Testing the effectiveness of combined attention modification training with right dorso-lateral prefrontal cortex theta-burst stimulation on reducing levels of anxiety and attentional bias.

IF 1.6 4区 医学 Q4 NEUROSCIENCES
Maria Sikki, Katerina Konikkou, Nikos Kostantinou, Kostas A Fanti
{"title":"Testing the effectiveness of combined attention modification training with right dorso-lateral prefrontal cortex theta-burst stimulation on reducing levels of anxiety and attentional bias.","authors":"Maria Sikki, Katerina Konikkou, Nikos Kostantinou, Kostas A Fanti","doi":"10.1007/s00221-025-07040-9","DOIUrl":null,"url":null,"abstract":"<p><p>Neurostimulation techniques, such as continuous theta-burst stimulation (cTBS), over the dorsolateral prefrontal cortex (DLPFC) have been associated with improvements in anxiety symptoms and emotion processing. The aim of this feasibility study was the evaluation of the effectiveness of cTBS over the right DLPFC combined with Attention Modification Training (AMT) on reducing levels of anxiety and attentional bias. A 40s-cTBS session (real or sham) over the right DLPFC was administrated at 8 treatment sessions over a 2-week period, and each cTBS treatment was followed by computer-based AMT (real or control). Eighty-nine participants (Mage = 21.29, SD = 2.06, 50.56% females) differentiated on levels of anxiety were randomly assigned to the following treatment groups (i) cTBS and AMT, (ii) cTBS and control AMT, and (iii) sham cTBS and AMT. Findings suggested that cTBS combined with AMT treatment was not superior to sham cTBS and AMT on reducing self-reported anxiety symptoms. However, combined cTBS and AMT was associated with increased attention towards positive stimuli and increased gaze fixation in the mouth region of happy facial expressions. Current results provide promising evidence for the effectiveness of AMT in reducing anxiety symptoms and contribute to existing knowledge on how inhibitory stimulation over the right DLPFC combined with AMT may influence emotion processing. Present findings can inform future treatments designed to address the attention mechanisms leading to anxiety symptoms.</p>","PeriodicalId":12268,"journal":{"name":"Experimental Brain Research","volume":"243 6","pages":"137"},"PeriodicalIF":1.6000,"publicationDate":"2025-05-04","publicationTypes":"Journal Article","fieldsOfStudy":null,"isOpenAccess":false,"openAccessPdf":"https://www.ncbi.nlm.nih.gov/pmc/articles/PMC12050235/pdf/","citationCount":"0","resultStr":null,"platform":"Semanticscholar","paperid":null,"PeriodicalName":"Experimental Brain Research","FirstCategoryId":"3","ListUrlMain":"https://doi.org/10.1007/s00221-025-07040-9","RegionNum":4,"RegionCategory":"医学","ArticlePicture":[],"TitleCN":null,"AbstractTextCN":null,"PMCID":null,"EPubDate":"","PubModel":"","JCR":"Q4","JCRName":"NEUROSCIENCES","Score":null,"Total":0}
引用次数: 0

