Analysing the translatability of macular hole size measurements between high-density horizontal and radial OCT scan patterns.

IF 2.2 Q2 OPHTHALMOLOGY
Navid Johannigmann-Malek, Leonard Coulibaly, Sofia Groselli, Katharina Gabka, Peter Charbel Issa, Carmen Baumann
{"title":"Analysing the translatability of macular hole size measurements between high-density horizontal and radial OCT scan patterns.","authors":"Navid Johannigmann-Malek, Leonard Coulibaly, Sofia Groselli, Katharina Gabka, Peter Charbel Issa, Carmen Baumann","doi":"10.1136/bmjophth-2024-002131","DOIUrl":null,"url":null,"abstract":"<p><strong>Objective: </strong>To assess the interchangeability of minimum linear diameter (MLD) macular hole (MH) size measurements in high-density horizontal and radial scan modes in optical coherence tomography (OCT).</p><p><strong>Methods and analysis: </strong>60 patients with a MH had repeat high-density OCT volume scans in a horizontal (30 µm interscan-spacing) and a radial (angular 3.75° interscan-spacing) mode, and the MLD was measured by five raters.</p><p><strong>Results: </strong>There were no significant differences in the MLD measurements within the horizontal and the radial modes across repeat measurements of each rater in volume scan 1 (all p≥0.14 and p≥0.28, respectively), between volume scans 1 and 2 (all p≥0.14 and p≥0.69), among the raters (p=0.70 and p=0.60), and using all MLD measurements obtained in this study between primary and repeat measurements in volume scan 1 (p=0.10 and p=0.74) and between measurements obtained in volume scan 1 and 2 (p=0.21 and p=0.90).There was a statistically significant difference of -10.05 µm between the mean MLD of all measurements in the horizontal (n=900) and in the radial (n=900) mode (427.91 (±187.01) vs 437.97 (±184.93) µm; p<0.001). However, the variability of these differences around the mean MLD was large (95% limits of agreement -77.31 to 57.21 µm). The mean difference between all horizontal and all radial MLD measurements in a MH was for MHs that had their widest MLD within 15° of the horizontal, vertical and diagonal meridians 0.77 (±13.88) µm, -34.43 (±55.22) µm and -10.39 (± 34.62) µm, respectively.</p><p><strong>Conclusions: </strong>Horizontal scans systematically underestimate the maximum MLD if located vertically or diagonally; however, they have less intra-rater and inter-rater and inter-scan variability in MLD measurements as compared with radial scans. Therefore, the two scan modes are not interchangeable but rather complement each other. These results may be limited to the MLD range analysed (125-924 µm).</p>","PeriodicalId":9286,"journal":{"name":"BMJ Open Ophthalmology","volume":"10 1","pages":""},"PeriodicalIF":2.2000,"publicationDate":"2025-05-08","publicationTypes":"Journal Article","fieldsOfStudy":null,"isOpenAccess":false,"openAccessPdf":"https://www.ncbi.nlm.nih.gov/pmc/articles/PMC12067842/pdf/","citationCount":"0","resultStr":null,"platform":"Semanticscholar","paperid":null,"PeriodicalName":"BMJ Open Ophthalmology","FirstCategoryId":"1085","ListUrlMain":"https://doi.org/10.1136/bmjophth-2024-002131","RegionNum":0,"RegionCategory":null,"ArticlePicture":[],"TitleCN":null,"AbstractTextCN":null,"PMCID":null,"EPubDate":"","PubModel":"","JCR":"Q2","JCRName":"OPHTHALMOLOGY","Score":null,"Total":0}
引用次数: 0

Abstract

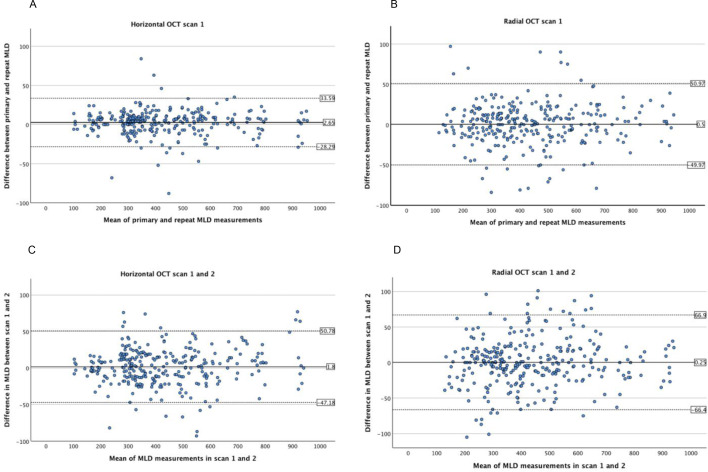
Objective: To assess the interchangeability of minimum linear diameter (MLD) macular hole (MH) size measurements in high-density horizontal and radial scan modes in optical coherence tomography (OCT).

