Insights into the utilisation of 1,2-propanediol and interactions with the cell envelope of Clostridium perfringens.

IF 4 3区 医学 Q1 GASTROENTEROLOGY & HEPATOLOGY
Lucía Huertas-Díaz, Louise Guldager Vestergaard, Angeliki Marietou, Marta Irla, Jürgen Behr, Mark M Somoza, Anders Feilberg, Clarissa Schwab
{"title":"Insights into the utilisation of 1,2-propanediol and interactions with the cell envelope of Clostridium perfringens.","authors":"Lucía Huertas-Díaz, Louise Guldager Vestergaard, Angeliki Marietou, Marta Irla, Jürgen Behr, Mark M Somoza, Anders Feilberg, Clarissa Schwab","doi":"10.1186/s13099-025-00689-1","DOIUrl":null,"url":null,"abstract":"<p><strong>Background: </strong>Breastfeeding is a major determinant of gut microbiota composition and fermentation activity during the first months of life. Breastmilk delivers human milk oligosaccharides (HMO) as substrates for microbial intestinal fermentation. One of the main metabolites that accumulates in feces of breastfed infants is 1,2-propanediol (1,2PD) resulting from the metabolism of fucosylated HMO. 1,2PD is used in microbial cross-feeding to produce propionate, but 1,2PD is also an alcohol that can impact the state of the microbial cell envelope. To shed further light on an understudied compound in the infant gut, we investigated the genetic and metabolic potential of the early gut colonizer Clostridium perfringens to utilise 1,2PD, and the interactions of 1,2PD with the cell envelope.</p><p><strong>Results: </strong>Based on genome analysis, C. perfringens FMT 1006 isolated from infant feces possessed most genes of the pdu operon related to 1,2PD metabolism. C. perfringens consumed 1,2PD (78%) and produced 1-propanol as the main metabolite, while propionate was not detected. In agreement, genes responsible for 1,2PD utilisation and propanol formation (pduCDE, dhaT) were highly expressed. When cultivated in the presence of 1,2PD and glucose, a higher proportion of 1,2PD carbon (87%) was recovered as compared to incubation with only 1,2PD (34%). At the same time, lactate and acetate were formed in a ratio of 2.16:1.0 with 1,2PD and glucose compared to a ratio 9.0:1.0 during growth with only glucose possibly due to reallocation of the NAD<sup>+</sup>/NADH pool in favor of 1-propanol formation. The presence of 1,2PD slightly increased membrane fluidity and modified the composition of the membrane to a higher content of elongated glycerophosphoethanolamines.</p><p><strong>Conclusion: </strong>We provide here new knowledge on the metabolism of 1,2PD by a microbial species that is present during breastfeeding and observed that C. perfringens metabolised 1,2PD mainly to propanol. The presence of 1,2PD had little impact on membrane fluidity and let to modifications of membrane lipid composition. Collectively, these findings advance our understanding of on intestinal metabolite-microbe interactions during breastfeeding.</p>","PeriodicalId":12833,"journal":{"name":"Gut Pathogens","volume":"17 1","pages":"23"},"PeriodicalIF":4.0000,"publicationDate":"2025-04-11","publicationTypes":"Journal Article","fieldsOfStudy":null,"isOpenAccess":false,"openAccessPdf":"https://www.ncbi.nlm.nih.gov/pmc/articles/PMC11992839/pdf/","citationCount":"0","resultStr":null,"platform":"Semanticscholar","paperid":null,"PeriodicalName":"Gut Pathogens","FirstCategoryId":"3","ListUrlMain":"https://doi.org/10.1186/s13099-025-00689-1","RegionNum":3,"RegionCategory":"医学","ArticlePicture":[],"TitleCN":null,"AbstractTextCN":null,"PMCID":null,"EPubDate":"","PubModel":"","JCR":"Q1","JCRName":"GASTROENTEROLOGY & HEPATOLOGY","Score":null,"Total":0}
引用次数: 0

Abstract

Background: Breastfeeding is a major determinant of gut microbiota composition and fermentation activity during the first months of life. Breastmilk delivers human milk oligosaccharides (HMO) as substrates for microbial intestinal fermentation. One of the main metabolites that accumulates in feces of breastfed infants is 1,2-propanediol (1,2PD) resulting from the metabolism of fucosylated HMO. 1,2PD is used in microbial cross-feeding to produce propionate, but 1,2PD is also an alcohol that can impact the state of the microbial cell envelope. To shed further light on an understudied compound in the infant gut, we investigated the genetic and metabolic potential of the early gut colonizer Clostridium perfringens to utilise 1,2PD, and the interactions of 1,2PD with the cell envelope.

