Clinical presentation and treatment outcomes of gastric adenocarcinoma patients: a retrospective study from Ain Shams Clinical Oncology Department.

IF 1.3 Q4 ONCOLOGY
ecancermedicalscience Pub Date : 2025-02-27 eCollection Date: 2025-01-01 DOI:10.3332/ecancer.2025.1861
Mohamed Osama Alorabi, Mohamed El-Bassiouny, Dalia Abd El Ghany El Khodary, Mai Mohamed Ali Ezz El Din, Alaa Mohamed Mohamed Ahmed Elsayed, Christine Reda
{"title":"Clinical presentation and treatment outcomes of gastric adenocarcinoma patients: a retrospective study from Ain Shams Clinical Oncology Department.","authors":"Mohamed Osama Alorabi, Mohamed El-Bassiouny, Dalia Abd El Ghany El Khodary, Mai Mohamed Ali Ezz El Din, Alaa Mohamed Mohamed Ahmed Elsayed, Christine Reda","doi":"10.3332/ecancer.2025.1861","DOIUrl":null,"url":null,"abstract":"<p><strong>Background: </strong>Gastric adenocarcinoma (GAC) has a different epidemiological profile in Egypt than in other countries. It ranks 11th in incidence, with 3,285 new cases and 10th in mortality, with 2,469 cases. This retrospective study aims to analyze gastric cancer epidemiology and clinical outcomes in Egyptian patients at Ain Shams University Clinical Oncology Department.</p><p><strong>Methods: </strong>We conducted a retrospective analysis of the complete medical records of patients with confirmed GAC at the Ain Shams University Clinical Oncology Department from January 2017 to December 2020.</p><p><strong>Results: </strong>This study included 70 patients with GAC. The median age was 52.5 years, with nearly half of cases under 50 years and males representing 53% of the cohort. 70% of patients were from urban areas. Nearly one-third were smokers, with 57.1% having medical comorbidities, mainly diabetes mellitus, hypertension and viral hepatitis. Additionally, 25.7% had a positive family history of GAC. Most Common presenting symptoms were vomiting (42.9%) and abdominal pain (57.1%). 40% of tumours were in the gastric body, and 64.3% were diffuse-type GAC, with 64.3% classified as high grade (III). At presentation, the majority of cases were metastatic (55.7%), with 15.7% presenting with stage II disease and 28.6% with stage III. Most patients (72.8%) had an Eastern Cooperative Oncology Group ≤2. Only 18.6% received neoadjuvant chemotherapy, while 48.6% underwent surgical resection with adequate lymph node dissection in 55.9% of cases. Adjuvant chemotherapy or chemoradiation was administered to 19 patients. The median overall survival (OS) was 11 months, 36 months for stage II, 17 months for stage III and 7 months for stage IV. Univariate analysis indicated that female gender, higher stage (Stage III-IV), higher grade (G IV), absence of neoadjuvant chemotherapy and intestinal type were significantly associated with increased mortality. However, multivariate analysis adjusting for these factors identified the advanced stage as a significant independent predictor of mortality.</p><p><strong>Conclusion: </strong>This study identified the distinct GAC profile of Egyptian patients, younger age, aggressive tumours and frequent metastases. These factors contributed to lower OS. Further research and targeted interventions are needed to improve outcomes.</p>","PeriodicalId":11460,"journal":{"name":"ecancermedicalscience","volume":"19 ","pages":"1861"},"PeriodicalIF":1.3000,"publicationDate":"2025-02-27","publicationTypes":"Journal Article","fieldsOfStudy":null,"isOpenAccess":false,"openAccessPdf":"https://www.ncbi.nlm.nih.gov/pmc/articles/PMC12010182/pdf/","citationCount":"0","resultStr":null,"platform":"Semanticscholar","paperid":null,"PeriodicalName":"ecancermedicalscience","FirstCategoryId":"1085","ListUrlMain":"https://doi.org/10.3332/ecancer.2025.1861","RegionNum":0,"RegionCategory":null,"ArticlePicture":[],"TitleCN":null,"AbstractTextCN":null,"PMCID":null,"EPubDate":"2025/1/1 0:00:00","PubModel":"eCollection","JCR":"Q4","JCRName":"ONCOLOGY","Score":null,"Total":0}
引用次数: 0

Abstract

Background: Gastric adenocarcinoma (GAC) has a different epidemiological profile in Egypt than in other countries. It ranks 11th in incidence, with 3,285 new cases and 10th in mortality, with 2,469 cases. This retrospective study aims to analyze gastric cancer epidemiology and clinical outcomes in Egyptian patients at Ain Shams University Clinical Oncology Department.

Methods: We conducted a retrospective analysis of the complete medical records of patients with confirmed GAC at the Ain Shams University Clinical Oncology Department from January 2017 to December 2020.

