Management of Anterior Cruciate Ligament Injuries in Children and Adolescents: A Systematic Review.

IF 5.9 2区 医学 Q1 SPORT SCIENCES
Hongfu Jin, Nouman Tahir, Shide Jiang, Herasimenka Mikhail, Volotovski Pavel, Masoud Rahmati, Seung Won Lee, Wenfeng Xiao, Yusheng Li
{"title":"Management of Anterior Cruciate Ligament Injuries in Children and Adolescents: A Systematic Review.","authors":"Hongfu Jin, Nouman Tahir, Shide Jiang, Herasimenka Mikhail, Volotovski Pavel, Masoud Rahmati, Seung Won Lee, Wenfeng Xiao, Yusheng Li","doi":"10.1186/s40798-025-00844-7","DOIUrl":null,"url":null,"abstract":"<p><strong>Background: </strong>Due to rising sports participation, anterior cruciate ligament (ACL) tears are increasingly prevalent in children and adolescents. This systematic review aimed to evaluate and summarize the management strategies for ACL injuries in children and adolescents.</p><p><strong>Methods: </strong>A comprehensive search of PubMed, Embase, Web of Science, and Cochrane Library databases was conducted to identify studies reporting outcomes of ACL injuries in children and adolescents. Key outcomes were synthesized descriptively, including knee instability, secondary damage, growth disturbances, and return-to-sport (RTS) rates.</p><p><strong>Results: </strong>A total of 7,507 publications were initially screened, with 105 studies involving 8294 children or adolescents satisfying the inclusion criteria. Conservative treatments were associated with elevated rates of knee instability (35.85-100%), secondary meniscal and cartilage damage, and long-term degenerative changes. Conversely, surgical interventions, including physeal-sparing and transphyseal techniques, demonstrated superior outcomes with lower instability rates (0-7.41%), fewer complications, and higher RTS rates (83.4-92.6%). Pooled RTS rates for conservative treatments were 44.0% (95%CI: 0.018-0.927), while physeal-sparing ACL reconstruction showed a pooled RTS rate of 92.6% (95%CI: 0.732-1.000) and transphyseal ACL reconstruction reported an RTS rate of 83.4% (95%CI: 0.722-0.924).</p><p><strong>Conclusion: </strong>Conservative management of ACL injuries in children and adolescents is linked to higher rates of knee instability, secondary meniscal and cartilage damage, and degenerative changes. In contrast, surgical interventions, such as physeal-sparing and transphyseal techniques, yield better outcomes in knee stability, complications reduction, and RTS rates. However, risks such as graft rupture, repeat surgeries, and potential growth disturbances emphasize the importance of tailoring surgical approaches to the patient's growth stage and anatomical characteristics.</p>","PeriodicalId":21788,"journal":{"name":"Sports Medicine - Open","volume":"11 1","pages":"40"},"PeriodicalIF":5.9000,"publicationDate":"2025-04-23","publicationTypes":"Journal Article","fieldsOfStudy":null,"isOpenAccess":false,"openAccessPdf":"https://www.ncbi.nlm.nih.gov/pmc/articles/PMC12014893/pdf/","citationCount":"0","resultStr":null,"platform":"Semanticscholar","paperid":null,"PeriodicalName":"Sports Medicine - Open","FirstCategoryId":"3","ListUrlMain":"https://doi.org/10.1186/s40798-025-00844-7","RegionNum":2,"RegionCategory":"医学","ArticlePicture":[],"TitleCN":null,"AbstractTextCN":null,"PMCID":null,"EPubDate":"","PubModel":"","JCR":"Q1","JCRName":"SPORT SCIENCES","Score":null,"Total":0}
引用次数: 0

Abstract

Background: Due to rising sports participation, anterior cruciate ligament (ACL) tears are increasingly prevalent in children and adolescents. This systematic review aimed to evaluate and summarize the management strategies for ACL injuries in children and adolescents.

Methods: A comprehensive search of PubMed, Embase, Web of Science, and Cochrane Library databases was conducted to identify studies reporting outcomes of ACL injuries in children and adolescents. Key outcomes were synthesized descriptively, including knee instability, secondary damage, growth disturbances, and return-to-sport (RTS) rates.

