Prevalence of Torque Teno Virus in Portuguese Children Younger Than 3 Years Old: A Single-Center Study.

IF 0.7 4区 医学 Q3 PEDIATRICS
Clinical Pediatrics Pub Date : 2025-10-01 Epub Date: 2025-05-09 DOI:10.1177/00099228251339047
Maria-Jesus Chasqueira, Pedro Paixão, Carla Barreiros, Madalena Tuna, Mónica Marçal, Paulo Paixão
{"title":"Prevalence of Torque Teno Virus in Portuguese Children Younger Than 3 Years Old: A Single-Center Study.","authors":"Maria-Jesus Chasqueira, Pedro Paixão, Carla Barreiros, Madalena Tuna, Mónica Marçal, Paulo Paixão","doi":"10.1177/00099228251339047","DOIUrl":null,"url":null,"abstract":"<p><p>The objective of this study was to determine the prevalence of Torque Teno virus (TTV) infection in Portuguese children younger than 3 years old and to compare its detection in blood <i>versus</i> saliva. Samples, 242 saliva and 20 plasma, were collected from neonates and children. A real-time polymerase chain reaction was applied to detect the TTV load. Eighteen paired samples of saliva and plasma were concordant for viral DNA, and a correlation between both was statistically significant. The prevalence of TTV was 75.5% in children and 3.6% in neonates, but it was not possible to determine the origin of positive cases in neonates, if they were true cases acquired before or after birth. Overall, the results suggest that TTV transmission occurs mainly in early childhood. Despite the small sample size, the good saliva/plasma correlation obtained is promising, but larger studies are needed to validate saliva samples for epidemiological studies for TV.</p>","PeriodicalId":10363,"journal":{"name":"Clinical Pediatrics","volume":" ","pages":"1419-1424"},"PeriodicalIF":0.7000,"publicationDate":"2025-10-01","publicationTypes":"Journal Article","fieldsOfStudy":null,"isOpenAccess":false,"openAccessPdf":"https://www.ncbi.nlm.nih.gov/pmc/articles/PMC12402514/pdf/","citationCount":"0","resultStr":null,"platform":"Semanticscholar","paperid":null,"PeriodicalName":"Clinical Pediatrics","FirstCategoryId":"3","ListUrlMain":"https://doi.org/10.1177/00099228251339047","RegionNum":4,"RegionCategory":"医学","ArticlePicture":[],"TitleCN":null,"AbstractTextCN":null,"PMCID":null,"EPubDate":"2025/5/9 0:00:00","PubModel":"Epub","JCR":"Q3","JCRName":"PEDIATRICS","Score":null,"Total":0}
引用次数: 0

Abstract

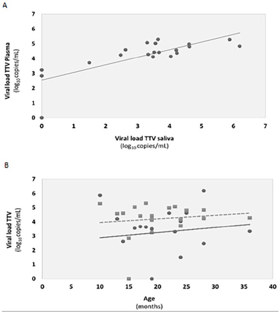
The objective of this study was to determine the prevalence of Torque Teno virus (TTV) infection in Portuguese children younger than 3 years old and to compare its detection in blood versus saliva. Samples, 242 saliva and 20 plasma, were collected from neonates and children. A real-time polymerase chain reaction was applied to detect the TTV load. Eighteen paired samples of saliva and plasma were concordant for viral DNA, and a correlation between both was statistically significant. The prevalence of TTV was 75.5% in children and 3.6% in neonates, but it was not possible to determine the origin of positive cases in neonates, if they were true cases acquired before or after birth. Overall, the results suggest that TTV transmission occurs mainly in early childhood. Despite the small sample size, the good saliva/plasma correlation obtained is promising, but larger studies are needed to validate saliva samples for epidemiological studies for TV.

Abstract Image

Abstract Image

Abstract Image

葡萄牙3岁以下儿童中Torque Teno病毒的流行:一项单中心研究
本研究的目的是确定葡萄牙3岁以下儿童中TTV感染的流行情况,并比较其在血液和唾液中的检测情况。收集了新生儿和儿童242份唾液和20份血浆样本。采用实时聚合酶链反应检测TTV载量。18对唾液和血浆样本的病毒DNA一致,两者之间的相关性具有统计学意义。TTV在儿童中的患病率为75.5%,在新生儿中为3.6%,但无法确定新生儿阳性病例的来源,如果他们是出生前或出生后感染的真实病例。总的来说,结果表明TTV传播主要发生在幼儿期。尽管样本量小,但获得的良好唾液/血浆相关性是有希望的,但需要更大规模的研究来验证唾液样本用于电视流行病学研究。
本文章由计算机程序翻译,如有差异,请以英文原文为准。
求助全文
约1分钟内获得全文 求助全文
来源期刊
Clinical Pediatrics
Clinical Pediatrics 医学-小儿科
CiteScore
2.10
自引率
6.20%
发文量
189
审稿时长
3-8 weeks
期刊介绍: Clinical Pediatrics (CLP) a peer-reviewed monthly journal, is a must read for the busy pediatrician. CLP contains state-of-the-art, accurate, concise and down-to earth information on practical, everyday child care topics whether they are clinical, scientific, behavioral, educational, or ethical.
×
引用
GB/T 7714-2015
复制
MLA
复制
APA
复制
导出至
BibTeX EndNote RefMan NoteFirst NoteExpress
×
提示
您的信息不完整,为了账户安全,请先补充。
现在去补充
×
提示
您因"违规操作"
具体请查看互助需知
我知道了
×
提示
确定
请完成安全验证×
copy
已复制链接
快去分享给好友吧!
我知道了
右上角分享
点击右上角分享
0
联系我们:info@booksci.cn Book学术提供免费学术资源搜索服务,方便国内外学者检索中英文文献。致力于提供最便捷和优质的服务体验。 Copyright © 2023 布克学术 All rights reserved.
京ICP备2023020795号-1
ghs 京公网安备 11010802042870号
Book学术文献互助
Book学术文献互助群
群 号:604180095
Book学术官方微信