镜配戴者11年间的眼轴长度增长情况。方法:6 ~ 12岁欧洲白人受试者,近视-0.75 ~ -4.00DS,散光≤1.00DC,前瞻性分配角膜塑形镜或远距离单视力眼镜矫正2年。在研究的最初2年中,每隔6个月进行一次轴向长度测量(蔡司,IOLMaster)。大约5年和9年后(即分别在研究开始后7年和11年)与受试者联系,并重复测量轴向长度。结果:最初招募了31名角膜塑形术患者和30名对照患者,但只有10名角膜塑形术患者和15名对照患者参加了为期11年的随访。与对照组相比,角膜塑形组在镜片佩戴0.5、1、1.5、2、7和11年后的眼轴长度变化分别减少了0.04、0.10、0.14、0.22、0.45和0.69 mm。在1年、1.5年和2年时间点,各组间未调整的平均轴长变化存在显著差异(未配对t检验,p < 0.05),而标准对比显示,在7年和11年时间点,各组间轴长变化的估计边际均值存在统计学差异(p < 0.05)。结论:角膜塑形镜佩戴11年可显著减缓眼轴向伸长,与单视力镜佩戴相比,佩戴11年后的治疗效果可达0.69 mm。
本文章由计算机程序翻译,如有差异,请以英文原文为准。
求助全文
约1分钟内获得全文 求助全文
来源期刊
Optometry and Vision Science
Optometry and Vision Science 医学-眼科学
CiteScore
2.80
自引率
7.10%
发文量
210
审稿时长
3-6 weeks
期刊介绍: Optometry and Vision Science is the monthly peer-reviewed scientific publication of the American Academy of Optometry, publishing original research since 1924. Optometry and Vision Science is an internationally recognized source for education and information on current discoveries in optometry, physiological optics, vision science, and related fields. The journal considers original contributions that advance clinical practice, vision science, and public health. Authors should remember that the journal reaches readers worldwide and their submissions should be relevant and of interest to a broad audience. Topical priorities include, but are not limited to: clinical and laboratory research, evidence-based reviews, contact lenses, ocular growth and refractive error development, eye movements, visual function and perception, biology of the eye and ocular disease, epidemiology and public health, biomedical optics and instrumentation, novel and important clinical observations and treatments, and optometric education.
×
引用
GB/T 7714-2015
复制
MLA
复制
APA
复制
导出至
BibTeX EndNote RefMan NoteFirst NoteExpress
×
提示
您的信息不完整,为了账户安全,请先补充。
现在去补充
×
提示
您因"违规操作"
具体请查看互助需知
我知道了
×
提示
确定
请完成安全验证×
copy
已复制链接
快去分享给好友吧!
我知道了
右上角分享
点击右上角分享
0
联系我们:info@booksci.cn Book学术提供免费学术资源搜索服务,方便国内外学者检索中英文文献。致力于提供最便捷和优质的服务体验。 Copyright © 2023 布克学术 All rights reserved.
京ICP备2023020795号-1
ghs 京公网安备 11010802042870号
Book学术文献互助
Book学术文献互助群
群 号:604180095
Book学术官方微信