Methods and analysis: 60 patients with a MH had repeat high-density OCT volume scans in a horizontal (30 µm interscan-spacing) and a radial (angular 3.75° interscan-spacing) mode, and the MLD was measured by five raters.

Results: There were no significant differences in the MLD measurements within the horizontal and the radial modes across repeat measurements of each rater in volume scan 1 (all p≥0.14 and p≥0.28, respectively), between volume scans 1 and 2 (all p≥0.14 and p≥0.69), among the raters (p=0.70 and p=0.60), and using all MLD measurements obtained in this study between primary and repeat measurements in volume scan 1 (p=0.10 and p=0.74) and between measurements obtained in volume scan 1 and 2 (p=0.21 and p=0.90).There was a statistically significant difference of -10.05 µm between the mean MLD of all measurements in the horizontal (n=900) and in the radial (n=900) mode (427.91 (±187.01) vs 437.97 (±184.93) µm; p<0.001). However, the variability of these differences around the mean MLD was large (95% limits of agreement -77.31 to 57.21 µm). The mean difference between all horizontal and all radial MLD measurements in a MH was for MHs that had their widest MLD within 15° of the horizontal, vertical and diagonal meridians 0.77 (±13.88) µm, -34.43 (±55.22) µm and -10.39 (± 34.62) µm, respectively.

Conclusions: Horizontal scans systematically underestimate the maximum MLD if located vertically or diagonally; however, they have less intra-rater and inter-rater and inter-scan variability in MLD measurements as compared with radial scans. Therefore, the two scan modes are not interchangeable but rather complement each other. These results may be limited to the MLD range analysed (125-924 µm).

Abstract Image

Abstract Image

Abstract Image

分析高密度水平与径向OCT扫描模式黄斑孔尺寸测量的可译性。
目的:评价光学相干断层扫描(OCT)高密度水平和径向扫描模式下最小线径(MLD)黄斑孔(MH)尺寸测量的互换性。方法和分析:60例MH患者在水平(30µm扫描间隔)和径向(角度3.75°扫描间隔)模式下重复高密度OCT体积扫描,并由5个评分者测量MLD。结果:在容积扫描1 (p≥0.14和p≥0.28)、容积扫描1和容积扫描2 (p≥0.14和p≥0.69)、评分者之间(p=0.70和p=0.60),在水平和径向模式下,每位评分者的MLD测量值无显著差异。并使用本研究中获得的所有MLD测量值,在容积扫描1的初次测量和重复测量之间(p=0.10和p=0.74),以及在容积扫描1和2的测量之间(p=0.21和p=0.90)。在水平(n=900)和径向(n=900)模式下,所有测量值的平均MLD(427.91(±187.01)vs 437.97(±184.93)µm,差异有统计学意义-10.05µm;结论:水平扫描系统低估了垂直或对角定位的最大MLD;然而,与径向扫描相比,它们在MLD测量中具有较小的帧内、帧间和扫描间变异性。因此,这两种扫描方式不能互换,而是相互补充。这些结果可能仅限于分析的MLD范围(125-924µm)。
本文章由计算机程序翻译,如有差异,请以英文原文为准。
求助全文
约1分钟内获得全文 求助全文
来源期刊
BMJ Open Ophthalmology
BMJ Open Ophthalmology OPHTHALMOLOGY-
CiteScore
3.40
自引率
4.20%
发文量
104
审稿时长
20 weeks
×
引用
GB/T 7714-2015
复制
MLA
复制
APA
复制
导出至
BibTeX EndNote RefMan NoteFirst NoteExpress
×
提示
您的信息不完整,为了账户安全,请先补充。
现在去补充
×
提示
您因"违规操作"
具体请查看互助需知
我知道了
×
提示
确定
请完成安全验证×
copy
已复制链接
快去分享给好友吧!
我知道了
右上角分享
点击右上角分享
0
联系我们:info@booksci.cn Book学术提供免费学术资源搜索服务,方便国内外学者检索中英文文献。致力于提供最便捷和优质的服务体验。 Copyright © 2023 布克学术 All rights reserved.
京ICP备2023020795号-1
ghs 京公网安备 11010802042870号
Book学术文献互助
Book学术文献互助群
群 号:604180095
Book学术官方微信