Global, regional and national burden of HIV/AIDS among individuals aged 15-79 from 1990 to 2021.

IF 2.5 4区 医学 Q3 INFECTIOUS DISEASES
Yuanfang Chen, An-Dong Li, Yizhou Yang, Jing Lu, Yu Xu, Xinyu Ji, Liting Wu, Lei Han, Baoli Zhu, Ming Xu
{"title":"Global, regional and national burden of HIV/AIDS among individuals aged 15-79 from 1990 to 2021.","authors":"Yuanfang Chen, An-Dong Li, Yizhou Yang, Jing Lu, Yu Xu, Xinyu Ji, Liting Wu, Lei Han, Baoli Zhu, Ming Xu","doi":"10.1186/s12981-025-00745-5","DOIUrl":null,"url":null,"abstract":"<p><strong>Background: </strong>HIV/AIDS persists as a global health challenge despite significant advancements in antiretroviral therapy (ART). The transformation of HIV into a chronic condition, coupled with regional disparities and evolving epidemiological trends, necessitates an updated analysis of the disease burden.</p><p><strong>Methods: </strong>We conducted a comprehensive analysis of HIV/AIDS burden among individuals aged 15-79 years from 1990 to 2021 using the latest data from the Global Burden of Diseases, Injuries, and Risk Factors Study (GBD) 2021 database. Multiple statistical approaches were employed to investigate temporal trends, geographic variations, and health inequalities.</p><p><strong>Results: </strong>From 1990 to 2021, global HIV/AIDS age-standardized incidence rates (ASIR) decreased by 41%, while age-standardized prevalence rates (ASPR), mortality rates (ASMR), and disability-adjusted life year rates increased by 222%, 57%, and 59%, respectively. Sub-Saharan Africa demonstrated the highest HIV/AIDS ASPR in 2021, with High-middle and Middle SDI regions, particularly Oceania, South Asia, and Eastern Europe, experiencing the most significant ASPR growth over three decades. Joinpoint analysis identified 1997 and 2015 as critical years for ASIR declines, and 2004 for ASMR reductions. Decomposition analysis revealed population growth as the primary driver of increasing incidence in lower SDI regions, while epidemiological changes were more influential in higher SDI areas. The age-period-cohort model showed peak HIV/AIDS incidence among individuals aged 25-34, with diminishing incidence risk across successive birth cohorts and periods. Health inequality analysis from 1990 to 2021 revealed a substantial widening of disparities across countries, with the slope index of inequality rising from 265 to 1006.</p><p><strong>Conclusion: </strong>While global efforts have reduced HIV/AIDS incidence, increasing prevalence due to extended survival with antiretroviral therapy presents ongoing challenges. Regional disparities and rising incidence among specific demographics underscore the need for sustained, targeted interventions.</p>","PeriodicalId":7503,"journal":{"name":"AIDS Research and Therapy","volume":"22 1","pages":"51"},"PeriodicalIF":2.5000,"publicationDate":"2025-05-06","publicationTypes":"Journal Article","fieldsOfStudy":null,"isOpenAccess":false,"openAccessPdf":"https://www.ncbi.nlm.nih.gov/pmc/articles/PMC12057008/pdf/","citationCount":"0","resultStr":null,"platform":"Semanticscholar","paperid":null,"PeriodicalName":"AIDS Research and Therapy","FirstCategoryId":"3","ListUrlMain":"https://doi.org/10.1186/s12981-025-00745-5","RegionNum":4,"RegionCategory":"医学","ArticlePicture":[],"TitleCN":null,"AbstractTextCN":null,"PMCID":null,"EPubDate":"","PubModel":"","JCR":"Q3","JCRName":"INFECTIOUS DISEASES","Score":null,"Total":0}
引用次数: 0

Abstract

Background: HIV/AIDS persists as a global health challenge despite significant advancements in antiretroviral therapy (ART). The transformation of HIV into a chronic condition, coupled with regional disparities and evolving epidemiological trends, necessitates an updated analysis of the disease burden.

Methods: We conducted a comprehensive analysis of HIV/AIDS burden among individuals aged 15-79 years from 1990 to 2021 using the latest data from the Global Burden of Diseases, Injuries, and Risk Factors Study (GBD) 2021 database. Multiple statistical approaches were employed to investigate temporal trends, geographic variations, and health inequalities.

