Association of dietary phytochemical index with metabolic markers, serum asymmetric dimethylarginine and atherogenic indices in patients with polycystic ovary syndrome.

IF 4.1 2区 医学 Q2 NUTRITION & DIETETICS
Farshad Amirkhizi, Mahdiyeh Taghizadeh, Soudabeh Hamedi-Shahraki, Somayyeh Asghari
{"title":"Association of dietary phytochemical index with metabolic markers, serum asymmetric dimethylarginine and atherogenic indices in patients with polycystic ovary syndrome.","authors":"Farshad Amirkhizi, Mahdiyeh Taghizadeh, Soudabeh Hamedi-Shahraki, Somayyeh Asghari","doi":"10.1186/s12986-025-00932-1","DOIUrl":null,"url":null,"abstract":"<p><strong>Background: </strong>Polycystic ovary syndrome (PCOS) is associated with an increased risk of cardiovascular diseases (CVD). Plant-based diets are associated with reduced CVD risk factors. This study aimed to explore the associations between dietary phytochemical index (DPI) and asymmetric dimethylarginine (ADMA), lipid profile, atherogenic indices, and other metabolic biomarkers in women with PCOS.</p><p><strong>Methods: </strong>In this cross-sectional study, 150 females aged 18-45 years diagnosed with PCOS were recruited. An interviewer-administered questionnaire was applied to gather the relevant demographic characteristics, detailed clinical information, and lifestyle habits of participants. A validated semi-quantitative food frequency questionnaire was used to assess dietary intake, and DPI was calculated accordingly. We used multiple linear regression to determine the association between serum concentrations of ADMA, total testosterone, sex hormone-binding globulin (SHBG), fasting serum glucose (FSG), insulin, and lipid profile, as well as atherogenic indices across quartiles of DPI.</p><p><strong>Results: </strong>There was a negative correlation between the DPI and serum levels of ADMA (p-trend = 0.022), triglycerides (TG) (p-trend = 0.003), oxidized low-density lipoprotein cholesterol (ox-LDL) (p-trend = 0.001), insulin (p-trend = 0.045) and Homeostatic Model Assessment for Insulin Resistance (HOMA-IR) (p-trend = 0.018). Moreover, there was a tendency for visceral adiposity index (VAI) (p-trend = 0.005) and atherogenic index of plasma (AIP) (p-trend = 0.001) to decrease as the quartile categories of DPI increased. No significant regular trend was found for serum levels of FSG, SHBG, total testosterone, other lipid profiles, and lipid accumulation product (LAP).</p><p><strong>Conclusions: </strong>These findings suggest that adherence to a phytochemical-rich diet decrease the CVD risk factors in PCOS patients.</p>","PeriodicalId":19196,"journal":{"name":"Nutrition & Metabolism","volume":"22 1","pages":"39"},"PeriodicalIF":4.1000,"publicationDate":"2025-05-07","publicationTypes":"Journal Article","fieldsOfStudy":null,"isOpenAccess":false,"openAccessPdf":"https://www.ncbi.nlm.nih.gov/pmc/articles/PMC12060492/pdf/","citationCount":"0","resultStr":null,"platform":"Semanticscholar","paperid":null,"PeriodicalName":"Nutrition & Metabolism","FirstCategoryId":"3","ListUrlMain":"https://doi.org/10.1186/s12986-025-00932-1","RegionNum":2,"RegionCategory":"医学","ArticlePicture":[],"TitleCN":null,"AbstractTextCN":null,"PMCID":null,"EPubDate":"","PubModel":"","JCR":"Q2","JCRName":"NUTRITION & DIETETICS","Score":null,"Total":0}
引用次数: 0

Abstract

Background: Polycystic ovary syndrome (PCOS) is associated with an increased risk of cardiovascular diseases (CVD). Plant-based diets are associated with reduced CVD risk factors. This study aimed to explore the associations between dietary phytochemical index (DPI) and asymmetric dimethylarginine (ADMA), lipid profile, atherogenic indices, and other metabolic biomarkers in women with PCOS.

Methods: In this cross-sectional study, 150 females aged 18-45 years diagnosed with PCOS were recruited. An interviewer-administered questionnaire was applied to gather the relevant demographic characteristics, detailed clinical information, and lifestyle habits of participants. A validated semi-quantitative food frequency questionnaire was used to assess dietary intake, and DPI was calculated accordingly. We used multiple linear regression to determine the association between serum concentrations of ADMA, total testosterone, sex hormone-binding globulin (SHBG), fasting serum glucose (FSG), insulin, and lipid profile, as well as atherogenic indices across quartiles of DPI.

