Matching Habitat Choice and the Evolution of a Species' Range.

IF 2.2 4区 数学 Q2 BIOLOGY
Farshad Shirani, Judith R Miller
{"title":"Matching Habitat Choice and the Evolution of a Species' Range.","authors":"Farshad Shirani, Judith R Miller","doi":"10.1007/s11538-025-01445-x","DOIUrl":null,"url":null,"abstract":"<p><p>Natural selection is not the only mechanism that promotes adaptation of an organism to its environment. Another mechanism is matching habitat choice, in which individuals sense and disperse toward habitat best suited to their phenotype. This can in principle facilitate rapid adaptation, enhance range expansion, and promote genetic differentiation, reproductive isolation, and speciation. However, empirical evidence that confirms the evolution of matching habitat choice in nature is limited. Here we obtain theoretical evidence that phenotype-optimal dispersal, a particular form of matching habitat choice, is likely to evolve only in the presence of a steep environmental gradient. Such a gradient may be steeper than the gradient the majority of species typically experience in nature, adding to the collection of possible explanations for the scarcity of evidence for matching habitat choice. We draw this conclusion from numerical solutions of a system of deterministic partial differential equations for a population's density along with the mean and variance of a fitness-related quantitative phenotypic trait such as body size. In steep gradients, we find that phenotype-optimal dispersal facilitates rapid adaptation on single-generation time scales, reduces within-population trait variation, increases range expansion speed, and enhances the chance of survival in rapidly changing environments. Moreover, it creates a directed gene flow that compensates for the maladaptive core-to-edge effects of random gene flow caused by random movements. These results suggest that adaptive gene flow to range margins, together with substantially reduced trait variation at central populations, may be hallmarks of phenotype-optimal dispersal in natural populations. Further, slowly-growing species under strong natural selection may particularly benefit from evolving phenotype-optimal dispersal.</p>","PeriodicalId":9372,"journal":{"name":"Bulletin of Mathematical Biology","volume":"87 6","pages":"70"},"PeriodicalIF":2.2000,"publicationDate":"2025-05-07","publicationTypes":"Journal Article","fieldsOfStudy":null,"isOpenAccess":false,"openAccessPdf":"https://www.ncbi.nlm.nih.gov/pmc/articles/PMC12058903/pdf/","citationCount":"0","resultStr":null,"platform":"Semanticscholar","paperid":null,"PeriodicalName":"Bulletin of Mathematical Biology","FirstCategoryId":"100","ListUrlMain":"https://doi.org/10.1007/s11538-025-01445-x","RegionNum":4,"RegionCategory":"数学","ArticlePicture":[],"TitleCN":null,"AbstractTextCN":null,"PMCID":null,"EPubDate":"","PubModel":"","JCR":"Q2","JCRName":"BIOLOGY","Score":null,"Total":0}
引用次数: 0

Abstract

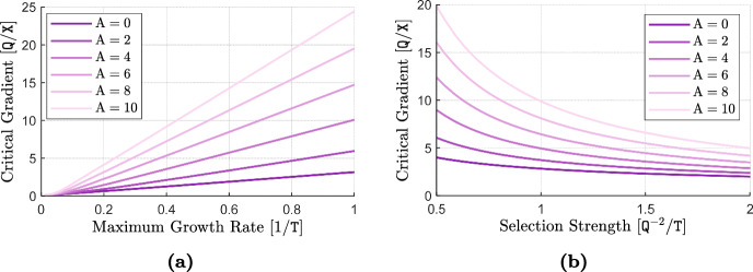
Natural selection is not the only mechanism that promotes adaptation of an organism to its environment. Another mechanism is matching habitat choice, in which individuals sense and disperse toward habitat best suited to their phenotype. This can in principle facilitate rapid adaptation, enhance range expansion, and promote genetic differentiation, reproductive isolation, and speciation. However, empirical evidence that confirms the evolution of matching habitat choice in nature is limited. Here we obtain theoretical evidence that phenotype-optimal dispersal, a particular form of matching habitat choice, is likely to evolve only in the presence of a steep environmental gradient. Such a gradient may be steeper than the gradient the majority of species typically experience in nature, adding to the collection of possible explanations for the scarcity of evidence for matching habitat choice. We draw this conclusion from numerical solutions of a system of deterministic partial differential equations for a population's density along with the mean and variance of a fitness-related quantitative phenotypic trait such as body size. In steep gradients, we find that phenotype-optimal dispersal facilitates rapid adaptation on single-generation time scales, reduces within-population trait variation, increases range expansion speed, and enhances the chance of survival in rapidly changing environments. Moreover, it creates a directed gene flow that compensates for the maladaptive core-to-edge effects of random gene flow caused by random movements. These results suggest that adaptive gene flow to range margins, together with substantially reduced trait variation at central populations, may be hallmarks of phenotype-optimal dispersal in natural populations. Further, slowly-growing species under strong natural selection may particularly benefit from evolving phenotype-optimal dispersal.