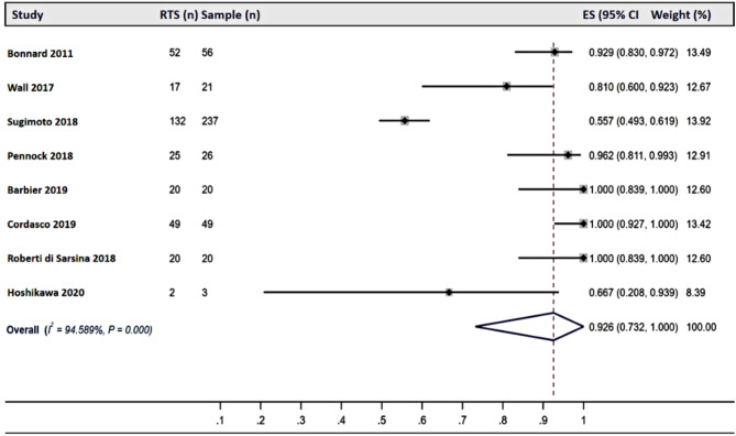
Results: A total of 7,507 publications were initially screened, with 105 studies involving 8294 children or adolescents satisfying the inclusion criteria. Conservative treatments were associated with elevated rates of knee instability (35.85-100%), secondary meniscal and cartilage damage, and long-term degenerative changes. Conversely, surgical interventions, including physeal-sparing and transphyseal techniques, demonstrated superior outcomes with lower instability rates (0-7.41%), fewer complications, and higher RTS rates (83.4-92.6%). Pooled RTS rates for conservative treatments were 44.0% (95%CI: 0.018-0.927), while physeal-sparing ACL reconstruction showed a pooled RTS rate of 92.6% (95%CI: 0.732-1.000) and transphyseal ACL reconstruction reported an RTS rate of 83.4% (95%CI: 0.722-0.924).

Conclusion: Conservative management of ACL injuries in children and adolescents is linked to higher rates of knee instability, secondary meniscal and cartilage damage, and degenerative changes. In contrast, surgical interventions, such as physeal-sparing and transphyseal techniques, yield better outcomes in knee stability, complications reduction, and RTS rates. However, risks such as graft rupture, repeat surgeries, and potential growth disturbances emphasize the importance of tailoring surgical approaches to the patient's growth stage and anatomical characteristics.

Abstract Image

Abstract Image

Abstract Image

儿童和青少年前交叉韧带损伤的处理:系统回顾。
背景:由于运动参与的增加,前交叉韧带(ACL)撕裂在儿童和青少年中越来越普遍。本系统综述旨在评估和总结儿童和青少年前交叉韧带损伤的处理策略。方法:对PubMed、Embase、Web of Science和Cochrane Library数据库进行综合检索,以确定报告儿童和青少年ACL损伤结果的研究。描述性地综合了主要结局,包括膝关节不稳定、继发性损伤、生长障碍和恢复运动(RTS)率。结果:最初共筛选了7507份出版物,其中105项研究涉及8294名儿童或青少年,符合纳入标准。保守治疗与膝关节不稳定(35.85-100%)、继发性半月板和软骨损伤以及长期退行性改变的发生率升高相关。相反,手术干预,包括物理保留和经骨骺技术,表现出较好的结果,不稳定率较低(0-7.41%),并发症较少,RTS率较高(83.4-92.6%)。保守治疗的合并RTS率为44.0% (95%CI: 0.018-0.927),保留ACL重建的合并RTS率为92.6% (95%CI: 0.732-1.000),经骨骺ACL重建的合并RTS率为83.4% (95%CI: 0.722-0.924)。结论:儿童和青少年前交叉韧带损伤的保守治疗与膝关节不稳定、继发性半月板和软骨损伤以及退行性改变的发生率较高有关。相比之下,手术干预,如肢体保留和经骨骺技术,在膝关节稳定性、并发症减少和RTS率方面效果更好。然而,移植物破裂、重复手术和潜在生长障碍等风险强调了根据患者生长阶段和解剖特征定制手术入路的重要性。
本文章由计算机程序翻译,如有差异,请以英文原文为准。
求助全文
约1分钟内获得全文 求助全文
来源期刊
Sports Medicine - Open
Sports Medicine - Open SPORT SCIENCES-
CiteScore
7.00
自引率
4.30%
发文量
142
审稿时长
13 weeks
×
引用
GB/T 7714-2015
复制
MLA
复制
APA
复制
导出至
BibTeX EndNote RefMan NoteFirst NoteExpress
×
提示
您的信息不完整,为了账户安全,请先补充。
现在去补充
×
提示
您因"违规操作"
具体请查看互助需知
我知道了
×
提示
确定
请完成安全验证×
copy
已复制链接
快去分享给好友吧!
我知道了
右上角分享
点击右上角分享
0
联系我们:info@booksci.cn Book学术提供免费学术资源搜索服务,方便国内外学者检索中英文文献。致力于提供最便捷和优质的服务体验。 Copyright © 2023 布克学术 All rights reserved.
京ICP备2023020795号-1
ghs 京公网安备 11010802042870号
Book学术文献互助
Book学术文献互助群
群 号:604180095
Book学术官方微信