p-Coumaric acid alleviates metabolic dysregulation in high-fructose diet-fed hamsters.

IF 1.5 4区 医学 Q3 NUTRITION & DIETETICS
Nutrition Research and Practice Pub Date : 2025-04-01 Epub Date: 2024-11-27 DOI:10.4162/nrp.2025.19.2.200
Hye Jin Yoon, Un Ju Jung
{"title":"<i>p</i>-Coumaric acid alleviates metabolic dysregulation in high-fructose diet-fed hamsters.","authors":"Hye Jin Yoon, Un Ju Jung","doi":"10.4162/nrp.2025.19.2.200","DOIUrl":null,"url":null,"abstract":"<p><strong>Background/objectives: </strong><i>p</i>-Coumaric acid (CA), a 4-hydroxycinnamic acid derivative, is widely distributed in nature and exerts various beneficial biological effects. However, the effects of CA on metabolic abnormalities triggered by excessive fructose intake, such as dyslipidemia, hyperglycemia, non-alcoholic fatty liver disease (NAFLD), and insulin resistance, have not been sufficiently investigated. Our objective was to investigate whether CA ameliorates high-fructose diet (HFrD)-induced metabolic dysregulation.</p><p><strong>Materials/methods: </strong>Golden Syrian hamsters were randomly assigned to 3 groups and were fed diets containing 60% cornstarch (CON group), 60% fructose (HFrD group), or 60% fructose with CA (0.02%) (HFrD+CA group) for 5 weeks.</p><p><strong>Results: </strong>HFrD feeding significantly increased the levels of plasma triglyceride, apolipoprotein (apo)-CIII, fasting blood glucose, and homeostatic model assessment insulin resistance, and tended to increase plasma total cholesterol (TC) and low-density lipoprotein/very low-density lipoprotein cholesterol (LDL/VLDL-C) compared with the CON group. In HFrD-fed hamsters, CA supplementation significantly decreased plasma TC, LDL/VLDL-C, apo-CIII, and fasting blood glucose levels. Moreover, CA significantly decreased the hepatic lipid levels and fibrosis induced by HFrD. The plasma and hepatic lipid-lowering effects of CA were associated with decreased enzyme activity and mRNA expression of genes involved in fatty acid, triglyceride, and cholesterol synthesis as well as increased activity of carnitine palmitoyltransferase, a rate-limiting enzyme in fatty acid oxidation, in the liver. CA-treated hamsters also exhibited decreased hepatic gluconeogenic enzyme activity and increased hepatic glycolytic enzyme activity, with mRNA expression changes similar to these activity patterns.</p><p><strong>Conclusion: </strong>Our findings indicate that CA potentially improves metabolic abnormalities associated with excessive fructose intake, such as hyperglycemia, dyslipidemia, and NAFLD.</p>","PeriodicalId":19232,"journal":{"name":"Nutrition Research and Practice","volume":"19 2","pages":"200-214"},"PeriodicalIF":1.5000,"publicationDate":"2025-04-01","publicationTypes":"Journal Article","fieldsOfStudy":null,"isOpenAccess":false,"openAccessPdf":"https://www.ncbi.nlm.nih.gov/pmc/articles/PMC11982689/pdf/","citationCount":"0","resultStr":null,"platform":"Semanticscholar","paperid":null,"PeriodicalName":"Nutrition Research and Practice","FirstCategoryId":"3","ListUrlMain":"https://doi.org/10.4162/nrp.2025.19.2.200","RegionNum":4,"RegionCategory":"医学","ArticlePicture":[],"TitleCN":null,"AbstractTextCN":null,"PMCID":null,"EPubDate":"2024/11/27 0:00:00","PubModel":"Epub","JCR":"Q3","JCRName":"NUTRITION & DIETETICS","Score":null,"Total":0}
引用次数: 0

Abstract

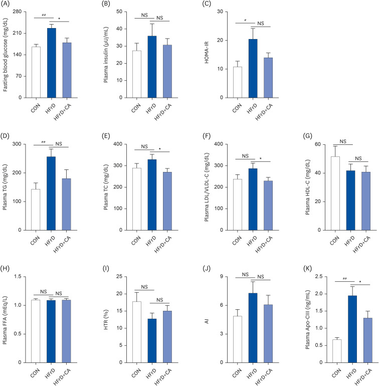
Background/objectives: p-Coumaric acid (CA), a 4-hydroxycinnamic acid derivative, is widely distributed in nature and exerts various beneficial biological effects. However, the effects of CA on metabolic abnormalities triggered by excessive fructose intake, such as dyslipidemia, hyperglycemia, non-alcoholic fatty liver disease (NAFLD), and insulin resistance, have not been sufficiently investigated. Our objective was to investigate whether CA ameliorates high-fructose diet (HFrD)-induced metabolic dysregulation.

Materials/methods: Golden Syrian hamsters were randomly assigned to 3 groups and were fed diets containing 60% cornstarch (CON group), 60% fructose (HFrD group), or 60% fructose with CA (0.02%) (HFrD+CA group) for 5 weeks.

