Effects of citric acid and heat-treated soybean meal on rumen fermentation characteristics, methane emissions, and microbiota: an in vitro study.

IF 3.2 3区 农林科学 Q1 AGRICULTURE, DAIRY & ANIMAL SCIENCE
Journal of Animal Science and Technology Pub Date : 2025-03-01 Epub Date: 2025-03-31 DOI:10.5187/jast.2024.e102
Daekyum Yoo, Joonpyo Oh, Siwoo Jeong, Jakyeom Seo
{"title":"Effects of citric acid and heat-treated soybean meal on rumen fermentation characteristics, methane emissions, and microbiota: an <i>in vitro</i> study.","authors":"Daekyum Yoo, Joonpyo Oh, Siwoo Jeong, Jakyeom Seo","doi":"10.5187/jast.2024.e102","DOIUrl":null,"url":null,"abstract":"<p><p>This study aimed to assess the impact of citric acid (CA) and heat-treated soybean meal (SBM) on rumen fermentation characteristics, methane production, and microbiota through an i<i>n vitro</i> experiment. Untreated SBM, heat-treated SBM (HSBM), CA-treated SBM (CSBM), and SBM treated with a combination of heat and CA (HCSBM). Parameters assessed in <i>in vitro</i> were gas production, methane emissions, dry matter degradability (IVDMD), crude protein degradability (IVCPD), ammonia nitrogen (NH<sub>3</sub>-N), microbial crude protein (MCP), volatile fatty acids (VFA), pH, and microbiota composition. The HCSBM exhibited the lowest gas production and theoretical maximum gas production (<i>p</i> < 0.01). Methane production (%) was significantly reduced in both CSBM and HCSBM (<i>p</i> < 0.01), with the lowest methane emissions (mL/g dry matter, DM) observed in HCSBM (<i>p</i> < 0.01). The IVCPD was significantly reduced in both the HSBM and HCSBM groups (<i>p</i> < 0.01). HCSBM had the lowest NH<sub>3</sub>-N and MCP concentrations (<i>p</i> < 0.01). Total VFA production was the lowest in HCSBM (<i>p</i> < 0.01), with a higher proportion of acetate and lower proportions of propionate (<i>p</i> < 0.01). HCSBM reduced the enrichment of Thermoplasmatota compared to HSBM (<i>p</i> < 0.05) and decreased the enrichment of the coenzyme M biosynthesis pathway in the microbial functional profiles compared to SBM and CSBM (<i>p</i> < 0.05). Additionally, an increase in fiber-degrading bacteria, particularly Fibrobacterota, was observed in HCSBM (<i>p</i> < 0.05). These findings suggest that the HCSBM may effectively reduce ruminal protein degradation and methane emissions. Further <i>in vivo</i> studies are necessary to validate these results and assess their practical application in ruminant nutrition.</p>","PeriodicalId":14923,"journal":{"name":"Journal of Animal Science and Technology","volume":"67 2","pages":"393-409"},"PeriodicalIF":3.2000,"publicationDate":"2025-03-01","publicationTypes":"Journal Article","fieldsOfStudy":null,"isOpenAccess":false,"openAccessPdf":"https://www.ncbi.nlm.nih.gov/pmc/articles/PMC12010227/pdf/","citationCount":"0","resultStr":null,"platform":"Semanticscholar","paperid":null,"PeriodicalName":"Journal of Animal Science and Technology","FirstCategoryId":"97","ListUrlMain":"https://doi.org/10.5187/jast.2024.e102","RegionNum":3,"RegionCategory":"农林科学","ArticlePicture":[],"TitleCN":null,"AbstractTextCN":null,"PMCID":null,"EPubDate":"2025/3/31 0:00:00","PubModel":"Epub","JCR":"Q1","JCRName":"AGRICULTURE, DAIRY & ANIMAL SCIENCE","Score":null,"Total":0}
引用次数: 0

