A new formula for calculating normal tissue complication probability.

IF 2.1 Q4 Medicine
Precision Radiation Oncology Pub Date : 2024-09-19 eCollection Date: 2024-09-01 DOI:10.1002/pro6.1240
Tingting Cao, Qingqing Yuan, Zhitao Dai
{"title":"A new formula for calculating normal tissue complication probability.","authors":"Tingting Cao, Qingqing Yuan, Zhitao Dai","doi":"10.1002/pro6.1240","DOIUrl":null,"url":null,"abstract":"<p><strong>Purpose: </strong>To facilitate the use of quantitative modeling of biological effects in treatment planning by introducing a simpler function equivalent to the Lyman formula for calculating normal tissue complication probability (NTCP).</p><p><strong>Methods: </strong>We first provide an approximation of the Lyman-Kutcher-Burman (LKB) formula using three parameters (<i>n</i>, <i>m</i>, TD<sub>50</sub>) as a function of equivalent uniform dose (EUD). The parameters for the new formula are defined in terms of the Lyman model's m and TD<sub>50</sub>. Conversely, <i>m</i> and TD<sub>50</sub> are expressed in terms of the parameters of the new equation. The role of the Lyman volume-effect parameter <i>n</i> remains unchanged from its role in the Lyman model.</p><p><strong>Results: </strong>The new formula, which exhibits a sigmoidal shape, demonstrates symmetry about TD<sub>50</sub>, akin to the LKB model. The difference in NTCP between the two formulas is less than 0.1%. The parameters (<i>n</i>, <i>m</i>, TD<sub>50</sub>) are preserved through rigorous mathematical deduction and have been recalibrated to the tolerance data of Emani <i>et al.</i> using the proposed formula. This new model provides a better fit to these data than the model by Burman <i>et al.</i>, which was fitted \"by eye\" rather than using statistical methods.</p><p><strong>Conclusion: </strong>We have developed a formula that represents NTCP as a function of EUD, which proves to be potentially useful. The parameters derived in this study are mathematically robust and offer a superior fit to the data compared to previous efforts. Additionally, the new model fits brain data as well as, if not better than, the LKB model.</p>","PeriodicalId":32406,"journal":{"name":"Precision Radiation Oncology","volume":"8 3","pages":"126-131"},"PeriodicalIF":2.1000,"publicationDate":"2024-09-19","publicationTypes":"Journal Article","fieldsOfStudy":null,"isOpenAccess":false,"openAccessPdf":"https://www.ncbi.nlm.nih.gov/pmc/articles/PMC11935045/pdf/","citationCount":"0","resultStr":null,"platform":"Semanticscholar","paperid":null,"PeriodicalName":"Precision Radiation Oncology","FirstCategoryId":"1085","ListUrlMain":"https://doi.org/10.1002/pro6.1240","RegionNum":0,"RegionCategory":null,"ArticlePicture":[],"TitleCN":null,"AbstractTextCN":null,"PMCID":null,"EPubDate":"2024/9/1 0:00:00","PubModel":"eCollection","JCR":"Q4","JCRName":"Medicine","Score":null,"Total":0}
引用次数: 0

Abstract

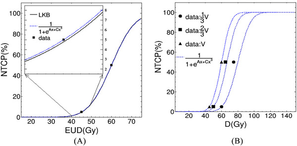
Purpose: To facilitate the use of quantitative modeling of biological effects in treatment planning by introducing a simpler function equivalent to the Lyman formula for calculating normal tissue complication probability (NTCP).

Methods: We first provide an approximation of the Lyman-Kutcher-Burman (LKB) formula using three parameters (n, m, TD50) as a function of equivalent uniform dose (EUD). The parameters for the new formula are defined in terms of the Lyman model's m and TD50. Conversely, m and TD50 are expressed in terms of the parameters of the new equation. The role of the Lyman volume-effect parameter n remains unchanged from its role in the Lyman model.

Results: The new formula, which exhibits a sigmoidal shape, demonstrates symmetry about TD50, akin to the LKB model. The difference in NTCP between the two formulas is less than 0.1%. The parameters (n, m, TD50) are preserved through rigorous mathematical deduction and have been recalibrated to the tolerance data of Emani et al. using the proposed formula. This new model provides a better fit to these data than the model by Burman et al., which was fitted "by eye" rather than using statistical methods.

Conclusion: We have developed a formula that represents NTCP as a function of EUD, which proves to be potentially useful. The parameters derived in this study are mathematically robust and offer a superior fit to the data compared to previous efforts. Additionally, the new model fits brain data as well as, if not better than, the LKB model.

Abstract Image

Abstract Image

Abstract Image

一种计算正常组织并发症概率的新公式。
目的:引入一个简单的函数,相当于Lyman公式,用于计算正常组织并发症概率(NTCP),以方便生物效应定量建模在治疗计划中的应用。方法:我们首先用三个参数(n, m, TD50)作为等效均匀剂量(EUD)的函数,给出Lyman-Kutcher-Burman (LKB)公式的近似。新公式的参数用Lyman模型的m和TD50来定义。反过来,m和TD50用新方程的参数表示。Lyman体积效应参数n的作用与其在Lyman模型中的作用保持不变。结果:新公式呈s型,与LKB模型相似,显示了TD50的对称性。两种公式的NTCP差值小于0.1%。通过严格的数学推导保留了参数(n, m, TD50),并使用提出的公式重新校准到Emani等人的公差数据。这个新模型比Burman等人的模型更适合这些数据,Burman等人的模型是“通过眼睛”而不是使用统计方法拟合的。结论:我们开发了一个公式,表示NTCP作为EUD的函数,这被证明是潜在的有用的。与以前的研究相比,本研究中得出的参数在数学上是稳健的,并提供了更好的数据拟合。此外,新模型即使不比LKB模型更好,也与大脑数据吻合得很好。
本文章由计算机程序翻译,如有差异,请以英文原文为准。
求助全文
约1分钟内获得全文 求助全文
来源期刊
Precision Radiation Oncology
Precision Radiation Oncology Medicine-Oncology
CiteScore
1.20
自引率
0.00%
发文量
32
审稿时长
13 weeks
×
引用
GB/T 7714-2015
复制
MLA
复制
APA
复制
导出至
BibTeX EndNote RefMan NoteFirst NoteExpress
×
提示
您的信息不完整,为了账户安全,请先补充。
现在去补充
×
提示
您因"违规操作"
具体请查看互助需知
我知道了
×
提示
确定
请完成安全验证×
copy
已复制链接
快去分享给好友吧!
我知道了
右上角分享
点击右上角分享
0
联系我们:info@booksci.cn Book学术提供免费学术资源搜索服务,方便国内外学者检索中英文文献。致力于提供最便捷和优质的服务体验。 Copyright © 2023 布克学术 All rights reserved.
京ICP备2023020795号-1
ghs 京公网安备 11010802042870号
Book学术文献互助
Book学术文献互助群
群 号:604180095
Book学术官方微信