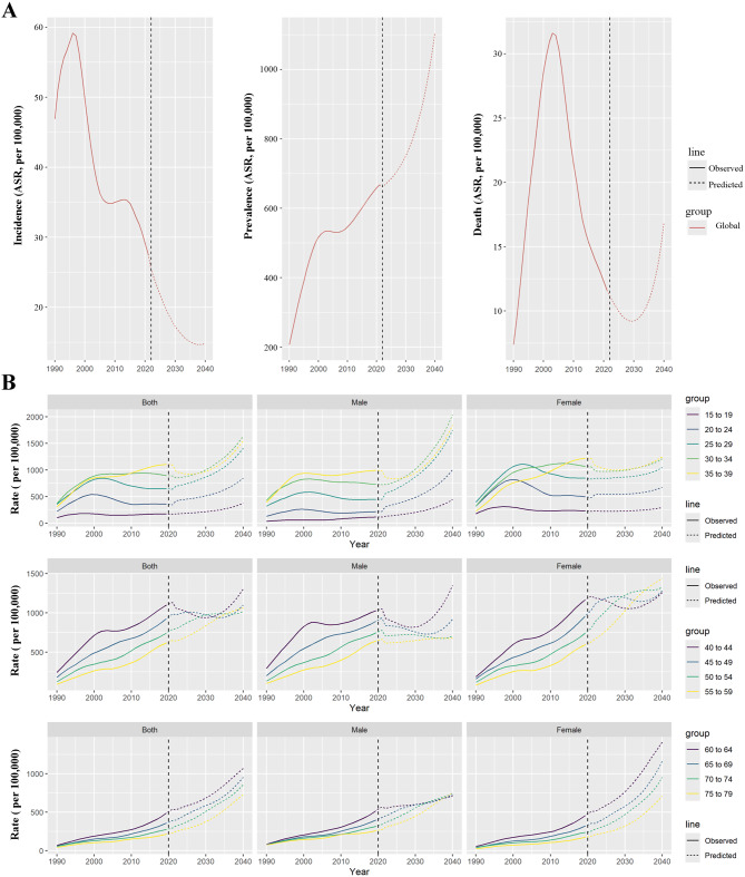
Results: From 1990 to 2021, global HIV/AIDS age-standardized incidence rates (ASIR) decreased by 41%, while age-standardized prevalence rates (ASPR), mortality rates (ASMR), and disability-adjusted life year rates increased by 222%, 57%, and 59%, respectively. Sub-Saharan Africa demonstrated the highest HIV/AIDS ASPR in 2021, with High-middle and Middle SDI regions, particularly Oceania, South Asia, and Eastern Europe, experiencing the most significant ASPR growth over three decades. Joinpoint analysis identified 1997 and 2015 as critical years for ASIR declines, and 2004 for ASMR reductions. Decomposition analysis revealed population growth as the primary driver of increasing incidence in lower SDI regions, while epidemiological changes were more influential in higher SDI areas. The age-period-cohort model showed peak HIV/AIDS incidence among individuals aged 25-34, with diminishing incidence risk across successive birth cohorts and periods. Health inequality analysis from 1990 to 2021 revealed a substantial widening of disparities across countries, with the slope index of inequality rising from 265 to 1006.

Conclusion: While global efforts have reduced HIV/AIDS incidence, increasing prevalence due to extended survival with antiretroviral therapy presents ongoing challenges. Regional disparities and rising incidence among specific demographics underscore the need for sustained, targeted interventions.

Abstract Image

Abstract Image

Abstract Image

1990年至2021年15-79岁人群的全球、区域和国家艾滋病毒/艾滋病负担。
背景:尽管抗逆转录病毒疗法(ART)取得了重大进展,但艾滋病毒/艾滋病仍然是全球健康挑战。艾滋病毒已转变为慢性疾病,再加上区域差异和流行病学趋势的演变,有必要对疾病负担进行最新分析。方法:我们利用全球疾病、伤害和危险因素负担研究(GBD) 2021数据库的最新数据,对1990年至2021年15-79岁人群的艾滋病毒/艾滋病负担进行了全面分析。采用了多种统计方法来调查时间趋势、地理差异和健康不平等。结果:从1990年到2021年,全球艾滋病毒/艾滋病年龄标准化发病率(ASIR)下降了41%,而年龄标准化患病率(ASPR)、死亡率(ASMR)和残疾调整生命年率分别上升了222%、57%和59%。撒哈拉以南非洲在2021年显示出最高的艾滋病毒/艾滋病ASPR,其中高中等和中等SDI地区,特别是大洋洲、南亚和东欧,在过去三十年中经历了最显著的ASPR增长。联合点分析确定1997年和2015年是ASIR下降的关键年份,2004年是ASMR减少的关键年份。分解分析显示,人口增长是低SDI地区发病率增加的主要驱动因素,而流行病学变化对高SDI地区的影响更大。年龄-时期-队列模型显示,25-34岁人群的艾滋病毒/艾滋病发病率最高,在连续的出生队列和时期中发病率风险降低。从1990年到2021年的卫生不平等分析显示,各国之间的差距大幅扩大,不平等的斜率指数从265上升到1006。结论:尽管全球努力降低了艾滋病毒/艾滋病的发病率,但由于抗逆转录病毒治疗延长了患者的生存期,艾滋病毒/艾滋病的患病率不断上升,这是一个持续的挑战。区域差异和特定人口中发病率的上升突出表明需要采取持续的、有针对性的干预措施。
本文章由计算机程序翻译,如有差异,请以英文原文为准。
求助全文
约1分钟内获得全文 求助全文
来源期刊
AIDS Research and Therapy
AIDS Research and Therapy INFECTIOUS DISEASES-
CiteScore
3.80
自引率
4.50%
发文量
51
审稿时长
16 weeks
期刊介绍: AIDS Research and Therapy publishes articles on basic science, translational, clinical, social, epidemiological, behavioral and educational sciences articles focused on the treatment and prevention of HIV/AIDS, and the search for the cure. The Journal publishes articles on novel and developing treatment strategies for AIDS as well as on the outcomes of established treatment strategies. Original research articles on animal models that form an essential part of the AIDS treatment research are also considered
×
引用
GB/T 7714-2015
复制
MLA
复制
APA
复制
导出至
BibTeX EndNote RefMan NoteFirst NoteExpress
×
提示
您的信息不完整,为了账户安全,请先补充。
现在去补充
×
提示
您因"违规操作"
具体请查看互助需知
我知道了
×
提示
确定
请完成安全验证×
copy
已复制链接
快去分享给好友吧!
我知道了
右上角分享
点击右上角分享
0
联系我们:info@booksci.cn Book学术提供免费学术资源搜索服务,方便国内外学者检索中英文文献。致力于提供最便捷和优质的服务体验。 Copyright © 2023 布克学术 All rights reserved.
京ICP备2023020795号-1
ghs 京公网安备 11010802042870号
Book学术文献互助
Book学术文献互助群
群 号:604180095
Book学术官方微信