Abstract

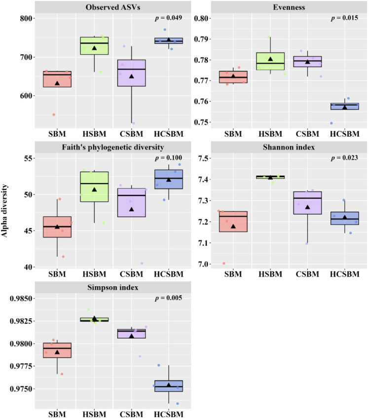
This study aimed to assess the impact of citric acid (CA) and heat-treated soybean meal (SBM) on rumen fermentation characteristics, methane production, and microbiota through an in vitro experiment. Untreated SBM, heat-treated SBM (HSBM), CA-treated SBM (CSBM), and SBM treated with a combination of heat and CA (HCSBM). Parameters assessed in in vitro were gas production, methane emissions, dry matter degradability (IVDMD), crude protein degradability (IVCPD), ammonia nitrogen (NH3-N), microbial crude protein (MCP), volatile fatty acids (VFA), pH, and microbiota composition. The HCSBM exhibited the lowest gas production and theoretical maximum gas production (p < 0.01). Methane production (%) was significantly reduced in both CSBM and HCSBM (p < 0.01), with the lowest methane emissions (mL/g dry matter, DM) observed in HCSBM (p < 0.01). The IVCPD was significantly reduced in both the HSBM and HCSBM groups (p < 0.01). HCSBM had the lowest NH3-N and MCP concentrations (p < 0.01). Total VFA production was the lowest in HCSBM (p < 0.01), with a higher proportion of acetate and lower proportions of propionate (p < 0.01). HCSBM reduced the enrichment of Thermoplasmatota compared to HSBM (p < 0.05) and decreased the enrichment of the coenzyme M biosynthesis pathway in the microbial functional profiles compared to SBM and CSBM (p < 0.05). Additionally, an increase in fiber-degrading bacteria, particularly Fibrobacterota, was observed in HCSBM (p < 0.05). These findings suggest that the HCSBM may effectively reduce ruminal protein degradation and methane emissions. Further in vivo studies are necessary to validate these results and assess their practical application in ruminant nutrition.

Abstract Image

Abstract Image

Abstract Image

柠檬酸和热处理豆粕对瘤胃发酵特性、甲烷排放和微生物群的影响:体外研究
本试验旨在通过体外试验研究柠檬酸(CA)和热处理豆粕(SBM)对瘤胃发酵特性、甲烷产量和微生物群的影响。未经处理的SBM,热处理的SBM (HSBM), CA处理的SBM (CSBM),以及热和CA联合处理的SBM (HCSBM)。体外评估的参数包括产气量、甲烷排放量、干物质可降解性(IVDMD)、粗蛋白质可降解性(IVCPD)、氨氮(NH3-N)、微生物粗蛋白质(MCP)、挥发性脂肪酸(VFA)、pH和微生物群组成。HCSBM产气量最低,理论产气量最大(p < 0.01)。甲烷产量(%)显著降低(p < 0.01),甲烷排放量(mL/g干物质,DM)在HCSBM中最低(p < 0.01)。HSBM组和HCSBM组IVCPD均显著降低(p < 0.01)。HCSBM的NH3-N和MCP浓度最低(p < 0.01)。总VFA产量以HCSBM最低(p < 0.01),乙酸比例较高,丙酸比例较低(p < 0.01)。与HSBM相比,HCSBM降低了热质体的富集程度(p < 0.05),与SBM和CSBM相比,HCSBM降低了微生物功能谱中辅酶M生物合成途径的富集程度(p < 0.05)。此外,在HCSBM中观察到纤维降解细菌,特别是纤维杆菌群的增加(p < 0.05)。这些结果表明,HCSBM可以有效地降低瘤胃蛋白质降解和甲烷排放。需要进一步的体内研究来验证这些结果并评估其在反刍动物营养中的实际应用。
本文章由计算机程序翻译,如有差异,请以英文原文为准。
求助全文
约1分钟内获得全文 求助全文
来源期刊
Journal of Animal Science and Technology
Journal of Animal Science and Technology Agricultural and Biological Sciences-Food Science
CiteScore
4.50
自引率
8.70%
发文量
96
审稿时长
7 weeks
期刊介绍: Journal of Animal Science and Technology (J. Anim. Sci. Technol. or JAST) is a peer-reviewed, open access journal publishing original research, review articles and notes in all fields of animal science. Topics covered by the journal include: genetics and breeding, physiology, nutrition of monogastric animals, nutrition of ruminants, animal products (milk, meat, eggs and their by-products) and their processing, grasslands and roughages, livestock environment, animal biotechnology, animal behavior and welfare. Articles generally report research involving beef cattle, dairy cattle, pigs, companion animals, goats, horses, and sheep. However, studies involving other farm animals, aquatic and wildlife species, and laboratory animal species that address fundamental questions related to livestock and companion animal biology will also be considered for publication. The Journal of Animal Science and Technology (J. Anim. Technol. or JAST) has been the official journal of The Korean Society of Animal Science and Technology (KSAST) since 2000, formerly known as The Korean Journal of Animal Sciences (launched in 1956).
×
引用
GB/T 7714-2015
复制
MLA
复制
APA
复制
导出至
BibTeX EndNote RefMan NoteFirst NoteExpress
×
提示
您的信息不完整,为了账户安全,请先补充。
现在去补充
×
提示
您因"违规操作"
具体请查看互助需知
我知道了
×
提示
确定
请完成安全验证×
copy
已复制链接
快去分享给好友吧!
我知道了
右上角分享
点击右上角分享
0
联系我们:info@booksci.cn Book学术提供免费学术资源搜索服务,方便国内外学者检索中英文文献。致力于提供最便捷和优质的服务体验。 Copyright © 2023 布克学术 All rights reserved.
京ICP备2023020795号-1
ghs 京公网安备 11010802042870号
Book学术文献互助
Book学术文献互助群
群 号:604180095
Book学术官方微信