Nephrologist's Perceptions of Risk of Severe Chronic Kidney Disease and Outpatient Follow-up After Hospitalization With AKI: Multinational Randomized Survey Study.

IF 1.5 Q3 UROLOGY & NEPHROLOGY
Canadian Journal of Kidney Health and Disease Pub Date : 2025-04-30 eCollection Date: 2025-01-01 DOI:10.1177/20543581251336548
Dilaram Acharya, Tayler D Scory, Nusrat Shommu, Maoliosa Donald, Tyrone G Harrison, Jonathan S Murray, Simon Sawhney, Edward D Siew, Neesh Pannu, Matthew T James
{"title":"Nephrologist's Perceptions of Risk of Severe Chronic Kidney Disease and Outpatient Follow-up After Hospitalization With AKI: Multinational Randomized Survey Study.","authors":"Dilaram Acharya, Tayler D Scory, Nusrat Shommu, Maoliosa Donald, Tyrone G Harrison, Jonathan S Murray, Simon Sawhney, Edward D Siew, Neesh Pannu, Matthew T James","doi":"10.1177/20543581251336548","DOIUrl":null,"url":null,"abstract":"<p><strong>Background: </strong>Patients hospitalized with acute kidney injury (AKI) have variable risks for chronic kidney disease (CKD); however, there is limited knowledge about how this risk influences outpatient follow-up with nephrologists.</p><p><strong>Objective: </strong>This survey study examined the likelihood that nephrologists would recommend outpatient follow-up of patients with varying risk profiles for CKD after hospitalization with AKI and the effect of reporting the predicted risk of severe CKD on their decision-making.</p><p><strong>Design: </strong>A randomized survey study examining the impact of providing predicted risks of severe CKD on nephrologists' follow-up recommendations for patients with AKI.</p><p><strong>Setting: </strong>The study included nephrologists from the United States, the United Kingdom, and Canada between September and December 2023.</p><p><strong>Patients: </strong>Participants reviewed clinical vignettes of patients with AKI and varying risks of severe CKD (G4 or G5), using an externally validated prediction model.</p><p><strong>Measurements: </strong>The primary outcome was the likelihood of recommending nephrologist specialist follow-up for each case, scored on a 7-point Likert scale (1 = \"definitely not\" and 7 = \"definitely would\").</p><p><strong>Methods: </strong>Participants were randomized to receive a version of the survey either with or without the predicted risk of severe CKD included for each vignette. Responses were compared across categories of predicted risk (<10%, 10%-49%, and ≥50%) using generalized estimating equations.</p><p><strong>Results: </strong>Of the 203 nephrologists who participated, 73 (36%) were from the United Kingdom, 71 (35%) from Canada, and 45 (22%) from the United States. Mean (95% confidence interval [CI]) Likert scores increased from 4.01 (3.68, 4.34) for patients with a <10% predicted risk to 6.06 (5.76, 6.37) for those with a ≥ 50% predicted risk of severe CKD. Nephrologists were significantly less likely to recommend outpatient nephrology follow-up for patients with a <10% predicted risk of severe CKD when the risk was reported (mean difference = -0.71 [95% CI = -1.19, -0.23]), and significantly more likely to recommend follow-up for patients with a ≥50% predicted risk when the risk of severe CKD was reported (mean difference = 0.49 [95% CI = 0.04, 0.93]).</p><p><strong>Limitations: </strong>This study focuses on nephrologists from high-income countries and relies on hypothetical scenarios rather than real-world practices. Survey respondents may not be representative of all nephrologists, although consistent findings across diverse subgroups strengthen findings.</p><p><strong>Conclusions: </strong>When the predicted risk of severe CKD is reported, nephrologists are less likely to recommend follow-up for lower risk patients with AKI and more likely to recommend follow-up for higher risk patients, leading to better alignment of recommendations for outpatient follow-up with patient risk of severe CKD.</p>","PeriodicalId":9426,"journal":{"name":"Canadian Journal of Kidney Health and Disease","volume":"12 ","pages":"20543581251336548"},"PeriodicalIF":1.5000,"publicationDate":"2025-04-30","publicationTypes":"Journal Article","fieldsOfStudy":null,"isOpenAccess":false,"openAccessPdf":"https://www.ncbi.nlm.nih.gov/pmc/articles/PMC12046161/pdf/","citationCount":"0","resultStr":null,"platform":"Semanticscholar","paperid":null,"PeriodicalName":"Canadian Journal of Kidney Health and Disease","FirstCategoryId":"1085","ListUrlMain":"https://doi.org/10.1177/20543581251336548","RegionNum":0,"RegionCategory":null,"ArticlePicture":[],"TitleCN":null,"AbstractTextCN":null,"PMCID":null,"EPubDate":"2025/1/1 0:00:00","PubModel":"eCollection","JCR":"Q3","JCRName":"UROLOGY & NEPHROLOGY","Score":null,"Total":0}
引用次数: 0

Abstract

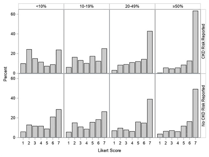
Background: Patients hospitalized with acute kidney injury (AKI) have variable risks for chronic kidney disease (CKD); however, there is limited knowledge about how this risk influences outpatient follow-up with nephrologists.

Objective: This survey study examined the likelihood that nephrologists would recommend outpatient follow-up of patients with varying risk profiles for CKD after hospitalization with AKI and the effect of reporting the predicted risk of severe CKD on their decision-making.