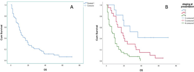
Results: This study included 70 patients with GAC. The median age was 52.5 years, with nearly half of cases under 50 years and males representing 53% of the cohort. 70% of patients were from urban areas. Nearly one-third were smokers, with 57.1% having medical comorbidities, mainly diabetes mellitus, hypertension and viral hepatitis. Additionally, 25.7% had a positive family history of GAC. Most Common presenting symptoms were vomiting (42.9%) and abdominal pain (57.1%). 40% of tumours were in the gastric body, and 64.3% were diffuse-type GAC, with 64.3% classified as high grade (III). At presentation, the majority of cases were metastatic (55.7%), with 15.7% presenting with stage II disease and 28.6% with stage III. Most patients (72.8%) had an Eastern Cooperative Oncology Group ≤2. Only 18.6% received neoadjuvant chemotherapy, while 48.6% underwent surgical resection with adequate lymph node dissection in 55.9% of cases. Adjuvant chemotherapy or chemoradiation was administered to 19 patients. The median overall survival (OS) was 11 months, 36 months for stage II, 17 months for stage III and 7 months for stage IV. Univariate analysis indicated that female gender, higher stage (Stage III-IV), higher grade (G IV), absence of neoadjuvant chemotherapy and intestinal type were significantly associated with increased mortality. However, multivariate analysis adjusting for these factors identified the advanced stage as a significant independent predictor of mortality.

Conclusion: This study identified the distinct GAC profile of Egyptian patients, younger age, aggressive tumours and frequent metastases. These factors contributed to lower OS. Further research and targeted interventions are needed to improve outcomes.

Abstract Image

Abstract Image

胃腺癌患者的临床表现及治疗结果:艾因沙姆斯临床肿瘤科回顾性研究。
背景:胃腺癌(GAC)在埃及具有不同于其他国家的流行病学概况。发病率排名第11位,新增病例3285例,死亡率排名第10位,新增病例2469例。本回顾性研究旨在分析埃及艾因沙姆斯大学临床肿瘤科患者的胃癌流行病学和临床结局。方法:回顾性分析2017年1月至2020年12月艾因沙姆斯大学临床肿瘤科确诊GAC患者的完整病历。结果:本研究纳入70例GAC患者。中位年龄为52.5岁,近一半的病例在50岁以下,男性占队列的53%。70%的患者来自城市地区。近三分之一的人吸烟,57.1%的人有合并症,主要是糖尿病、高血压和病毒性肝炎。此外,25.7%的患者有GAC家族史。最常见的症状是呕吐(42.9%)和腹痛(57.1%)。40%的肿瘤位于胃体,64.3%为弥漫性GAC,其中64.3%为高分级(III级)。在就诊时,大多数病例转移(55.7%),其中15.7%为II期疾病,28.6%为III期疾病。大多数患者(72.8%)属于≤2个的东方合作肿瘤组。只有18.6%的患者接受了新辅助化疗,而55.9%的患者接受了48.6%的手术切除并进行了充分的淋巴结清扫。19例患者行辅助化疗或放化疗。中位总生存期(OS)为11个月,II期为36个月,III期为17个月,IV期为7个月。单因素分析表明,女性、更高的分期(III-IV期)、更高的分级(giv期)、缺乏新辅助化疗和肠道类型与死亡率增加显著相关。然而,调整这些因素的多变量分析确定晚期是死亡率的重要独立预测因子。结论:本研究确定了埃及患者独特的GAC特征,年轻,侵袭性肿瘤和频繁转移。这些因素导致了较低的OS。需要进一步的研究和有针对性的干预措施来改善结果。
本文章由计算机程序翻译,如有差异,请以英文原文为准。
求助全文
约1分钟内获得全文 求助全文
来源期刊
CiteScore
3.80
自引率
5.60%
发文量
138
审稿时长
27 weeks
×
引用
GB/T 7714-2015
复制
MLA
复制
APA
复制
导出至
BibTeX EndNote RefMan NoteFirst NoteExpress
×
提示
您的信息不完整,为了账户安全,请先补充。
现在去补充
×
提示
您因"违规操作"
具体请查看互助需知
我知道了
×
提示
确定
请完成安全验证×
copy
已复制链接
快去分享给好友吧!
我知道了
右上角分享
点击右上角分享
0
联系我们:info@booksci.cn Book学术提供免费学术资源搜索服务,方便国内外学者检索中英文文献。致力于提供最便捷和优质的服务体验。 Copyright © 2023 布克学术 All rights reserved.
京ICP备2023020795号-1
ghs 京公网安备 11010802042870号
Book学术文献互助
Book学术文献互助群
群 号:604180095
Book学术官方微信