Results: HFrD feeding significantly increased the levels of plasma triglyceride, apolipoprotein (apo)-CIII, fasting blood glucose, and homeostatic model assessment insulin resistance, and tended to increase plasma total cholesterol (TC) and low-density lipoprotein/very low-density lipoprotein cholesterol (LDL/VLDL-C) compared with the CON group. In HFrD-fed hamsters, CA supplementation significantly decreased plasma TC, LDL/VLDL-C, apo-CIII, and fasting blood glucose levels. Moreover, CA significantly decreased the hepatic lipid levels and fibrosis induced by HFrD. The plasma and hepatic lipid-lowering effects of CA were associated with decreased enzyme activity and mRNA expression of genes involved in fatty acid, triglyceride, and cholesterol synthesis as well as increased activity of carnitine palmitoyltransferase, a rate-limiting enzyme in fatty acid oxidation, in the liver. CA-treated hamsters also exhibited decreased hepatic gluconeogenic enzyme activity and increased hepatic glycolytic enzyme activity, with mRNA expression changes similar to these activity patterns.

Conclusion: Our findings indicate that CA potentially improves metabolic abnormalities associated with excessive fructose intake, such as hyperglycemia, dyslipidemia, and NAFLD.

Abstract Image

Abstract Image

Abstract Image

对香豆酸减轻高果糖饮食喂养仓鼠的代谢失调。
背景/目的:对香豆酸(CA)是一种4-羟基肉桂酸衍生物,广泛存在于自然界中,具有多种有益的生物效应。然而,CA对过量摄入果糖引发的代谢异常的影响,如血脂异常、高血糖、非酒精性脂肪性肝病(NAFLD)和胰岛素抵抗,尚未得到充分的研究。我们的目的是研究CA是否能改善高果糖饮食(HFrD)诱导的代谢失调。材料/方法:将金色叙利亚仓鼠随机分为3组,分别饲喂含60%玉米淀粉(CON组)、60%果糖(HFrD组)和60%果糖加CA(0.02%)的饲粮(HFrD+CA组),为期5周。结果:与CON组相比,HFrD喂养显著提高了血浆甘油三酯、载脂蛋白(apo)-CIII、空腹血糖和稳态模型评估胰岛素抵抗水平,并有升高血浆总胆固醇(TC)和低密度脂蛋白/极低密度脂蛋白胆固醇(LDL/VLDL-C)的趋势。在饲喂hfrd的仓鼠中,CA的补充显著降低了血浆TC、LDL/VLDL-C、apo-CIII和空腹血糖水平。此外,CA显著降低HFrD引起的肝脂质水平和纤维化。CA的血浆和肝脏降脂作用与降低脂肪酸、甘油三酯和胆固醇合成相关基因的酶活性和mRNA表达以及增加肝脏中肉毒碱棕榈酰基转移酶(脂肪酸氧化的限速酶)的活性有关。ca处理的仓鼠也表现出肝脏糖异生酶活性降低和肝糖酵解酶活性升高,mRNA表达变化与这些活性模式相似。结论:我们的研究结果表明,CA可能改善与过量果糖摄入相关的代谢异常,如高血糖、血脂异常和NAFLD。
本文章由计算机程序翻译,如有差异,请以英文原文为准。
求助全文
约1分钟内获得全文 求助全文
来源期刊
Nutrition Research and Practice
Nutrition Research and Practice NUTRITION & DIETETICS-
CiteScore
3.50
自引率
4.20%
发文量
62
审稿时长
6-12 weeks
期刊介绍: Nutrition Research and Practice (NRP) is an official journal, jointly published by the Korean Nutrition Society and the Korean Society of Community Nutrition since 2007. The journal had been published quarterly at the initial stage and has been published bimonthly since 2010. NRP aims to stimulate research and practice across diverse areas of human nutrition. The Journal publishes peer-reviewed original manuscripts on nutrition biochemistry and metabolism, community nutrition, nutrition and disease management, nutritional epidemiology, nutrition education, foodservice management in the following categories: Original Research Articles, Notes, Communications, and Reviews. Reviews will be received by the invitation of the editors only. Statements made and opinions expressed in the manuscripts published in this Journal represent the views of authors and do not necessarily reflect the opinion of the Societies.
×
引用
GB/T 7714-2015
复制
MLA
复制
APA
复制
导出至
BibTeX EndNote RefMan NoteFirst NoteExpress
×
提示
您的信息不完整,为了账户安全,请先补充。
现在去补充
×
提示
您因"违规操作"
具体请查看互助需知
我知道了
×
提示
确定
请完成安全验证×
copy
已复制链接
快去分享给好友吧!
我知道了
右上角分享
点击右上角分享
0
联系我们:info@booksci.cn Book学术提供免费学术资源搜索服务,方便国内外学者检索中英文文献。致力于提供最便捷和优质的服务体验。 Copyright © 2023 布克学术 All rights reserved.
京ICP备2023020795号-1
ghs 京公网安备 11010802042870号
Book学术文献互助
Book学术文献互助群
群 号:604180095
Book学术官方微信