Cost-utility and clinical impact of endoscopic screening for esophageal and gastric neoplasia in patients with head and neck neoplasms.

IF 1.8 4区 医学 Q3 GASTROENTEROLOGY & HEPATOLOGY
Rui Morais, João Afonso, Nuno Sousa, Bernardo Sousa-Pinto, Diogo Libânio, Bárbara Marinho, Maria Luísa Sacramento, Mariana Simplício, Isabel Faria-Ramos, Luís Azevedo, Margarida Marques, Helena Silveira, Irene Gullo, Fátima Carneiro, João Santos-Antunes, Guilherme Macedo
{"title":"Cost-utility and clinical impact of endoscopic screening for esophageal and gastric neoplasia in patients with head and neck neoplasms.","authors":"Rui Morais, João Afonso, Nuno Sousa, Bernardo Sousa-Pinto, Diogo Libânio, Bárbara Marinho, Maria Luísa Sacramento, Mariana Simplício, Isabel Faria-Ramos, Luís Azevedo, Margarida Marques, Helena Silveira, Irene Gullo, Fátima Carneiro, João Santos-Antunes, Guilherme Macedo","doi":"10.1097/MEG.0000000000002988","DOIUrl":null,"url":null,"abstract":"<p><strong>Objective: </strong>Patients with head and neck neoplasms (HNN) are at an increased risk of esophageal neoplasia (EN) and gastric neoplasia (GN). We aimed to assess the clinical impact and cost-utility of endoscopic screening in this population in the Western setting.</p><p><strong>Methods: </strong>In this single-center study HNN patients eligible for curative treatment underwent screening esophagogastroduodenoscopy. We assessed the frequency, clinical, and pathological outcomes of EN and GN. The cost-effectiveness of an annual endoscopic screening for EN was evaluated from a societal perspective, using a Markov model and probabilistic sensitivity analysis. In addition, we performed a sensitivity analysis using data on the prevalence of detected EN lesions in the four largest previous Western studies on this topic.</p><p><strong>Results: </strong>Forty-six HNN patients met the inclusion criteria and underwent endoscopic screening. Six EN were detected in five patients (10.9%, 95% confidence interval: 1.9-19.9%). Additionally, five GN were detected in five patients. Most patients had early-stage EN or GN (90%) and were treated with endoscopic resection (80%). Endoscopic screening strategy had an incremental cost-effectiveness ratio of 39 357.8 €/quality-adjusted life years gained, being cost-effective at a willingness-to-pay threshold of two times the Portuguese gross domestic product per capita. In the sensitivity analysis, it remained cost-effective when considering the prevalence of EN reported in Germany, France, and Brazil.</p><p><strong>Conclusion: </strong>An endoscopic screening program identified EN or GN in a fifth of HNN patients, most presenting at an early stage. The program implementation appears to be cost-effective in Portugal. These results may be applicable to other medium-to-high-income Western countries.</p>","PeriodicalId":11999,"journal":{"name":"European Journal of Gastroenterology & Hepatology","volume":" ","pages":"815-825"},"PeriodicalIF":1.8000,"publicationDate":"2025-07-01","publicationTypes":"Journal Article","fieldsOfStudy":null,"isOpenAccess":false,"openAccessPdf":"https://www.ncbi.nlm.nih.gov/pmc/articles/PMC12122095/pdf/","citationCount":"0","resultStr":null,"platform":"Semanticscholar","paperid":null,"PeriodicalName":"European Journal of Gastroenterology & Hepatology","FirstCategoryId":"3","ListUrlMain":"https://doi.org/10.1097/MEG.0000000000002988","RegionNum":4,"RegionCategory":"医学","ArticlePicture":[],"TitleCN":null,"AbstractTextCN":null,"PMCID":null,"EPubDate":"2025/4/29 0:00:00","PubModel":"Epub","JCR":"Q3","JCRName":"GASTROENTEROLOGY & HEPATOLOGY","Score":null,"Total":0}
引用次数: 0

Abstract

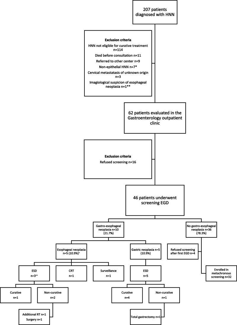
Objective: Patients with head and neck neoplasms (HNN) are at an increased risk of esophageal neoplasia (EN) and gastric neoplasia (GN). We aimed to assess the clinical impact and cost-utility of endoscopic screening in this population in the Western setting.

