Many-body phases from effective geometrical frustration and long-range interactions in a subwavelength lattice.

IF 5.8 1区 物理与天体物理 Q1 PHYSICS, MULTIDISCIPLINARY
Communications Physics Pub Date : 2025-01-01 Epub Date: 2025-04-08 DOI:10.1038/s42005-025-02043-y
D Burba, G Juzeliūnas, I B Spielman, L Barbiero
{"title":"Many-body phases from effective geometrical frustration and long-range interactions in a subwavelength lattice.","authors":"D Burba, G Juzeliūnas, I B Spielman, L Barbiero","doi":"10.1038/s42005-025-02043-y","DOIUrl":null,"url":null,"abstract":"<p><p>Geometrical frustration and long-range couplings are key contributors to create quantum phases with different properties throughout physics. We propose a scheme where both ingredients naturally emerge in a Raman induced subwavelength lattice. We first demonstrate that Raman-coupled multicomponent quantum gases can realize a highly versatile frustrated Hubbard Hamiltonian with long-range interactions. The deeply subwavelength lattice period leads to strong long-range interparticle repulsion with tunable range and decay. We numerically demonstrate that the combination of frustration and long-range couplings generates many-body phases of bosons, including a range of density-wave and superfluid phases with broken translational and time reversal symmetries, respectively. Our results thus represent a powerful approach for efficiently combining long-range interactions and frustration in quantum simulations.</p>","PeriodicalId":10540,"journal":{"name":"Communications Physics","volume":"8 1","pages":"141"},"PeriodicalIF":5.8000,"publicationDate":"2025-01-01","publicationTypes":"Journal Article","fieldsOfStudy":null,"isOpenAccess":false,"openAccessPdf":"https://www.ncbi.nlm.nih.gov/pmc/articles/PMC11978520/pdf/","citationCount":"0","resultStr":null,"platform":"Semanticscholar","paperid":null,"PeriodicalName":"Communications Physics","FirstCategoryId":"101","ListUrlMain":"https://doi.org/10.1038/s42005-025-02043-y","RegionNum":1,"RegionCategory":"物理与天体物理","ArticlePicture":[],"TitleCN":null,"AbstractTextCN":null,"PMCID":null,"EPubDate":"2025/4/8 0:00:00","PubModel":"Epub","JCR":"Q1","JCRName":"PHYSICS, MULTIDISCIPLINARY","Score":null,"Total":0}
引用次数: 0

Abstract

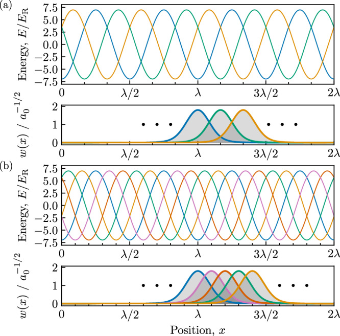
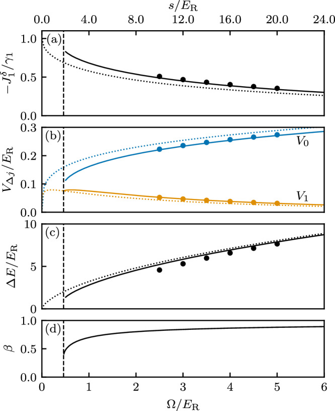
Geometrical frustration and long-range couplings are key contributors to create quantum phases with different properties throughout physics. We propose a scheme where both ingredients naturally emerge in a Raman induced subwavelength lattice. We first demonstrate that Raman-coupled multicomponent quantum gases can realize a highly versatile frustrated Hubbard Hamiltonian with long-range interactions. The deeply subwavelength lattice period leads to strong long-range interparticle repulsion with tunable range and decay. We numerically demonstrate that the combination of frustration and long-range couplings generates many-body phases of bosons, including a range of density-wave and superfluid phases with broken translational and time reversal symmetries, respectively. Our results thus represent a powerful approach for efficiently combining long-range interactions and frustration in quantum simulations.

Abstract Image

Abstract Image

Abstract Image

亚波长晶格中有效几何挫折和远距离相互作用的多体相。
几何挫折和远程耦合是在整个物理学中产生具有不同性质的量子相的关键因素。我们提出了一种方案,其中两种成分自然出现在拉曼诱导的亚波长晶格中。我们首先证明了拉曼耦合多组分量子气体可以实现具有远程相互作用的高度通用的受挫哈伯德哈密顿量。深亚波长晶格周期导致具有可调范围和衰减的强长程粒子间排斥。我们在数值上证明了挫折耦合和远程耦合的结合产生了玻色子的多体相,包括一系列分别具有破缺平移对称性和时间反转对称性的密度波和超流体相。因此,我们的研究结果为有效地结合量子模拟中的远程相互作用和挫折提供了一种强有力的方法。
本文章由计算机程序翻译,如有差异,请以英文原文为准。
求助全文
约1分钟内获得全文 求助全文
来源期刊
Communications Physics
Communications Physics Physics and Astronomy-General Physics and Astronomy
CiteScore
8.40
自引率
3.60%
发文量
276
审稿时长
13 weeks
期刊介绍: Communications Physics is an open access journal from Nature Research publishing high-quality research, reviews and commentary in all areas of the physical sciences. Research papers published by the journal represent significant advances bringing new insight to a specialized area of research in physics. We also aim to provide a community forum for issues of importance to all physicists, regardless of sub-discipline. The scope of the journal covers all areas of experimental, applied, fundamental, and interdisciplinary physical sciences. Primary research published in Communications Physics includes novel experimental results, new techniques or computational methods that may influence the work of others in the sub-discipline. We also consider submissions from adjacent research fields where the central advance of the study is of interest to physicists, for example material sciences, physical chemistry and technologies.
×
引用
GB/T 7714-2015
复制
MLA
复制
APA
复制
导出至
BibTeX EndNote RefMan NoteFirst NoteExpress
×
提示
您的信息不完整,为了账户安全,请先补充。
现在去补充
×
提示
您因"违规操作"
具体请查看互助需知
我知道了
×
提示
确定
请完成安全验证×
copy
已复制链接
快去分享给好友吧!
我知道了
右上角分享
点击右上角分享
0
联系我们:info@booksci.cn Book学术提供免费学术资源搜索服务,方便国内外学者检索中英文文献。致力于提供最便捷和优质的服务体验。 Copyright © 2023 布克学术 All rights reserved.
京ICP备2023020795号-1
ghs 京公网安备 11010802042870号
Book学术文献互助
Book学术文献互助群
群 号:604180095
Book学术官方微信