Antimicrobial use in pig herds in Ireland: analysis of a national database (2019-2023).

IF 3.1 2区 农林科学 Q1 VETERINARY SCIENCES
Julie Bolton, Lorcan O'Neill, Caroline Garvan, Andrew W Byrne
{"title":"Antimicrobial use in pig herds in Ireland: analysis of a national database (2019-2023).","authors":"Julie Bolton, Lorcan O'Neill, Caroline Garvan, Andrew W Byrne","doi":"10.1186/s40813-025-00438-5","DOIUrl":null,"url":null,"abstract":"<p><strong>Background: </strong>Antimicrobial resistance (AMR) in human and animal pathogens remains a global One-Health threat. The associations between antimicrobial use (AMU) and the evolution and dissemination of AMR bacteria, and their resistance genes, highlight the importance of monitoring and regulating AMU. Here, we present an analysis of national monitoring data of AMU in pig facilities in Ireland from 2019 to 2023 via the recently established National AMU Database. AMU was measured using two metrics (mg per corrected population units (mg/PCU) and defined daily dose (DDDvet/PCU)). Temporal trend models were fit using regression models with population average effects given there were multiple observations per herd, while controlling for herd type and size.</p><p><strong>Results: </strong>Linear spline models revealed no significant change in overall usage from Q1-2019 until mid-2020, followed by a significant decrease in usage until mid-2022. There was evidence of increases in usage from mid-2022 until the end of the time series; the exact timing of the changes in trends varied by the AMU metric. A multinomial logit regression model suggested that there was a significantly decreased probability of premix use relative to oral administration from Q3-2021 through Q4-2023 (OR: 0.70 - 0.58; P < 0.03). The predicted probability that a high priority critically important antimicrobial (HPCIA) was used in a herd during a year-quarter declined by an average of 9% per quarter (OR: 0.91; 95% CI: 0.90-0.92; p < 0.001) over the study period. The mean decline in use of cephalosporin (3rd /4th generation), fluoroquinolone and macrolide (a former HPCIA) per quarter were estimated to be -12% (95% CI: -8- -15%), -9% (95% CI: -8- -10%) and - 4% (95% CI: -2- -4%), respectively.</p><p><strong>Conclusions: </strong>This exploration of AMU in pigs in Ireland revealed significant changes in overall usage, with both decreases and increases. There were declines in usage of HPCIA agents. Additionally, there was evidence of a significant decline in the use of oral premixes, coinciding with policy change. Further monitoring of AMU is essential to understand how the pig farming sector is responding to policy changes (e.g., increasing AMU in response to zinc oxide bans).</p>","PeriodicalId":20352,"journal":{"name":"Porcine Health Management","volume":"11 1","pages":"24"},"PeriodicalIF":3.1000,"publicationDate":"2025-05-02","publicationTypes":"Journal Article","fieldsOfStudy":null,"isOpenAccess":false,"openAccessPdf":"https://www.ncbi.nlm.nih.gov/pmc/articles/PMC12048958/pdf/","citationCount":"0","resultStr":null,"platform":"Semanticscholar","paperid":null,"PeriodicalName":"Porcine Health Management","FirstCategoryId":"97","ListUrlMain":"https://doi.org/10.1186/s40813-025-00438-5","RegionNum":2,"RegionCategory":"农林科学","ArticlePicture":[],"TitleCN":null,"AbstractTextCN":null,"PMCID":null,"EPubDate":"","PubModel":"","JCR":"Q1","JCRName":"VETERINARY SCIENCES","Score":null,"Total":0}
引用次数: 0

Abstract

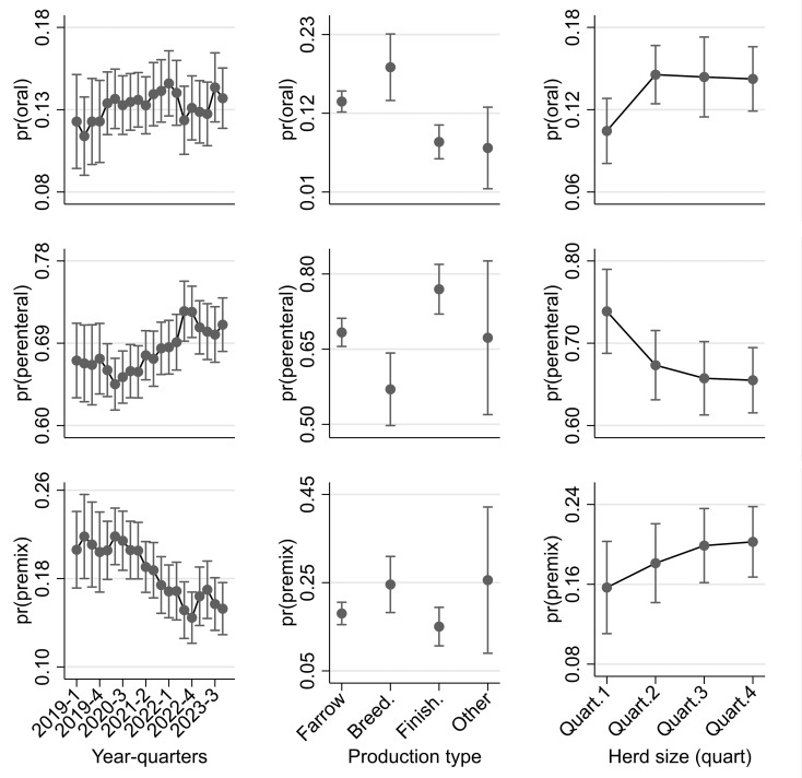
Background: Antimicrobial resistance (AMR) in human and animal pathogens remains a global One-Health threat. The associations between antimicrobial use (AMU) and the evolution and dissemination of AMR bacteria, and their resistance genes, highlight the importance of monitoring and regulating AMU. Here, we present an analysis of national monitoring data of AMU in pig facilities in Ireland from 2019 to 2023 via the recently established National AMU Database. AMU was measured using two metrics (mg per corrected population units (mg/PCU) and defined daily dose (DDDvet/PCU)). Temporal trend models were fit using regression models with population average effects given there were multiple observations per herd, while controlling for herd type and size.

