Absolute lymphocyte count trajectory predicts clinical outcome in severely injured patients.

IF 2.2 3区 医学 Q2 EMERGENCY MEDICINE
Lena-Marie Reichardt, Bianca Hindelang, Lönna Süberkrüb, Kim Lena Hamberger, Jan A Graw, Konrad Schuetze, Elisabeth Zechendorf, Marco Mannes, Rebecca Halbgebauer, Lisa Wohlgemuth, Florian Gebhard, Markus Huber-Lang, Borna Relja, Christian B Bergmann
{"title":"Absolute lymphocyte count trajectory predicts clinical outcome in severely injured patients.","authors":"Lena-Marie Reichardt, Bianca Hindelang, Lönna Süberkrüb, Kim Lena Hamberger, Jan A Graw, Konrad Schuetze, Elisabeth Zechendorf, Marco Mannes, Rebecca Halbgebauer, Lisa Wohlgemuth, Florian Gebhard, Markus Huber-Lang, Borna Relja, Christian B Bergmann","doi":"10.1007/s00068-025-02864-0","DOIUrl":null,"url":null,"abstract":"<p><strong>Purpose: </strong>Lymphopenia is associated with adverse clinical outcome in trauma, but no immunomonitoring method is established to identify patients at risk. Absolute lymphocyte count (ALC) represents a promising biomarker and may support clinical decision-making in the intensive care unit (ICU). This study examined the temporal patterns of ALC in severely injured patients and their correlation with clinical outcomes.</p><p><strong>Methods: </strong>38 severely injured patients with an Injury Severity Score (ISS) of 18 and greater were enrolled. Blood samples were collected on admission and after 8, 24 and 48 h and 5 and 10 days. 38 healthy volunteers served as controls. Patients were classified into four groups after 48 h based on their dynamic ALC: persistent lymphopenia (PL), rapidly decreasing (RD), slowly rising (SR) and normal fluctuation (NF). The groups were compared regarding physical performative outcome - defined as unfavorable when patients died or new functional disability necessitated long term care, in-hospital mortality, ICU length of stay (LOS), and incidence of multi-organ dysfunction syndrome (MODS).</p><p><strong>Results: </strong>A significant reduction in ALC was observed in all patients over 10 days when compared to healthy volunteers, with all patients trending towards a recovery of their ALC after 10 days. PL and RD were associated with an unfavorable physical performative outcome, increased in-hospital mortality, ICU LOS and incidence of MODS.</p><p><strong>Conclusion: </strong>The dynamic course of ALC represents a cheap and clinically implementable approach for immunomonitoring within 48 h in severely injured patients. The ALC dynamic may early identify severely injured patients at risk, thus facilitating more informed clinical decision-making.</p>","PeriodicalId":12064,"journal":{"name":"European Journal of Trauma and Emergency Surgery","volume":"51 1","pages":"190"},"PeriodicalIF":2.2000,"publicationDate":"2025-05-02","publicationTypes":"Journal Article","fieldsOfStudy":null,"isOpenAccess":false,"openAccessPdf":"https://www.ncbi.nlm.nih.gov/pmc/articles/PMC12048453/pdf/","citationCount":"0","resultStr":null,"platform":"Semanticscholar","paperid":null,"PeriodicalName":"European Journal of Trauma and Emergency Surgery","FirstCategoryId":"3","ListUrlMain":"https://doi.org/10.1007/s00068-025-02864-0","RegionNum":3,"RegionCategory":"医学","ArticlePicture":[],"TitleCN":null,"AbstractTextCN":null,"PMCID":null,"EPubDate":"","PubModel":"","JCR":"Q2","JCRName":"EMERGENCY MEDICINE","Score":null,"Total":0}
引用次数: 0

Abstract

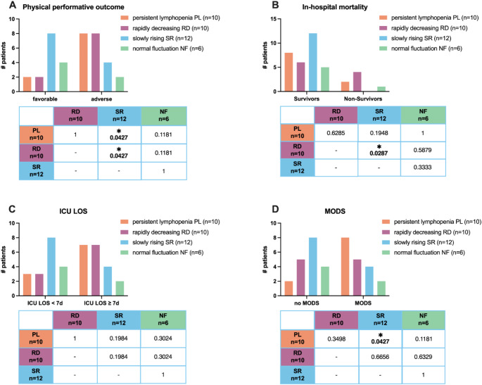
Purpose: Lymphopenia is associated with adverse clinical outcome in trauma, but no immunomonitoring method is established to identify patients at risk. Absolute lymphocyte count (ALC) represents a promising biomarker and may support clinical decision-making in the intensive care unit (ICU). This study examined the temporal patterns of ALC in severely injured patients and their correlation with clinical outcomes.