Abstract

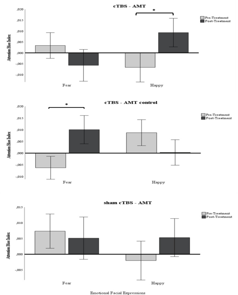
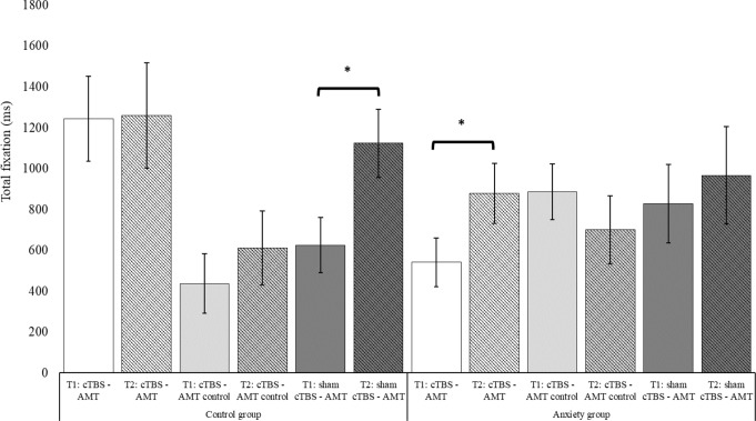
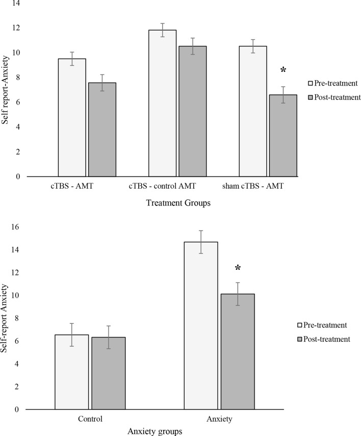
Neurostimulation techniques, such as continuous theta-burst stimulation (cTBS), over the dorsolateral prefrontal cortex (DLPFC) have been associated with improvements in anxiety symptoms and emotion processing. The aim of this feasibility study was the evaluation of the effectiveness of cTBS over the right DLPFC combined with Attention Modification Training (AMT) on reducing levels of anxiety and attentional bias. A 40s-cTBS session (real or sham) over the right DLPFC was administrated at 8 treatment sessions over a 2-week period, and each cTBS treatment was followed by computer-based AMT (real or control). Eighty-nine participants (Mage = 21.29, SD = 2.06, 50.56% females) differentiated on levels of anxiety were randomly assigned to the following treatment groups (i) cTBS and AMT, (ii) cTBS and control AMT, and (iii) sham cTBS and AMT. Findings suggested that cTBS combined with AMT treatment was not superior to sham cTBS and AMT on reducing self-reported anxiety symptoms. However, combined cTBS and AMT was associated with increased attention towards positive stimuli and increased gaze fixation in the mouth region of happy facial expressions. Current results provide promising evidence for the effectiveness of AMT in reducing anxiety symptoms and contribute to existing knowledge on how inhibitory stimulation over the right DLPFC combined with AMT may influence emotion processing. Present findings can inform future treatments designed to address the attention mechanisms leading to anxiety symptoms.

Abstract Image

Abstract Image

Abstract Image

注意修饰训练联合右背外侧前额叶皮层θ -爆发刺激对降低焦虑和注意偏倚水平的有效性检验。
神经刺激技术,如连续脉冲刺激(cTBS),在背外侧前额叶皮层(DLPFC)上,与焦虑症状和情绪处理的改善有关。本可行性研究的目的是评估cTBS联合注意修饰训练(AMT)在减少焦虑和注意偏倚水平上的有效性。在2周的时间内,在右侧DLPFC上进行40秒的cTBS(真实或虚假)治疗,分8次治疗,每次cTBS治疗后进行基于计算机的AMT(真实或对照)。89名焦虑水平不同的参与者(Mage = 21.29, SD = 2.06, 50.56%为女性)被随机分配到以下治疗组(i) cTBS和AMT, (ii) cTBS和对照AMT, (iii)假cTBS和AMT。研究结果表明,cTBS联合AMT治疗在减轻自我报告的焦虑症状方面并不优于假cTBS和AMT治疗。然而,联合cTBS和AMT与对积极刺激的注意力增加和对快乐面部表情的嘴部注视的增加有关。目前的结果为AMT在减轻焦虑症状方面的有效性提供了有希望的证据,并有助于现有的关于对右侧DLPFC的抑制性刺激联合AMT如何影响情绪加工的知识。目前的研究结果可以为未来的治疗提供信息,以解决导致焦虑症状的注意力机制。
本文章由计算机程序翻译,如有差异,请以英文原文为准。
求助全文
约1分钟内获得全文 求助全文
来源期刊
CiteScore
3.60
自引率
5.00%
发文量
228
审稿时长
1 months
期刊介绍: Founded in 1966, Experimental Brain Research publishes original contributions on many aspects of experimental research of the central and peripheral nervous system. The focus is on molecular, physiology, behavior, neurochemistry, developmental, cellular and molecular neurobiology, and experimental pathology relevant to general problems of cerebral function. The journal publishes original papers, reviews, and mini-reviews.
×
引用
GB/T 7714-2015
复制
MLA
复制
APA
复制
导出至
BibTeX EndNote RefMan NoteFirst NoteExpress
×
提示
您的信息不完整,为了账户安全,请先补充。
现在去补充
×
提示
您因"违规操作"
具体请查看互助需知
我知道了
×
提示
确定
请完成安全验证×
copy
已复制链接
快去分享给好友吧!
我知道了
右上角分享
点击右上角分享
0
联系我们:info@booksci.cn Book学术提供免费学术资源搜索服务,方便国内外学者检索中英文文献。致力于提供最便捷和优质的服务体验。 Copyright © 2023 布克学术 All rights reserved.
京ICP备2023020795号-1
ghs 京公网安备 11010802042870号
Book学术文献互助
Book学术文献互助群
群 号:604180095
Book学术官方微信