Results: Linear spline models revealed no significant change in overall usage from Q1-2019 until mid-2020, followed by a significant decrease in usage until mid-2022. There was evidence of increases in usage from mid-2022 until the end of the time series; the exact timing of the changes in trends varied by the AMU metric. A multinomial logit regression model suggested that there was a significantly decreased probability of premix use relative to oral administration from Q3-2021 through Q4-2023 (OR: 0.70 - 0.58; P < 0.03). The predicted probability that a high priority critically important antimicrobial (HPCIA) was used in a herd during a year-quarter declined by an average of 9% per quarter (OR: 0.91; 95% CI: 0.90-0.92; p < 0.001) over the study period. The mean decline in use of cephalosporin (3rd /4th generation), fluoroquinolone and macrolide (a former HPCIA) per quarter were estimated to be -12% (95% CI: -8- -15%), -9% (95% CI: -8- -10%) and - 4% (95% CI: -2- -4%), respectively.

Conclusions: This exploration of AMU in pigs in Ireland revealed significant changes in overall usage, with both decreases and increases. There were declines in usage of HPCIA agents. Additionally, there was evidence of a significant decline in the use of oral premixes, coinciding with policy change. Further monitoring of AMU is essential to understand how the pig farming sector is responding to policy changes (e.g., increasing AMU in response to zinc oxide bans).

Abstract Image

Abstract Image

Abstract Image

爱尔兰猪群抗菌素使用:国家数据库分析(2019-2023)。
背景:人类和动物病原体的抗微生物药物耐药性(AMR)仍然是一个全球性的单一健康威胁。抗菌药物使用(AMU)与AMR细菌及其耐药基因的进化和传播之间的关系,突出了监测和调节AMU的重要性。在这里,我们通过最近建立的国家AMU数据库,分析了2019年至2023年爱尔兰养猪设施中AMU的国家监测数据。AMU的测量采用两个指标(mg/校正人群单位(mg/PCU)和定义日剂量(DDDvet/PCU))。在控制畜群类型和规模的情况下,采用具有种群平均效应的回归模型拟合时间趋势模型。结果:线性样条模型显示,从2019年第一季度到2020年中期,总体使用量没有显著变化,随后到2022年中期,使用量显著下降。有证据表明,从2022年中期到时间序列结束,使用量有所增加;趋势变化的确切时间因AMU度量而异。多项logit回归模型显示,从2021年第3季度到2023年第4季度,使用预混料的概率明显低于口服给药(OR: 0.70 - 0.58;结论:对爱尔兰猪的AMU的探索揭示了总体使用量的显着变化,既有减少也有增加。HPCIA药物的使用有所下降。此外,有证据表明口服预混料的使用显著下降,这与政策变化相一致。进一步监测日均生猪量对于了解养猪业如何应对政策变化(例如,为应对氧化锌禁令而增加日均生猪量)至关重要。
本文章由计算机程序翻译,如有差异,请以英文原文为准。
求助全文
约1分钟内获得全文 求助全文
来源期刊
Porcine Health Management
Porcine Health Management Veterinary-Food Animals
CiteScore
5.40
自引率
5.90%
发文量
49
审稿时长
14 weeks
期刊介绍: Porcine Health Management (PHM) is an open access peer-reviewed journal that aims to publish relevant, novel and revised information regarding all aspects of swine health medicine and production.
×
引用
GB/T 7714-2015
复制
MLA
复制
APA
复制
导出至
BibTeX EndNote RefMan NoteFirst NoteExpress
×
提示
您的信息不完整,为了账户安全,请先补充。
现在去补充
×
提示
您因"违规操作"
具体请查看互助需知
我知道了
×
提示
确定
请完成安全验证×
copy
已复制链接
快去分享给好友吧!
我知道了
右上角分享
点击右上角分享
0
联系我们:info@booksci.cn Book学术提供免费学术资源搜索服务,方便国内外学者检索中英文文献。致力于提供最便捷和优质的服务体验。 Copyright © 2023 布克学术 All rights reserved.
京ICP备2023020795号-1
ghs 京公网安备 11010802042870号
Book学术文献互助
Book学术文献互助群
群 号:604180095
Book学术官方微信