Methods: 38 severely injured patients with an Injury Severity Score (ISS) of 18 and greater were enrolled. Blood samples were collected on admission and after 8, 24 and 48 h and 5 and 10 days. 38 healthy volunteers served as controls. Patients were classified into four groups after 48 h based on their dynamic ALC: persistent lymphopenia (PL), rapidly decreasing (RD), slowly rising (SR) and normal fluctuation (NF). The groups were compared regarding physical performative outcome - defined as unfavorable when patients died or new functional disability necessitated long term care, in-hospital mortality, ICU length of stay (LOS), and incidence of multi-organ dysfunction syndrome (MODS).

Results: A significant reduction in ALC was observed in all patients over 10 days when compared to healthy volunteers, with all patients trending towards a recovery of their ALC after 10 days. PL and RD were associated with an unfavorable physical performative outcome, increased in-hospital mortality, ICU LOS and incidence of MODS.

Conclusion: The dynamic course of ALC represents a cheap and clinically implementable approach for immunomonitoring within 48 h in severely injured patients. The ALC dynamic may early identify severely injured patients at risk, thus facilitating more informed clinical decision-making.

Abstract Image

Abstract Image

Abstract Image

绝对淋巴细胞计数轨迹预测严重损伤患者的临床预后。
目的:淋巴细胞减少与创伤患者的不良临床预后相关,但目前尚无免疫监测方法来识别患者的风险。绝对淋巴细胞计数(ALC)是一种很有前途的生物标志物,可以支持重症监护病房(ICU)的临床决策。本研究探讨了严重损伤患者ALC的时间模式及其与临床预后的关系。方法:选取38例损伤严重程度评分(ISS)大于等于18分的严重损伤患者。入院时、入院后8、24、48 h、5、10 d采集血样。38名健康志愿者作为对照。48 h后根据ALC动态变化将患者分为持续性淋巴细胞减少(PL)、快速下降(RD)、缓慢上升(SR)和正常波动(NF) 4组。两组比较了身体表现结果(定义为患者死亡或新的功能残疾需要长期护理时的不利结果)、住院死亡率、ICU住院时间(LOS)和多器官功能障碍综合征(MODS)的发生率。结果:与健康志愿者相比,所有患者的ALC在10天内均显著降低,所有患者的ALC在10天后都趋于恢复。PL和RD与不利的身体表现结果、住院死亡率、ICU LOS和MODS发生率增加有关。结论:ALC动态过程是一种廉价且临床可行的重症损伤患者48 h内免疫监测方法。ALC动态可以早期识别有危险的严重受伤患者,从而促进更明智的临床决策。
本文章由计算机程序翻译,如有差异,请以英文原文为准。
求助全文
约1分钟内获得全文 求助全文
来源期刊
CiteScore
4.50
自引率
14.30%
发文量
311
审稿时长
3 months
期刊介绍: The European Journal of Trauma and Emergency Surgery aims to open an interdisciplinary forum that allows for the scientific exchange between basic and clinical science related to pathophysiology, diagnostics and treatment of traumatized patients. The journal covers all aspects of clinical management, operative treatment and related research of traumatic injuries. Clinical and experimental papers on issues relevant for the improvement of trauma care are published. Reviews, original articles, short communications and letters allow the appropriate presentation of major and minor topics.
×
引用
GB/T 7714-2015
复制
MLA
复制
APA
复制
导出至
BibTeX EndNote RefMan NoteFirst NoteExpress
×
提示
您的信息不完整,为了账户安全,请先补充。
现在去补充
×
提示
您因"违规操作"
具体请查看互助需知
我知道了
×
提示
确定
请完成安全验证×
copy
已复制链接
快去分享给好友吧!
我知道了
右上角分享
点击右上角分享
0
联系我们:info@booksci.cn Book学术提供免费学术资源搜索服务,方便国内外学者检索中英文文献。致力于提供最便捷和优质的服务体验。 Copyright © 2023 布克学术 All rights reserved.
京ICP备2023020795号-1
ghs 京公网安备 11010802042870号
Book学术文献互助
Book学术文献互助群
群 号:604180095
Book学术官方微信