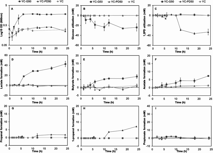
Results: Based on genome analysis, C. perfringens FMT 1006 isolated from infant feces possessed most genes of the pdu operon related to 1,2PD metabolism. C. perfringens consumed 1,2PD (78%) and produced 1-propanol as the main metabolite, while propionate was not detected. In agreement, genes responsible for 1,2PD utilisation and propanol formation (pduCDE, dhaT) were highly expressed. When cultivated in the presence of 1,2PD and glucose, a higher proportion of 1,2PD carbon (87%) was recovered as compared to incubation with only 1,2PD (34%). At the same time, lactate and acetate were formed in a ratio of 2.16:1.0 with 1,2PD and glucose compared to a ratio 9.0:1.0 during growth with only glucose possibly due to reallocation of the NAD+/NADH pool in favor of 1-propanol formation. The presence of 1,2PD slightly increased membrane fluidity and modified the composition of the membrane to a higher content of elongated glycerophosphoethanolamines.

Conclusion: We provide here new knowledge on the metabolism of 1,2PD by a microbial species that is present during breastfeeding and observed that C. perfringens metabolised 1,2PD mainly to propanol. The presence of 1,2PD had little impact on membrane fluidity and let to modifications of membrane lipid composition. Collectively, these findings advance our understanding of on intestinal metabolite-microbe interactions during breastfeeding.

Abstract Image

Abstract Image

Abstract Image

1,2-丙二醇的利用及其与产气荚膜梭菌包膜的相互作用。
背景:母乳喂养是婴儿出生后最初几个月肠道菌群组成和发酵活性的主要决定因素。母乳提供人乳寡糖(HMO)作为微生物肠道发酵的底物。在母乳喂养的婴儿粪便中积累的主要代谢物之一是由聚焦HMO代谢产生的1,2-丙二醇(1,2 pd)。1,2 - pd用于微生物交叉饲养以产生丙酸盐,但1,2 - pd也是一种可以影响微生物细胞包膜状态的酒精。为了进一步阐明婴儿肠道中一种未被充分研究的化合物,我们研究了早期肠道定植菌产气荚膜梭菌利用1,2pd的遗传和代谢潜力,以及1,2pd与细胞包膜的相互作用。结果:从婴儿粪便中分离的产气荚膜产气荚膜胞杆菌FMT 1006具有大部分与1,2pd代谢相关的pdu操纵子基因。产气荚膜荚膜菌消耗1,2 pd(78%),主要代谢产物为1-丙醇,未检出丙酸。与此一致的是,负责1,2 pd利用和丙醇形成的基因(producde, dhaT)高度表达。当在有1,2pd和葡萄糖的环境中培养时,与只有1,2pd(34%)的培养相比,回收了更高比例的1,2pd碳(87%)。与此同时,在生长过程中,1,2 pd和葡萄糖形成乳酸和乙酸的比例为2.16:1.0,而仅葡萄糖形成乳酸和乙酸的比例为9.0:1.0,这可能是由于NAD+/NADH池的重新分配有利于1-丙醇的形成。1,2 pd的存在略微增加了膜的流动性,并改变了膜的组成,使其含有更高含量的长形甘油磷酸乙醇胺。结论:本研究为母乳喂养期间存在的一种微生物对1,2 pd的代谢提供了新的认识,并观察到产气荚膜荚膜梭菌主要将1,2 pd代谢为丙醇。1,2 - pd的存在对膜的流动性影响不大,但有利于膜脂组成的改变。总的来说,这些发现促进了我们对母乳喂养期间肠道代谢物-微生物相互作用的理解。
本文章由计算机程序翻译,如有差异,请以英文原文为准。
求助全文
约1分钟内获得全文 求助全文
来源期刊
Gut Pathogens
Gut Pathogens GASTROENTEROLOGY & HEPATOLOGY-MICROBIOLOGY
CiteScore
7.70
自引率
2.40%
发文量
43
期刊介绍: Gut Pathogens is a fast publishing, inclusive and prominent international journal which recognizes the need for a publishing platform uniquely tailored to reflect the full breadth of research in the biology and medicine of pathogens, commensals and functional microbiota of the gut. The journal publishes basic, clinical and cutting-edge research on all aspects of the above mentioned organisms including probiotic bacteria and yeasts and their products. The scope also covers the related ecology, molecular genetics, physiology and epidemiology of these microbes. The journal actively invites timely reports on the novel aspects of genomics, metagenomics, microbiota profiling and systems biology. Gut Pathogens will also consider, at the discretion of the editors, descriptive studies identifying a new genome sequence of a gut microbe or a series of related microbes (such as those obtained from new hosts, niches, settings, outbreaks and epidemics) and those obtained from single or multiple hosts at one or different time points (chronological evolution).
×
引用
GB/T 7714-2015
复制
MLA
复制
APA
复制
导出至
BibTeX EndNote RefMan NoteFirst NoteExpress
×
提示
您的信息不完整,为了账户安全,请先补充。
现在去补充
×
提示
您因"违规操作"
具体请查看互助需知
我知道了
×
提示
确定
请完成安全验证×
copy
已复制链接
快去分享给好友吧!
我知道了
右上角分享
点击右上角分享
0
联系我们:info@booksci.cn Book学术提供免费学术资源搜索服务,方便国内外学者检索中英文文献。致力于提供最便捷和优质的服务体验。 Copyright © 2023 布克学术 All rights reserved.
京ICP备2023020795号-1
ghs 京公网安备 11010802042870号
Book学术文献互助
Book学术文献互助群
群 号:604180095
Book学术官方微信