Mixed pre-cooling improves thermal strain but not running performance in female endurance athletes exercising in the heat across the menstrual cycle.

Q1 Biochemistry, Genetics and Molecular Biology
Temperature Pub Date : 2025-02-22 eCollection Date: 2025-01-01 DOI:10.1080/23328940.2025.2465023
Lilia Convit, Julien D Périard, Amelia J Carr, Stuart Warmington, Gunjit Motiyani, Liliana Orellana, Rhiannon M J Snipe
{"title":"Mixed pre-cooling improves thermal strain but not running performance in female endurance athletes exercising in the heat across the menstrual cycle.","authors":"Lilia Convit, Julien D Périard, Amelia J Carr, Stuart Warmington, Gunjit Motiyani, Liliana Orellana, Rhiannon M J Snipe","doi":"10.1080/23328940.2025.2465023","DOIUrl":null,"url":null,"abstract":"<p><p>This study investigated the effect of mixed pre-cooling (cooling vest and ice-slurry) on thermal and cardiovascular strain and performance in unacclimatized females exercising in the heat during menstrual cycle (MC) Phase-1 (low estrogen and progesterone) and Phase-4 (moderate estrogen and high progesterone). In a randomized crossover design, 11 runners completed two trials in each MC Phase: mixed pre-cooling (wearing a cooling vest around the torso for 30 min and ingesting 7.5 g.kg<sup>-1</sup> of body mass of ice slurry), and control (equivalent slurry volume at ~20°C without a cooling vest), prior to a 10-km running time trial (TT) in 34°C and 60% relative humidity. Rectal temperature (T<sub>re</sub>), heart rate (HR), and perceptual responses were measured throughout the TT. Linear mixed models were fitted to estimate intervention and MC phase effects. Mixed pre-cooling had no effect on HR (1.06 [-0.83, 2.95] beats.min<sup>-1</sup>; <i>p</i> = 0.272) or TT completion time (-0.23 [-1.32, 0.86] min; <i>p</i> = 0.677) versus control. T<sub>re</sub> (-0.21 [-0.34, -0.07] °C; <i>p</i> = 0.003) and thermal sensation (-0.61 [-0.78, -0.44] au; <i>p</i> < 0.001) were significantly lower with mixed pre-cooling compared to control. Rise in T<sub>re</sub> (-0.1 [-0.3, 0.0] °C) and thermal sensation were attenuated in MC phase-4 (-0.57 [-0.81, -0.34] au; all <i>p</i> < 0.05). Mixed pre-cooling was effective at attenuating the rise in T<sub>re</sub> for a similar work rate, particularly in MC phase-4, where females may experience greater heat thermosensation. However, the magnitude of attenuated T<sub>re</sub> does not improve 10-km running performance in the heat, suggesting additional cooling and/or heat mitigation strategies may be required to improve performance.</p>","PeriodicalId":36837,"journal":{"name":"Temperature","volume":"12 2","pages":"133-148"},"PeriodicalIF":0.0000,"publicationDate":"2025-02-22","publicationTypes":"Journal Article","fieldsOfStudy":null,"isOpenAccess":false,"openAccessPdf":"https://www.ncbi.nlm.nih.gov/pmc/articles/PMC12051581/pdf/","citationCount":"0","resultStr":null,"platform":"Semanticscholar","paperid":null,"PeriodicalName":"Temperature","FirstCategoryId":"1085","ListUrlMain":"https://doi.org/10.1080/23328940.2025.2465023","RegionNum":0,"RegionCategory":null,"ArticlePicture":[],"TitleCN":null,"AbstractTextCN":null,"PMCID":null,"EPubDate":"2025/1/1 0:00:00","PubModel":"eCollection","JCR":"Q1","JCRName":"Biochemistry, Genetics and Molecular Biology","Score":null,"Total":0}
引用次数: 0

