Species-Specific Hepatic Uptake of [64Cu]Cu-EOB-NOTA, A Newly Designed Hepatospecific PET Agent.

IF 2.5 4区 医学 Q2 RADIOLOGY, NUCLEAR MEDICINE & MEDICAL IMAGING
Molecular Imaging and Biology Pub Date : 2025-06-01 Epub Date: 2025-04-30 DOI:10.1007/s11307-025-02009-0
Jinda Fan, Bijja Janaki Ramulu, Christiane L Mallett, Legend E Kenney, Nathan Kauffman, Tapas Bhattacharyya, Maryam Sabbaghan, Satyendra Singh, Kurt R Zinn, Erik M Shapiro
{"title":"Species-Specific Hepatic Uptake of [<sup>64</sup>Cu]Cu-EOB-NOTA, A Newly Designed Hepatospecific PET Agent.","authors":"Jinda Fan, Bijja Janaki Ramulu, Christiane L Mallett, Legend E Kenney, Nathan Kauffman, Tapas Bhattacharyya, Maryam Sabbaghan, Satyendra Singh, Kurt R Zinn, Erik M Shapiro","doi":"10.1007/s11307-025-02009-0","DOIUrl":null,"url":null,"abstract":"<p><strong>Purpose: </strong>Measuring hepatic flux rates of transportable substrates has the potential for assessing liver function. PET imaging of a PET-enabled substrate may provide a more straightforward measurement of time-dependent substrate concentration through the liver than MRI using an MRI contrast agent. Here we synthesized and evaluated the hepatobiliary transport of a new hepatospecific PET agent designed for stable Cu<sup>2+</sup> chelation and transport by hepatic OATPs, [<sup>64</sup>Cu]Cu-EOB-NOTA.</p><p><strong>Procedures: </strong>EOB-NOTA was synthesized, its two enantiomers separated by chiral HPLC, and individually radiolabeled with [<sup>64</sup>Cu]Cu<sup>2+</sup>. Cocktails of each enantiomer of [<sup>64</sup>Cu]Cu-EOB-NOTA and Gd-EOB-DTPA were formulated for simultaneous PET/MRI imaging of hepatic flux by PET and MRI. Two mouse models were evaluated: wild-type mice and mice expressing only human hepatic OATPs.</p><p><strong>Results: </strong>In wild-type mice, [<sup>64</sup>Cu]Cu-EOB-NOTA hepatic influx and efflux was high, but slower compared to Gd-EOB-DTPA. Neither enantiomer of [<sup>64</sup>Cu]Cu-EOB-NOTA exhibited detectable transport into the liver in mice expressing human OATPs. This was validated by waste clearance studies and in vitro uptake assays in cells engineered to express rodent and human OATPs.</p><p><strong>Conclusion: </strong>[<sup>64</sup>Cu]Cu-EOB-NOTA exhibited no detectable hepatic uptake by transgenic mice expressing human hepatic transporters. This finding was surprising given the efficient transport of the structurally similar metal chelate Gd-EOB-DTPA, and underscores challenges in the design of imaging molecular probes, including poor predictability for hepatic transport, and the value of validating new agents in mice expressing human hepatic transporters.</p>","PeriodicalId":18760,"journal":{"name":"Molecular Imaging and Biology","volume":" ","pages":"305-312"},"PeriodicalIF":2.5000,"publicationDate":"2025-06-01","publicationTypes":"Journal Article","fieldsOfStudy":null,"isOpenAccess":false,"openAccessPdf":"https://www.ncbi.nlm.nih.gov/pmc/articles/PMC12162674/pdf/","citationCount":"0","resultStr":null,"platform":"Semanticscholar","paperid":null,"PeriodicalName":"Molecular Imaging and Biology","FirstCategoryId":"3","ListUrlMain":"https://doi.org/10.1007/s11307-025-02009-0","RegionNum":4,"RegionCategory":"医学","ArticlePicture":[],"TitleCN":null,"AbstractTextCN":null,"PMCID":null,"EPubDate":"2025/4/30 0:00:00","PubModel":"Epub","JCR":"Q2","JCRName":"RADIOLOGY, NUCLEAR MEDICINE & MEDICAL IMAGING","Score":null,"Total":0}
引用次数: 0

Abstract

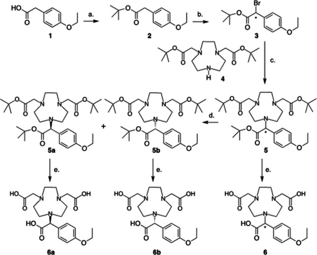
Purpose: Measuring hepatic flux rates of transportable substrates has the potential for assessing liver function. PET imaging of a PET-enabled substrate may provide a more straightforward measurement of time-dependent substrate concentration through the liver than MRI using an MRI contrast agent. Here we synthesized and evaluated the hepatobiliary transport of a new hepatospecific PET agent designed for stable Cu2+ chelation and transport by hepatic OATPs, [64Cu]Cu-EOB-NOTA.

