Knowledge and awareness of the health effects of electronic cigarette among college students.

Q3 Medicine
Saleh Khateeb, Dana Alsuqaie, Sama Sobahi, Danah Muminah, Laila Alyafi, Taif Alotbi
{"title":"Knowledge and awareness of the health effects of electronic cigarette among college students.","authors":"Saleh Khateeb, Dana Alsuqaie, Sama Sobahi, Danah Muminah, Laila Alyafi, Taif Alotbi","doi":"10.25122/jml-2025-0016","DOIUrl":null,"url":null,"abstract":"<p><p>Electronic cigarettes (e-cigarettes) are nicotine delivery devices promoted as a safer alternative to traditional smoking; however, their long-term health effects remain uncertain. Their use is rapidly increasing worldwide, particularly among young adults. In Jeddah, Saudi Arabia, there is limited information on e-cigarette usage among college students. This study aimed to assess the level of knowledge and awareness regarding the health effects of e-cigarettes among college students in Jeddah through a cross-sectional, survey-based study conducted in 2024 with 438 participants. Data were collected using a pre-validated self-administered questionnaire distributed via various social media platforms. Categorical variables were compared using the chi-square test. Results indicated that 54.8% of respondents reported previous smoking experience. Among the participants, 29.7% believed that e-cigarettes are an effective smoking cessation method, 50.5% viewed them as a potential replacement for traditional cigarettes, and 43.2% considered e-cigarettes a gateway to conventional smoking. Overall, 39.3% of respondents demonstrated good knowledge about e-cigarettes, with significant differences observed between age groups, genders, smoking experience (<i>P</i> < 0.001), and educational levels (<i>P</i> < 0.002). Additionally, 54.3% of respondents expressed a negative attitude toward e-cigarettes, with statistically significant differences across groups (<i>P</i> < 0.001). Given the relatively high prevalence of smoking among college students in Jeddah and their overall insufficient knowledge about e-cigarettes, these findings underscore the urgent need to raise awareness about the risks associated with e-cigarette use and to implement appropriate regulatory measures.</p>","PeriodicalId":16386,"journal":{"name":"Journal of Medicine and Life","volume":"18 3","pages":"235-245"},"PeriodicalIF":0.0000,"publicationDate":"2025-03-01","publicationTypes":"Journal Article","fieldsOfStudy":null,"isOpenAccess":false,"openAccessPdf":"https://www.ncbi.nlm.nih.gov/pmc/articles/PMC12022729/pdf/","citationCount":"0","resultStr":null,"platform":"Semanticscholar","paperid":null,"PeriodicalName":"Journal of Medicine and Life","FirstCategoryId":"1085","ListUrlMain":"https://doi.org/10.25122/jml-2025-0016","RegionNum":0,"RegionCategory":null,"ArticlePicture":[],"TitleCN":null,"AbstractTextCN":null,"PMCID":null,"EPubDate":"","PubModel":"","JCR":"Q3","JCRName":"Medicine","Score":null,"Total":0}
引用次数: 0

Abstract

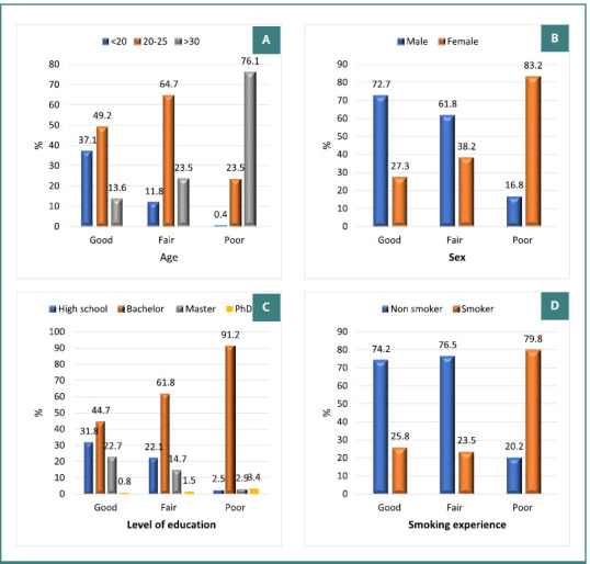
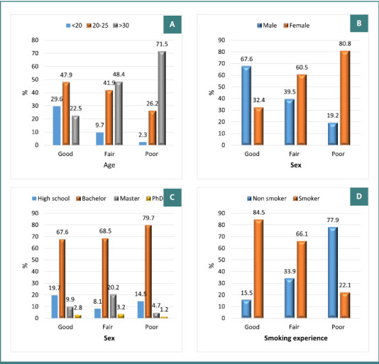
Electronic cigarettes (e-cigarettes) are nicotine delivery devices promoted as a safer alternative to traditional smoking; however, their long-term health effects remain uncertain. Their use is rapidly increasing worldwide, particularly among young adults. In Jeddah, Saudi Arabia, there is limited information on e-cigarette usage among college students. This study aimed to assess the level of knowledge and awareness regarding the health effects of e-cigarettes among college students in Jeddah through a cross-sectional, survey-based study conducted in 2024 with 438 participants. Data were collected using a pre-validated self-administered questionnaire distributed via various social media platforms. Categorical variables were compared using the chi-square test. Results indicated that 54.8% of respondents reported previous smoking experience. Among the participants, 29.7% believed that e-cigarettes are an effective smoking cessation method, 50.5% viewed them as a potential replacement for traditional cigarettes, and 43.2% considered e-cigarettes a gateway to conventional smoking. Overall, 39.3% of respondents demonstrated good knowledge about e-cigarettes, with significant differences observed between age groups, genders, smoking experience (P < 0.001), and educational levels (P < 0.002). Additionally, 54.3% of respondents expressed a negative attitude toward e-cigarettes, with statistically significant differences across groups (P < 0.001). Given the relatively high prevalence of smoking among college students in Jeddah and their overall insufficient knowledge about e-cigarettes, these findings underscore the urgent need to raise awareness about the risks associated with e-cigarette use and to implement appropriate regulatory measures.

