On Discretely Structured Growth Models and Their Moments.

IF 2.2 4区 数学 Q2 BIOLOGY
Benjamin J Walker, Helen M Byrne
{"title":"On Discretely Structured Growth Models and Their Moments.","authors":"Benjamin J Walker, Helen M Byrne","doi":"10.1007/s11538-025-01446-w","DOIUrl":null,"url":null,"abstract":"<p><p>The logistic equation is ubiquitous in applied mathematics as a minimal model of saturating growth. Here, we examine a broad generalisation of the logistic growth model to discretely structured populations, motivated by examples that range from the ageing of individuals in a species to immune cell exhaustion by cancerous tissue. Through exploration of a range of concrete examples and a general analysis of polynomial kinetics, we derive necessary and sufficient conditions for the dependence of the kinetics on structure to result in closed, low-dimensional moment equations that are exact. Further, we showcase how coarse-grained moment information can be used to elucidate the details of structured dynamics, with immediate potential for model selection and hypothesis testing. This paper belongs to the special collection: Problems, Progress and Perspectives in Mathematical and Computational Biology.</p>","PeriodicalId":9372,"journal":{"name":"Bulletin of Mathematical Biology","volume":"87 6","pages":"71"},"PeriodicalIF":2.2000,"publicationDate":"2025-05-12","publicationTypes":"Journal Article","fieldsOfStudy":null,"isOpenAccess":false,"openAccessPdf":"https://www.ncbi.nlm.nih.gov/pmc/articles/PMC12069487/pdf/","citationCount":"0","resultStr":null,"platform":"Semanticscholar","paperid":null,"PeriodicalName":"Bulletin of Mathematical Biology","FirstCategoryId":"100","ListUrlMain":"https://doi.org/10.1007/s11538-025-01446-w","RegionNum":4,"RegionCategory":"数学","ArticlePicture":[],"TitleCN":null,"AbstractTextCN":null,"PMCID":null,"EPubDate":"","PubModel":"","JCR":"Q2","JCRName":"BIOLOGY","Score":null,"Total":0}
引用次数: 0

Abstract

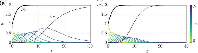
The logistic equation is ubiquitous in applied mathematics as a minimal model of saturating growth. Here, we examine a broad generalisation of the logistic growth model to discretely structured populations, motivated by examples that range from the ageing of individuals in a species to immune cell exhaustion by cancerous tissue. Through exploration of a range of concrete examples and a general analysis of polynomial kinetics, we derive necessary and sufficient conditions for the dependence of the kinetics on structure to result in closed, low-dimensional moment equations that are exact. Further, we showcase how coarse-grained moment information can be used to elucidate the details of structured dynamics, with immediate potential for model selection and hypothesis testing. This paper belongs to the special collection: Problems, Progress and Perspectives in Mathematical and Computational Biology.

Abstract Image

Abstract Image

Abstract Image

关于离散结构增长模型及其时刻。
logistic方程作为饱和增长的最小模型在应用数学中普遍存在。在这里,我们研究了逻辑增长模型对离散结构种群的广泛推广,其动机来自于从物种中个体的衰老到癌组织引起的免疫细胞衰竭的例子。通过对一系列具体例子的探索和对多项式动力学的一般分析,我们推导出动力学依赖于结构的充分必要条件,从而得到封闭的、精确的低维矩方程。此外,我们展示了如何使用粗粒度的力矩信息来阐明结构化动力学的细节,具有模型选择和假设检验的直接潜力。本文属于《数学与计算生物学的问题、进展与展望》特刊。
本文章由计算机程序翻译,如有差异,请以英文原文为准。
求助全文
约1分钟内获得全文 求助全文
来源期刊
CiteScore
3.90
自引率
8.60%
发文量
123
审稿时长
7.5 months
期刊介绍: The Bulletin of Mathematical Biology, the official journal of the Society for Mathematical Biology, disseminates original research findings and other information relevant to the interface of biology and the mathematical sciences. Contributions should have relevance to both fields. In order to accommodate the broad scope of new developments, the journal accepts a variety of contributions, including: Original research articles focused on new biological insights gained with the help of tools from the mathematical sciences or new mathematical tools and methods with demonstrated applicability to biological investigations Research in mathematical biology education Reviews Commentaries Perspectives, and contributions that discuss issues important to the profession All contributions are peer-reviewed.
×
引用
GB/T 7714-2015
复制
MLA
复制
APA
复制
导出至
BibTeX EndNote RefMan NoteFirst NoteExpress
×
提示
您的信息不完整,为了账户安全,请先补充。
现在去补充
×
提示
您因"违规操作"
具体请查看互助需知
我知道了
×
提示
确定
请完成安全验证×
copy
已复制链接
快去分享给好友吧!
我知道了
右上角分享
点击右上角分享
0
联系我们:info@booksci.cn Book学术提供免费学术资源搜索服务,方便国内外学者检索中英文文献。致力于提供最便捷和优质的服务体验。 Copyright © 2023 布克学术 All rights reserved.
京ICP备2023020795号-1
ghs 京公网安备 11010802042870号
Book学术文献互助
Book学术文献互助群
群 号:604180095
Book学术官方微信