Abstract Image

Abstract Image

Abstract Image

匹配生境选择与物种范围的进化。
自然选择并不是促进生物体适应环境的唯一机制。另一种机制是匹配栖息地选择,在这种机制中,个体感知并分散到最适合其表型的栖息地。原则上,这可以促进快速适应,扩大范围,促进遗传分化,生殖隔离和物种形成。然而,证实自然界中匹配栖息地选择的进化的经验证据有限。在这里,我们获得了理论证据,表型优化扩散,一种特殊形式的匹配栖息地选择,可能只在存在陡峭的环境梯度的情况下进化。这样的梯度可能比大多数物种在自然界中通常经历的梯度更陡峭,这为缺乏匹配栖息地选择的证据提供了可能的解释。我们从种群密度以及与适应度相关的定量表型性状(如体型)的均值和方差的确定性偏微分方程系统的数值解中得出这一结论。在陡峭的梯度中,我们发现表型最优的扩散促进了单代时间尺度上的快速适应,减少了种群内的性状变异,增加了范围扩张的速度,并提高了在快速变化的环境中生存的机会。此外,它创造了一种定向的基因流,以补偿随机运动引起的随机基因流的不适应核心到边缘效应。这些结果表明,适应性基因向范围边缘流动,以及在中心种群中显著减少的性状变异,可能是自然种群中表型最优扩散的标志。此外,在强自然选择下生长缓慢的物种可能特别受益于进化的表型优化扩散。
本文章由计算机程序翻译,如有差异,请以英文原文为准。
求助全文
约1分钟内获得全文 求助全文
来源期刊
CiteScore
3.90
自引率
8.60%
发文量
123
审稿时长
7.5 months
期刊介绍: The Bulletin of Mathematical Biology, the official journal of the Society for Mathematical Biology, disseminates original research findings and other information relevant to the interface of biology and the mathematical sciences. Contributions should have relevance to both fields. In order to accommodate the broad scope of new developments, the journal accepts a variety of contributions, including: Original research articles focused on new biological insights gained with the help of tools from the mathematical sciences or new mathematical tools and methods with demonstrated applicability to biological investigations Research in mathematical biology education Reviews Commentaries Perspectives, and contributions that discuss issues important to the profession All contributions are peer-reviewed.
×
引用
GB/T 7714-2015
复制
MLA
复制
APA
复制
导出至
BibTeX EndNote RefMan NoteFirst NoteExpress
×
提示
您的信息不完整,为了账户安全,请先补充。
现在去补充
×
提示
您因"违规操作"
具体请查看互助需知
我知道了
×
提示
确定
请完成安全验证×
copy
已复制链接
快去分享给好友吧!
我知道了
右上角分享
点击右上角分享
0
联系我们:info@booksci.cn Book学术提供免费学术资源搜索服务,方便国内外学者检索中英文文献。致力于提供最便捷和优质的服务体验。 Copyright © 2023 布克学术 All rights reserved.
京ICP备2023020795号-1
ghs 京公网安备 11010802042870号
Book学术文献互助
Book学术文献互助群
群 号:604180095
Book学术官方微信