Design: A randomized survey study examining the impact of providing predicted risks of severe CKD on nephrologists' follow-up recommendations for patients with AKI.

Setting: The study included nephrologists from the United States, the United Kingdom, and Canada between September and December 2023.

Patients: Participants reviewed clinical vignettes of patients with AKI and varying risks of severe CKD (G4 or G5), using an externally validated prediction model.

Measurements: The primary outcome was the likelihood of recommending nephrologist specialist follow-up for each case, scored on a 7-point Likert scale (1 = "definitely not" and 7 = "definitely would").

Methods: Participants were randomized to receive a version of the survey either with or without the predicted risk of severe CKD included for each vignette. Responses were compared across categories of predicted risk (<10%, 10%-49%, and ≥50%) using generalized estimating equations.

Results: Of the 203 nephrologists who participated, 73 (36%) were from the United Kingdom, 71 (35%) from Canada, and 45 (22%) from the United States. Mean (95% confidence interval [CI]) Likert scores increased from 4.01 (3.68, 4.34) for patients with a <10% predicted risk to 6.06 (5.76, 6.37) for those with a ≥ 50% predicted risk of severe CKD. Nephrologists were significantly less likely to recommend outpatient nephrology follow-up for patients with a <10% predicted risk of severe CKD when the risk was reported (mean difference = -0.71 [95% CI = -1.19, -0.23]), and significantly more likely to recommend follow-up for patients with a ≥50% predicted risk when the risk of severe CKD was reported (mean difference = 0.49 [95% CI = 0.04, 0.93]).

Limitations: This study focuses on nephrologists from high-income countries and relies on hypothetical scenarios rather than real-world practices. Survey respondents may not be representative of all nephrologists, although consistent findings across diverse subgroups strengthen findings.

Conclusions: When the predicted risk of severe CKD is reported, nephrologists are less likely to recommend follow-up for lower risk patients with AKI and more likely to recommend follow-up for higher risk patients, leading to better alignment of recommendations for outpatient follow-up with patient risk of severe CKD.

Abstract Image

Abstract Image

Abstract Image

肾科医生对严重慢性肾病风险的认知和急性肾损伤住院后的门诊随访:多国随机调查研究。
背景:急性肾损伤(AKI)住院患者发生慢性肾脏疾病(CKD)的风险不同;然而,关于这种风险如何影响肾脏科门诊随访的知识有限。目的:本调查研究探讨了肾病学家在AKI住院后推荐不同CKD风险概况的患者进行门诊随访的可能性,以及报告预测的严重CKD风险对他们决策的影响。设计:一项随机调查研究,研究提供严重CKD风险预测对肾科医生对AKI患者随访建议的影响。背景:该研究包括2023年9月至12月期间来自美国、英国和加拿大的肾病学家。患者:参与者使用外部验证的预测模型,回顾了AKI和不同风险的严重CKD (G4或G5)患者的临床资料。测量:主要结果是推荐每个病例的肾病专家随访的可能性,以7分的李克特量表评分(1 =“绝对不会”,7 =“肯定会”)。方法:参与者随机接受一个版本的调查,包括或不包括每个小插曲的严重CKD的预测风险。结果:参与研究的203名肾病学家中,73名(36%)来自英国,71名(35%)来自加拿大,45名(22%)来自美国。患者的平均(95%可信区间[CI])李克特评分从4.01(3.68,4.34)增加到a。局限性:本研究侧重于高收入国家的肾病学家,依赖于假设情景而非现实世界的实践。调查对象可能不能代表所有的肾病学家,尽管不同亚组的一致发现加强了研究结果。结论:当报告了严重CKD的预测风险时,肾病学家不太可能建议对低风险的AKI患者进行随访,而更可能建议对高风险患者进行随访,从而使门诊随访的建议与严重CKD患者的风险更好地一致。
本文章由计算机程序翻译,如有差异,请以英文原文为准。
求助全文
约1分钟内获得全文 求助全文
来源期刊
CiteScore
3.00
自引率
5.90%
发文量
84
审稿时长
12 weeks
期刊介绍: Canadian Journal of Kidney Health and Disease, the official journal of the Canadian Society of Nephrology, is an open access, peer-reviewed online journal that encourages high quality submissions focused on clinical, translational and health services delivery research in the field of chronic kidney disease, dialysis, kidney transplantation and organ donation. Our mandate is to promote and advocate for kidney health as it impacts national and international communities. Basic science, translational studies and clinical studies will be peer reviewed and processed by an Editorial Board comprised of geographically diverse Canadian and international nephrologists, internists and allied health professionals; this Editorial Board is mandated to ensure highest quality publications.
×
引用
GB/T 7714-2015
复制
MLA
复制
APA
复制
导出至
BibTeX EndNote RefMan NoteFirst NoteExpress
×
提示
您的信息不完整,为了账户安全,请先补充。
现在去补充
×
提示
您因"违规操作"
具体请查看互助需知
我知道了
×
提示
确定
请完成安全验证×
copy
已复制链接
快去分享给好友吧!
我知道了
右上角分享
点击右上角分享
0
联系我们:info@booksci.cn Book学术提供免费学术资源搜索服务,方便国内外学者检索中英文文献。致力于提供最便捷和优质的服务体验。 Copyright © 2023 布克学术 All rights reserved.
京ICP备2023020795号-1
ghs 京公网安备 11010802042870号
Book学术文献互助
Book学术文献互助群
群 号:604180095
Book学术官方微信