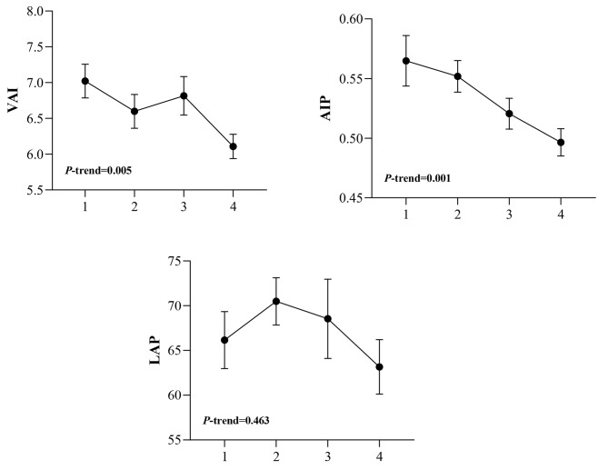
Results: There was a negative correlation between the DPI and serum levels of ADMA (p-trend = 0.022), triglycerides (TG) (p-trend = 0.003), oxidized low-density lipoprotein cholesterol (ox-LDL) (p-trend = 0.001), insulin (p-trend = 0.045) and Homeostatic Model Assessment for Insulin Resistance (HOMA-IR) (p-trend = 0.018). Moreover, there was a tendency for visceral adiposity index (VAI) (p-trend = 0.005) and atherogenic index of plasma (AIP) (p-trend = 0.001) to decrease as the quartile categories of DPI increased. No significant regular trend was found for serum levels of FSG, SHBG, total testosterone, other lipid profiles, and lipid accumulation product (LAP).

Conclusions: These findings suggest that adherence to a phytochemical-rich diet decrease the CVD risk factors in PCOS patients.

Abstract Image

多囊卵巢综合征患者膳食植物化学指标与代谢指标、血清不对称二甲基精氨酸及动脉粥样硬化指标的关系
背景:多囊卵巢综合征(PCOS)与心血管疾病(CVD)的风险增加有关。植物性饮食与降低心血管疾病风险因素有关。本研究旨在探讨膳食植物化学指数(DPI)与PCOS女性不对称二甲基精氨酸(ADMA)、脂质谱、动脉粥样硬化指数和其他代谢生物标志物的关系。方法:在本横断面研究中,招募了150名年龄在18-45岁之间诊断为PCOS的女性。采用访谈者管理的问卷收集相关的人口统计学特征、详细的临床信息和参与者的生活习惯。采用经验证的半定量食物频率问卷评估膳食摄入量,并据此计算DPI。我们使用多元线性回归来确定ADMA、总睾酮、性激素结合球蛋白(SHBG)、空腹血糖(FSG)、胰岛素和血脂浓度以及DPI各四分位数的动脉粥样硬化指数之间的关系。结果:DPI与ADMA (p-trend = 0.022)、甘油三酯(TG) (p-trend = 0.003)、氧化低密度脂蛋白胆固醇(ox-LDL) (p-trend = 0.001)、胰岛素(p-trend = 0.045)、胰岛素抵抗稳态模型评估(HOMA-IR) (p-trend = 0.018)呈负相关。内脏脂肪指数(VAI) (p-trend = 0.005)和血浆动脉粥样硬化指数(AIP) (p-trend = 0.001)随DPI四分位数类别的增加而降低。血清FSG、SHBG、总睾酮、其他脂质谱和脂质积累产物(LAP)水平没有明显的规律趋势。结论:这些发现表明,坚持富含植物化学物质的饮食可以降低PCOS患者的心血管疾病危险因素。
本文章由计算机程序翻译,如有差异,请以英文原文为准。
求助全文
约1分钟内获得全文 求助全文
来源期刊
Nutrition & Metabolism
Nutrition & Metabolism 医学-营养学
CiteScore
8.40
自引率
0.00%
发文量
78
审稿时长
4-8 weeks
期刊介绍: Nutrition & Metabolism publishes studies with a clear focus on nutrition and metabolism with applications ranging from nutrition needs, exercise physiology, clinical and population studies, as well as the underlying mechanisms in these aspects. The areas of interest for Nutrition & Metabolism encompass studies in molecular nutrition in the context of obesity, diabetes, lipedemias, metabolic syndrome and exercise physiology. Manuscripts related to molecular, cellular and human metabolism, nutrient sensing and nutrient–gene interactions are also in interest, as are submissions that have employed new and innovative strategies like metabolomics/lipidomics or other omic-based biomarkers to predict nutritional status and metabolic diseases. Key areas we wish to encourage submissions from include: -how diet and specific nutrients interact with genes, proteins or metabolites to influence metabolic phenotypes and disease outcomes; -the role of epigenetic factors and the microbiome in the pathogenesis of metabolic diseases and their influence on metabolic responses to diet and food components; -how diet and other environmental factors affect epigenetics and microbiota; the extent to which genetic and nongenetic factors modify personal metabolic responses to diet and food compositions and the mechanisms involved; -how specific biologic networks and nutrient sensing mechanisms attribute to metabolic variability.
×
引用
GB/T 7714-2015
复制
MLA
复制
APA
复制
导出至
BibTeX EndNote RefMan NoteFirst NoteExpress
×
提示
您的信息不完整,为了账户安全,请先补充。
现在去补充
×
提示
您因"违规操作"
具体请查看互助需知
我知道了
×
提示
确定
请完成安全验证×
copy
已复制链接
快去分享给好友吧!
我知道了
右上角分享
点击右上角分享
0
联系我们:info@booksci.cn Book学术提供免费学术资源搜索服务,方便国内外学者检索中英文文献。致力于提供最便捷和优质的服务体验。 Copyright © 2023 布克学术 All rights reserved.
京ICP备2023020795号-1
ghs 京公网安备 11010802042870号
Book学术文献互助
Book学术文献互助群
群 号:604180095
Book学术官方微信