Pharmacokinetics and Safety of Ceftazidime-Avibactam in Neonates and Young Infants: A Phase 2a, Multicenter Prospective Trial.

IF 2.6 4区 医学 Q3 INFECTIOUS DISEASES
John Bradley, Emmanuel Roilides, Margaret Tawadrous, Jean Li Yan, Elena Soto, Gregory G Stone, Shweta Kamat, Paurus Irani, Richard England
{"title":"Pharmacokinetics and Safety of Ceftazidime-Avibactam in Neonates and Young Infants: A Phase 2a, Multicenter Prospective Trial.","authors":"John Bradley, Emmanuel Roilides, Margaret Tawadrous, Jean Li Yan, Elena Soto, Gregory G Stone, Shweta Kamat, Paurus Irani, Richard England","doi":"10.1093/jpids/piaf028","DOIUrl":null,"url":null,"abstract":"<p><strong>Background: </strong>This phase 2a study evaluated pharmacokinetics and safety of ceftazidime-avibactam (CAZ/AVI; combination dosed as fixed 4:1 ratio) in neonates and young infants with suspected/confirmed infections due to Gram-negative pathogens requiring intravenous antibiotics.</p><p><strong>Methods: </strong>Hospitalized neonates and infants (gestational age ≥ 26 weeks to < 3 months), enrolled sequentially into 3 age cohorts, received CAZ/AVI single dose (Part A) or multiple dose every 8 h (Part B) by 2-h intravenous infusions. Infants > 28 days (Cohort 1) received CAZ/AVI 37.5 mg/kg/dose (CAZ 30 mg/kg and AVI 7.5 mg/kg). Full-term neonates ≤ 28 days (Cohort 2) and preterm neonates ≤ 28 days (Cohort 3) received 25 mg/kg/dose (CAZ 20 mg/kg and AVI 5 mg/kg). Pharmacokinetics, safety, and clinical and microbiological outcomes (Part B only) were assessed descriptively.</p><p><strong>Results: </strong>Forty-six patients received CAZ/AVI, 25 in Part A and 21 in Part B. Sepsis (39.1%) and urinary tract infection (15.2%) were the predominant diagnoses. Observed drug plasma-concentration time profiles were generally similar across cohorts. Overall, 23 patients (50%) had ≥ 1 adverse event (AE), 8 patients (17.4%) had ≥ 1 serious AE (SAE), and 2 patients (4.3%) died; no SAE or death was treatment related. In Part B, ≥ 80% of patients had favorable clinical and microbiological responses.</p><p><strong>Conclusions: </strong>Plasma exposures after single and multiple CAZ/AVI doses in neonates and young infants < 3 months old (37.5 [30/7.5] mg/kg/dose for > 28 days; 25 [20/5] mg/kg/dose for ≤ 28 days) were similar to approved doses for older children. The safety profile of CAZ/AVI was as expected based on previous observations. Study funded by Pfizer. Trial registration: NCT04126031.</p>","PeriodicalId":17374,"journal":{"name":"Journal of the Pediatric Infectious Diseases Society","volume":" ","pages":""},"PeriodicalIF":2.6000,"publicationDate":"2025-05-13","publicationTypes":"Journal Article","fieldsOfStudy":null,"isOpenAccess":false,"openAccessPdf":"https://www.ncbi.nlm.nih.gov/pmc/articles/PMC12117184/pdf/","citationCount":"0","resultStr":null,"platform":"Semanticscholar","paperid":null,"PeriodicalName":"Journal of the Pediatric Infectious Diseases Society","FirstCategoryId":"3","ListUrlMain":"https://doi.org/10.1093/jpids/piaf028","RegionNum":4,"RegionCategory":"医学","ArticlePicture":[],"TitleCN":null,"AbstractTextCN":null,"PMCID":null,"EPubDate":"","PubModel":"","JCR":"Q3","JCRName":"INFECTIOUS DISEASES","Score":null,"Total":0}
引用次数: 0

Abstract

Background: This phase 2a study evaluated pharmacokinetics and safety of ceftazidime-avibactam (CAZ/AVI; combination dosed as fixed 4:1 ratio) in neonates and young infants with suspected/confirmed infections due to Gram-negative pathogens requiring intravenous antibiotics.

