Cu-Bpin-mediated dimerization of 4,4-dichloro-2-butenoic acid derivatives enables the synthesis of densely functionalized cyclopropanes.

IF 2.1 4区 化学 Q2 CHEMISTRY, ORGANIC
Beilstein Journal of Organic Chemistry Pub Date : 2025-05-05 eCollection Date: 2025-01-01 DOI:10.3762/bjoc.21.71
Patricia Gómez-Roibás, Andrea Chaves-Pouso, Martín Fañanás-Mastral
{"title":"Cu-Bpin-mediated dimerization of 4,4-dichloro-2-butenoic acid derivatives enables the synthesis of densely functionalized cyclopropanes.","authors":"Patricia Gómez-Roibás, Andrea Chaves-Pouso, Martín Fañanás-Mastral","doi":"10.3762/bjoc.21.71","DOIUrl":null,"url":null,"abstract":"<p><p>4,4-Dichloro-2-butenoic acid derivatives are shown to undergo a rare dimerization process when reacted with bis(pinacolato)diboron under copper catalysis. The reaction provides densely functionalized products with excellent levels of chemo-, regio-, and diastereoselectivity. This high degree of functionalization makes these products versatile building blocks for the stereoselective synthesis of chlorocyclopropanes.</p>","PeriodicalId":8756,"journal":{"name":"Beilstein Journal of Organic Chemistry","volume":"21 ","pages":"877-883"},"PeriodicalIF":2.1000,"publicationDate":"2025-05-05","publicationTypes":"Journal Article","fieldsOfStudy":null,"isOpenAccess":false,"openAccessPdf":"https://www.ncbi.nlm.nih.gov/pmc/articles/PMC12067098/pdf/","citationCount":"0","resultStr":null,"platform":"Semanticscholar","paperid":null,"PeriodicalName":"Beilstein Journal of Organic Chemistry","FirstCategoryId":"92","ListUrlMain":"https://doi.org/10.3762/bjoc.21.71","RegionNum":4,"RegionCategory":"化学","ArticlePicture":[],"TitleCN":null,"AbstractTextCN":null,"PMCID":null,"EPubDate":"2025/1/1 0:00:00","PubModel":"eCollection","JCR":"Q2","JCRName":"CHEMISTRY, ORGANIC","Score":null,"Total":0}
引用次数: 0

Abstract

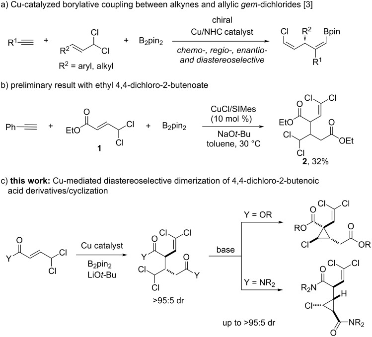
4,4-Dichloro-2-butenoic acid derivatives are shown to undergo a rare dimerization process when reacted with bis(pinacolato)diboron under copper catalysis. The reaction provides densely functionalized products with excellent levels of chemo-, regio-, and diastereoselectivity. This high degree of functionalization makes these products versatile building blocks for the stereoselective synthesis of chlorocyclopropanes.

Abstract Image

Abstract Image

Abstract Image

cu - bpin介导的4,4-二氯-2-丁烯酸衍生物二聚化反应可以合成密集功能化的环丙烷。
4,4-二氯-2-丁酸衍生物在铜催化下与双(pinacolato)二硼反应时发生了罕见的二聚化过程。该反应提供了高度功能化的产物,具有优异的化学选择性、区域选择性和非对映选择性。这种高度的功能化使这些产品成为立体选择性合成氯环丙烷的通用构件。
本文章由计算机程序翻译,如有差异,请以英文原文为准。
求助全文
约1分钟内获得全文 求助全文
来源期刊
CiteScore
4.90
自引率
3.70%
发文量
167
审稿时长
1.4 months
期刊介绍: The Beilstein Journal of Organic Chemistry is an international, peer-reviewed, Open Access journal. It provides a unique platform for rapid publication without any charges (free for author and reader) – Platinum Open Access. The content is freely accessible 365 days a year to any user worldwide. Articles are available online immediately upon publication and are publicly archived in all major repositories. In addition, it provides a platform for publishing thematic issues (theme-based collections of articles) on topical issues in organic chemistry. The journal publishes high quality research and reviews in all areas of organic chemistry, including organic synthesis, organic reactions, natural product chemistry, structural investigations, supramolecular chemistry and chemical biology.
×
引用
GB/T 7714-2015
复制
MLA
复制
APA
复制
导出至
BibTeX EndNote RefMan NoteFirst NoteExpress
×
提示
您的信息不完整,为了账户安全,请先补充。
现在去补充
×
提示
您因"违规操作"
具体请查看互助需知
我知道了
×
提示
确定
请完成安全验证×
copy
已复制链接
快去分享给好友吧!
我知道了
右上角分享
点击右上角分享
0
联系我们:info@booksci.cn Book学术提供免费学术资源搜索服务,方便国内外学者检索中英文文献。致力于提供最便捷和优质的服务体验。 Copyright © 2023 布克学术 All rights reserved.
京ICP备2023020795号-1
ghs 京公网安备 11010802042870号
Book学术文献互助
Book学术文献互助群
群 号:604180095
Book学术官方微信