Methods: In this single-center study HNN patients eligible for curative treatment underwent screening esophagogastroduodenoscopy. We assessed the frequency, clinical, and pathological outcomes of EN and GN. The cost-effectiveness of an annual endoscopic screening for EN was evaluated from a societal perspective, using a Markov model and probabilistic sensitivity analysis. In addition, we performed a sensitivity analysis using data on the prevalence of detected EN lesions in the four largest previous Western studies on this topic.

Results: Forty-six HNN patients met the inclusion criteria and underwent endoscopic screening. Six EN were detected in five patients (10.9%, 95% confidence interval: 1.9-19.9%). Additionally, five GN were detected in five patients. Most patients had early-stage EN or GN (90%) and were treated with endoscopic resection (80%). Endoscopic screening strategy had an incremental cost-effectiveness ratio of 39 357.8 €/quality-adjusted life years gained, being cost-effective at a willingness-to-pay threshold of two times the Portuguese gross domestic product per capita. In the sensitivity analysis, it remained cost-effective when considering the prevalence of EN reported in Germany, France, and Brazil.

Conclusion: An endoscopic screening program identified EN or GN in a fifth of HNN patients, most presenting at an early stage. The program implementation appears to be cost-effective in Portugal. These results may be applicable to other medium-to-high-income Western countries.

Abstract Image

Abstract Image

Abstract Image

头颈部肿瘤患者食管和胃肿瘤内镜筛查的成本-效用和临床影响。
目的:头颈部肿瘤(HNN)患者发生食管瘤变(EN)和胃瘤变(GN)的风险增高。我们的目的是评估内窥镜筛查在西方国家人群中的临床影响和成本效用。方法:在这项单中心研究中,符合根治性治疗条件的HNN患者接受筛查性食管胃十二指肠镜检查。我们评估了EN和GN的发生频率、临床和病理结果。使用马尔可夫模型和概率敏感性分析,从社会角度评估每年内镜筛查EN的成本效益。此外,我们对此前西方关于该主题的四项最大研究中检测到的EN病变的发生率进行了敏感性分析。结果:46例HNN患者符合纳入标准并行内镜筛查。5例患者中检出6例EN(10.9%, 95%可信区间:1.9 ~ 19.9%)。此外,在5例患者中检测到5个GN。大多数患者患有早期EN或GN(90%),并接受内镜切除治疗(80%)。内窥镜筛查策略的增量成本效益比为39 357.8欧元/质量调整生命年,在葡萄牙人均国内生产总值两倍的支付意愿阈值下具有成本效益。在敏感性分析中,考虑到德国、法国和巴西报告的EN患病率,该方法仍然具有成本效益。结论:内镜筛查项目在五分之一的HNN患者中发现了EN或GN,大多数出现在早期阶段。该计划在葡萄牙的实施似乎具有成本效益。这些结果可能适用于其他中高收入的西方国家。
本文章由计算机程序翻译,如有差异,请以英文原文为准。
求助全文
约1分钟内获得全文 求助全文
来源期刊
CiteScore
4.40
自引率
4.80%
发文量
269
审稿时长
1 months
期刊介绍: European Journal of Gastroenterology & Hepatology publishes papers reporting original clinical and scientific research which are of a high standard and which contribute to the advancement of knowledge in the field of gastroenterology and hepatology. The journal publishes three types of manuscript: in-depth reviews (by invitation only), full papers and case reports. Manuscripts submitted to the journal will be accepted on the understanding that the author has not previously submitted the paper to another journal or had the material published elsewhere. Authors are asked to disclose any affiliations, including financial, consultant, or institutional associations, that might lead to bias or a conflict of interest.
×
引用
GB/T 7714-2015
复制
MLA
复制
APA
复制
导出至
BibTeX EndNote RefMan NoteFirst NoteExpress
×
提示
您的信息不完整,为了账户安全,请先补充。
现在去补充
×
提示
您因"违规操作"
具体请查看互助需知
我知道了
×
提示
确定
请完成安全验证×
copy
已复制链接
快去分享给好友吧!
我知道了
右上角分享
点击右上角分享
0
联系我们:info@booksci.cn Book学术提供免费学术资源搜索服务,方便国内外学者检索中英文文献。致力于提供最便捷和优质的服务体验。 Copyright © 2023 布克学术 All rights reserved.
京ICP备2023020795号-1
ghs 京公网安备 11010802042870号
Book学术文献互助
Book学术文献互助群
群 号:604180095
Book学术官方微信