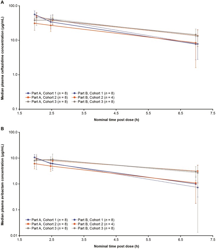
Methods: Hospitalized neonates and infants (gestational age ≥ 26 weeks to < 3 months), enrolled sequentially into 3 age cohorts, received CAZ/AVI single dose (Part A) or multiple dose every 8 h (Part B) by 2-h intravenous infusions. Infants > 28 days (Cohort 1) received CAZ/AVI 37.5 mg/kg/dose (CAZ 30 mg/kg and AVI 7.5 mg/kg). Full-term neonates ≤ 28 days (Cohort 2) and preterm neonates ≤ 28 days (Cohort 3) received 25 mg/kg/dose (CAZ 20 mg/kg and AVI 5 mg/kg). Pharmacokinetics, safety, and clinical and microbiological outcomes (Part B only) were assessed descriptively.

Results: Forty-six patients received CAZ/AVI, 25 in Part A and 21 in Part B. Sepsis (39.1%) and urinary tract infection (15.2%) were the predominant diagnoses. Observed drug plasma-concentration time profiles were generally similar across cohorts. Overall, 23 patients (50%) had ≥ 1 adverse event (AE), 8 patients (17.4%) had ≥ 1 serious AE (SAE), and 2 patients (4.3%) died; no SAE or death was treatment related. In Part B, ≥ 80% of patients had favorable clinical and microbiological responses.

Conclusions: Plasma exposures after single and multiple CAZ/AVI doses in neonates and young infants < 3 months old (37.5 [30/7.5] mg/kg/dose for > 28 days; 25 [20/5] mg/kg/dose for ≤ 28 days) were similar to approved doses for older children. The safety profile of CAZ/AVI was as expected based on previous observations. Study funded by Pfizer. Trial registration: NCT04126031.

Abstract Image

Abstract Image

头孢他啶-阿维巴坦在新生儿和幼儿中的药代动力学和安全性:一项2a期多中心前瞻性试验
背景:这项2a期研究评估了头孢他啶-阿维巴坦(CAZ/AVI;以固定的4:1比例组合剂量)用于怀疑/确认因革兰氏阴性病原体感染而需要静脉注射抗生素的新生儿和年幼婴儿。方法:住院新生儿和婴儿(胎龄≥26周~ 28天)接受CAZ/AVI 37.5 mg/kg/剂量(CAZ 30 mg/kg和AVI 7.5 mg/kg)。≤28天的足月新生儿(队列2)和≤28天的早产儿(队列3)给予25 mg/kg/剂量(CAZ 20 mg/kg, AVI 5 mg/kg)。描述性地评估了药代动力学、安全性、临床和微生物学结果(仅B部分)。结果:CAZ/AVI患者46例,A部分25例,b部分21例,主要诊断为败血症(39.1%)和尿路感染(15.2%)。观察到的药物血浆浓度时间分布在各个队列中大致相似。总体而言,23例(50%)患者发生≥1次不良事件(AE), 8例(17.4%)患者发生≥1次严重AE (SAE), 2例(4.3%)患者死亡;没有与治疗相关的SAE或死亡。在B部分,≥80%的患者有良好的临床和微生物反应。结论:单次和多次给药CAZ/AVI对新生儿和幼龄婴儿28天的血浆暴露;25 [20/5] mg/kg/剂量≤28天)与大龄儿童的批准剂量相似。根据先前的观察,CAZ/AVI的安全性符合预期。
本文章由计算机程序翻译,如有差异,请以英文原文为准。
求助全文
约1分钟内获得全文 求助全文
来源期刊
Journal of the Pediatric Infectious Diseases Society
Journal of the Pediatric Infectious Diseases Society Medicine-Pediatrics, Perinatology and Child Health
CiteScore
6.70
自引率
0.00%
发文量
179
期刊介绍: The Journal of the Pediatric Infectious Diseases Society (JPIDS), the official journal of the Pediatric Infectious Diseases Society, is dedicated to perinatal, childhood, and adolescent infectious diseases. The journal is a high-quality source of original research articles, clinical trial reports, guidelines, and topical reviews, with particular attention to the interests and needs of the global pediatric infectious diseases communities.
×
引用
GB/T 7714-2015
复制
MLA
复制
APA
复制
导出至
BibTeX EndNote RefMan NoteFirst NoteExpress
×
提示
您的信息不完整,为了账户安全,请先补充。
现在去补充
×
提示
您因"违规操作"
具体请查看互助需知
我知道了
×
提示
确定
请完成安全验证×
copy
已复制链接
快去分享给好友吧!
我知道了
右上角分享
点击右上角分享
0
联系我们:info@booksci.cn Book学术提供免费学术资源搜索服务,方便国内外学者检索中英文文献。致力于提供最便捷和优质的服务体验。 Copyright © 2023 布克学术 All rights reserved.
京ICP备2023020795号-1
ghs 京公网安备 11010802042870号
Book学术文献互助
Book学术文献互助群
群 号:604180095
Book学术官方微信