Abstract

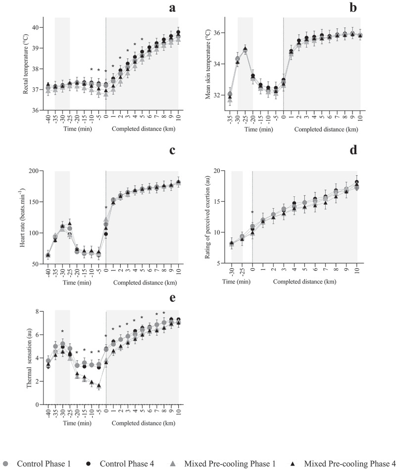
This study investigated the effect of mixed pre-cooling (cooling vest and ice-slurry) on thermal and cardiovascular strain and performance in unacclimatized females exercising in the heat during menstrual cycle (MC) Phase-1 (low estrogen and progesterone) and Phase-4 (moderate estrogen and high progesterone). In a randomized crossover design, 11 runners completed two trials in each MC Phase: mixed pre-cooling (wearing a cooling vest around the torso for 30 min and ingesting 7.5 g.kg-1 of body mass of ice slurry), and control (equivalent slurry volume at ~20°C without a cooling vest), prior to a 10-km running time trial (TT) in 34°C and 60% relative humidity. Rectal temperature (Tre), heart rate (HR), and perceptual responses were measured throughout the TT. Linear mixed models were fitted to estimate intervention and MC phase effects. Mixed pre-cooling had no effect on HR (1.06 [-0.83, 2.95] beats.min-1; p = 0.272) or TT completion time (-0.23 [-1.32, 0.86] min; p = 0.677) versus control. Tre (-0.21 [-0.34, -0.07] °C; p = 0.003) and thermal sensation (-0.61 [-0.78, -0.44] au; p < 0.001) were significantly lower with mixed pre-cooling compared to control. Rise in Tre (-0.1 [-0.3, 0.0] °C) and thermal sensation were attenuated in MC phase-4 (-0.57 [-0.81, -0.34] au; all p < 0.05). Mixed pre-cooling was effective at attenuating the rise in Tre for a similar work rate, particularly in MC phase-4, where females may experience greater heat thermosensation. However, the magnitude of attenuated Tre does not improve 10-km running performance in the heat, suggesting additional cooling and/or heat mitigation strategies may be required to improve performance.

Abstract Image

Abstract Image

Abstract Image

混合预冷可以改善女性耐力运动员在月经周期高温下锻炼时的热应变,但不能改善其跑步表现。
本研究研究了在月经周期(MC)第1阶段(低雌激素和孕酮)和第4阶段(中雌激素和高孕酮)的高温条件下,混合预冷(冷却背心和冰浆)对未适应环境的雌性动物热负荷和心血管负荷及运动性能的影响。在随机交叉设计中,11名跑步者在每个MC阶段完成两项试验:混合预冷(在躯干周围穿着冷却背心30分钟,摄入7.5 g)。在34°C和60%的相对湿度下进行10公里的跑步时间试验(TT)之前,冰浆(体重kg-1)和控制(在~20°C下没有冷却背心的等效浆体体积)。在整个TT过程中测量直肠温度(Tre)、心率(HR)和知觉反应。拟合线性混合模型来估计干预和MC相位效应。混合预冷对其HR无影响(1.06[-0.83,2.95]次);p = 0.272)或TT完成时间(-0.23 [-1.32,0.86]min;P = 0.677)。3(-0.21[-0.34, -0.07]℃;P = 0.003)和热感觉(-0.61 [-0.78,-0.44]au;p re(-0.1[-0.3, 0.0]°C)和MC期4热感觉减弱(-0.57 [-0.81,-0.34]au;它们的工作速率都差不多,尤其是在MC阶段4,雌性可能会有更大的热感。然而,减弱的Tre强度并不能改善高温下10公里的运行性能,这表明可能需要额外的冷却和/或减热策略来提高性能。
本文章由计算机程序翻译,如有差异,请以英文原文为准。
求助全文
约1分钟内获得全文 求助全文
来源期刊
Temperature
Temperature Medicine-Physiology (medical)
CiteScore
10.40
自引率
0.00%
发文量
37
×
引用
GB/T 7714-2015
复制
MLA
复制
APA
复制
导出至
BibTeX EndNote RefMan NoteFirst NoteExpress
×
提示
您的信息不完整,为了账户安全,请先补充。
现在去补充
×
提示
您因"违规操作"
具体请查看互助需知
我知道了
×
提示
确定
请完成安全验证×
copy
已复制链接
快去分享给好友吧!
我知道了
右上角分享
点击右上角分享
0
联系我们:info@booksci.cn Book学术提供免费学术资源搜索服务,方便国内外学者检索中英文文献。致力于提供最便捷和优质的服务体验。 Copyright © 2023 布克学术 All rights reserved.
京ICP备2023020795号-1
ghs 京公网安备 11010802042870号
Book学术文献互助
Book学术文献互助群
群 号:604180095
Book学术官方微信