Abstract Image

Abstract Image

大学生对电子烟健康影响的认知和意识。
电子烟(电子烟)是尼古丁输送装置,被宣传为传统吸烟的更安全替代品;然而,它们对健康的长期影响仍不确定。它们的使用在世界范围内迅速增加,特别是在年轻人中。在沙特阿拉伯的吉达,关于大学生使用电子烟的信息有限。本研究旨在通过2024年对438名参与者进行的横断面调查研究,评估吉达大学生对电子烟健康影响的知识和意识水平。通过各种社交媒体平台分发的预先验证的自我管理问卷收集数据。分类变量比较采用卡方检验。结果显示,54.8%的受访者曾有吸烟经历。在参与者中,29.7%的人认为电子烟是一种有效的戒烟方法,50.5%的人认为电子烟是传统香烟的潜在替代品,43.2%的人认为电子烟是传统吸烟的入口。总体而言,39.3%的受访者表示对电子烟有很好的了解,在年龄组、性别、吸烟经历(P < 0.001)和教育水平(P < 0.002)之间存在显著差异。此外,54.3%的受访者对电子烟持负面态度,组间差异有统计学意义(P < 0.001)。鉴于吉达大学生吸烟率相对较高,而且他们对电子烟的总体认识不足,这些研究结果强调了提高人们对电子烟使用风险的认识并实施适当监管措施的迫切需要。
本文章由计算机程序翻译,如有差异,请以英文原文为准。
求助全文
约1分钟内获得全文 求助全文
来源期刊
Journal of Medicine and Life
Journal of Medicine and Life Medicine-Medicine (all)
CiteScore
1.90
自引率
0.00%
发文量
202
期刊介绍: The Journal of Medicine and Life publishes peer-reviewed articles from various fields of medicine and life sciences, including original research, systematic reviews, special reports, case presentations, major medical breakthroughs and letters to the editor. The Journal focuses on current matters that lie at the intersection of biomedical science and clinical practice and strives to present this information to inform health care delivery and improve patient outcomes. Papers addressing topics such as neuroprotection, neurorehabilitation, neuroplasticity, and neuroregeneration are particularly encouraged, as part of the Journal''s continuous interest in neuroscience research. The Editorial Board of the Journal of Medicine and Life is open to consider manuscripts from all levels of research and areas of biological sciences, including fundamental, experimental or clinical research and matters of public health. As part of our pledge to promote an educational and community-building environment, our issues feature sections designated to informing our readers regarding exciting international congresses, teaching courses and relevant institutional-level events.
×
引用
GB/T 7714-2015
复制
MLA
复制
APA
复制
导出至
BibTeX EndNote RefMan NoteFirst NoteExpress
×
提示
您的信息不完整,为了账户安全,请先补充。
现在去补充
×
提示
您因"违规操作"
具体请查看互助需知
我知道了
×
提示
确定
请完成安全验证×
copy
已复制链接
快去分享给好友吧!
我知道了
右上角分享
点击右上角分享
0
联系我们:info@booksci.cn Book学术提供免费学术资源搜索服务,方便国内外学者检索中英文文献。致力于提供最便捷和优质的服务体验。 Copyright © 2023 布克学术 All rights reserved.
京ICP备2023020795号-1
ghs 京公网安备 11010802042870号
Book学术文献互助
Book学术文献互助群
群 号:604180095
Book学术官方微信