Procedures: EOB-NOTA was synthesized, its two enantiomers separated by chiral HPLC, and individually radiolabeled with [64Cu]Cu2+. Cocktails of each enantiomer of [64Cu]Cu-EOB-NOTA and Gd-EOB-DTPA were formulated for simultaneous PET/MRI imaging of hepatic flux by PET and MRI. Two mouse models were evaluated: wild-type mice and mice expressing only human hepatic OATPs.

Results: In wild-type mice, [64Cu]Cu-EOB-NOTA hepatic influx and efflux was high, but slower compared to Gd-EOB-DTPA. Neither enantiomer of [64Cu]Cu-EOB-NOTA exhibited detectable transport into the liver in mice expressing human OATPs. This was validated by waste clearance studies and in vitro uptake assays in cells engineered to express rodent and human OATPs.

Conclusion: [64Cu]Cu-EOB-NOTA exhibited no detectable hepatic uptake by transgenic mice expressing human hepatic transporters. This finding was surprising given the efficient transport of the structurally similar metal chelate Gd-EOB-DTPA, and underscores challenges in the design of imaging molecular probes, including poor predictability for hepatic transport, and the value of validating new agents in mice expressing human hepatic transporters.

Abstract Image

Abstract Image

Abstract Image

新型肝特异性PET剂[64Cu]Cu-EOB-NOTA的肝脏吸收
目的:测量可运输底物的肝通量率具有评估肝功能的潜力。与使用MRI造影剂的MRI相比,PET激活底物的PET成像可以通过肝脏提供更直接的时间依赖性底物浓度测量。在这里,我们合成并评估了一种新的肝特异性PET剂的肝胆运输,[64Cu]Cu-EOB-NOTA被设计用于稳定的Cu2+螯合和肝脏oops的运输。步骤:合成EOB-NOTA,用手性高效液相色谱法分离其两个对映体,分别用[64Cu]Cu2+进行放射性标记。配制[64Cu]Cu-EOB-NOTA和Gd-EOB-DTPA各对映体鸡尾酒,通过PET和MRI同时对肝通量进行PET/MRI成像。评估了两种小鼠模型:野生型小鼠和仅表达人肝ooatp的小鼠。结果:在野生型小鼠中,[64Cu]Cu-EOB-NOTA肝脏内流和外排较高,但较Gd-EOB-DTPA慢。[64Cu]Cu-EOB-NOTA的两种对映体在表达人oops的小鼠中均未表现出可检测的肝脏转运。废物清除研究和体外摄取实验证实了这一点,这些实验是在表达啮齿动物和人类ooatp的细胞中进行的。结论:[64Cu]Cu-EOB-NOTA在表达人肝脏转运蛋白的转基因小鼠中未被肝脏摄取。考虑到结构相似的金属螯合物Gd-EOB-DTPA的有效运输,这一发现令人惊讶,并强调了成像分子探针设计中的挑战,包括肝脏运输的可预测性较差,以及在表达人类肝脏转运蛋白的小鼠中验证新药的价值。
本文章由计算机程序翻译,如有差异,请以英文原文为准。
求助全文
约1分钟内获得全文 求助全文
来源期刊
CiteScore
6.90
自引率
3.20%
发文量
95
审稿时长
3 months
期刊介绍: Molecular Imaging and Biology (MIB) invites original contributions (research articles, review articles, commentaries, etc.) on the utilization of molecular imaging (i.e., nuclear imaging, optical imaging, autoradiography and pathology, MRI, MPI, ultrasound imaging, radiomics/genomics etc.) to investigate questions related to biology and health. The objective of MIB is to provide a forum to the discovery of molecular mechanisms of disease through the use of imaging techniques. We aim to investigate the biological nature of disease in patients and establish new molecular imaging diagnostic and therapy procedures. Some areas that are covered are: Preclinical and clinical imaging of macromolecular targets (e.g., genes, receptors, enzymes) involved in significant biological processes. The design, characterization, and study of new molecular imaging probes and contrast agents for the functional interrogation of macromolecular targets. Development and evaluation of imaging systems including instrumentation, image reconstruction algorithms, image analysis, and display. Development of molecular assay approaches leading to quantification of the biological information obtained in molecular imaging. Study of in vivo animal models of disease for the development of new molecular diagnostics and therapeutics. Extension of in vitro and in vivo discoveries using disease models, into well designed clinical research investigations. Clinical molecular imaging involving clinical investigations, clinical trials and medical management or cost-effectiveness studies.
×
引用
GB/T 7714-2015
复制
MLA
复制
APA
复制
导出至
BibTeX EndNote RefMan NoteFirst NoteExpress
×
提示
您的信息不完整,为了账户安全,请先补充。
现在去补充
×
提示
您因"违规操作"
具体请查看互助需知
我知道了
×
提示
确定
请完成安全验证×
copy
已复制链接
快去分享给好友吧!
我知道了
右上角分享
点击右上角分享
0
联系我们:info@booksci.cn Book学术提供免费学术资源搜索服务,方便国内外学者检索中英文文献。致力于提供最便捷和优质的服务体验。 Copyright © 2023 布克学术 All rights reserved.
京ICP备2023020795号-1
ghs 京公网安备 11010802042870号
Book学术文献互助
Book学术文献互助群
群 号:604180095
Book学术官方微信