P-ROSC, UB-ROSC, and RACA Scores in Predicting the Return of Spontaneous Circulation in Out-of-hospital Cardiac Arrest: A Retrospective Cohort.

IF 2 Q1 EMERGENCY MEDICINE
Archives of Academic Emergency Medicine Pub Date : 2025-03-17 eCollection Date: 2025-01-01 DOI:10.22037/aaemj.v13i1.2631
Tanakorn Janbavonkij, Chaiyaporn Yuksen, Kasamon Aramvanitch, Pitsucha Sanguanwit, Thanakorn Laksanamapune, Chetsadakon Jenpanitpong, Suteenun Seesuklom
{"title":"P-ROSC, UB-ROSC, and RACA Scores in Predicting the Return of Spontaneous Circulation in Out-of-hospital Cardiac Arrest: A Retrospective Cohort.","authors":"Tanakorn Janbavonkij, Chaiyaporn Yuksen, Kasamon Aramvanitch, Pitsucha Sanguanwit, Thanakorn Laksanamapune, Chetsadakon Jenpanitpong, Suteenun Seesuklom","doi":"10.22037/aaemj.v13i1.2631","DOIUrl":null,"url":null,"abstract":"<p><strong>Introduction: </strong>Prehospital Return of Spontaneous Circulation (P-ROSC), Utstein-Based Return of Spontaneous Circulation (UB-ROSC), and Return of Spontaneous Circulation After Cardiac Arrest (RACA) scores have been developed to estimate the likelihood of Return of Spontaneous Circulation (ROSC) in Out-of-hospital cardiac arrest (OHCA). This study aimed to validate and compare these three scoring systems.</p><p><strong>Methods: </strong>A retrospective cohort study was conducted using electronic medical records of OHCA patients transported by Ramathibodi Emergency Medical Service (EMS) from January 2021 to October 2024. We included all OHCA patients aged >18 years who transported by Ramathibodi EMS. RACA, UB-ROSC, and P-ROSC scores were calculated, and ROSC was recorded. The area under the ROC curve (AUC) of each score were calculated to assess predictive accuracy.</p><p><strong>Results: </strong>Among 336 OHCA cases, 94 (27.97%) patients achieved ROSC. The RACA score demonstrated the highest predictive accuracy, with an AUC of 0.77 (95% CI: 0.71-0.82). The UB-ROSC score followed with an AUC of 0.72 (95% CI: 0.66-0.78), while the P-ROSC score had the lowest predictive value with an AUC of 0.64 (95% CI: 0.58-0.70). Calibration analysis indicated that the RACA score aligned most closely with observed outcomes compared to the UB-ROSC and P-ROSC scores. The RACA score exhibited the best overall performance in terms of both discrimination and calibration.</p><p><strong>Conclusions: </strong>Among the three predictive models assessed, the RACA and UB-ROSC scores demonstrated fair predictive accuracy for ROSC in OHCA patients, while the P-ROSC score had poor predictive value.</p>","PeriodicalId":8146,"journal":{"name":"Archives of Academic Emergency Medicine","volume":"13 1","pages":"e39"},"PeriodicalIF":2.0000,"publicationDate":"2025-03-17","publicationTypes":"Journal Article","fieldsOfStudy":null,"isOpenAccess":false,"openAccessPdf":"https://www.ncbi.nlm.nih.gov/pmc/articles/PMC12065029/pdf/","citationCount":"0","resultStr":null,"platform":"Semanticscholar","paperid":null,"PeriodicalName":"Archives of Academic Emergency Medicine","FirstCategoryId":"1085","ListUrlMain":"https://doi.org/10.22037/aaemj.v13i1.2631","RegionNum":0,"RegionCategory":null,"ArticlePicture":[],"TitleCN":null,"AbstractTextCN":null,"PMCID":null,"EPubDate":"2025/1/1 0:00:00","PubModel":"eCollection","JCR":"Q1","JCRName":"EMERGENCY MEDICINE","Score":null,"Total":0}
引用次数: 0

Abstract

Introduction: Prehospital Return of Spontaneous Circulation (P-ROSC), Utstein-Based Return of Spontaneous Circulation (UB-ROSC), and Return of Spontaneous Circulation After Cardiac Arrest (RACA) scores have been developed to estimate the likelihood of Return of Spontaneous Circulation (ROSC) in Out-of-hospital cardiac arrest (OHCA). This study aimed to validate and compare these three scoring systems.

Methods: A retrospective cohort study was conducted using electronic medical records of OHCA patients transported by Ramathibodi Emergency Medical Service (EMS) from January 2021 to October 2024. We included all OHCA patients aged >18 years who transported by Ramathibodi EMS. RACA, UB-ROSC, and P-ROSC scores were calculated, and ROSC was recorded. The area under the ROC curve (AUC) of each score were calculated to assess predictive accuracy.

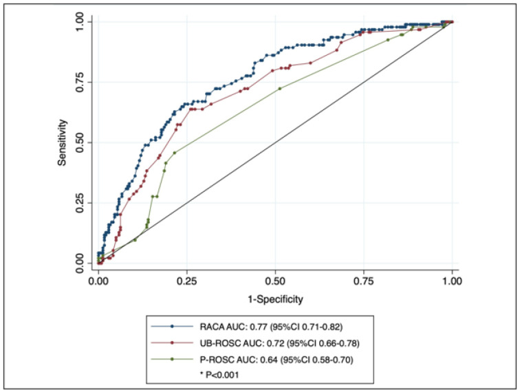
Results: Among 336 OHCA cases, 94 (27.97%) patients achieved ROSC. The RACA score demonstrated the highest predictive accuracy, with an AUC of 0.77 (95% CI: 0.71-0.82). The UB-ROSC score followed with an AUC of 0.72 (95% CI: 0.66-0.78), while the P-ROSC score had the lowest predictive value with an AUC of 0.64 (95% CI: 0.58-0.70). Calibration analysis indicated that the RACA score aligned most closely with observed outcomes compared to the UB-ROSC and P-ROSC scores. The RACA score exhibited the best overall performance in terms of both discrimination and calibration.

Conclusions: Among the three predictive models assessed, the RACA and UB-ROSC scores demonstrated fair predictive accuracy for ROSC in OHCA patients, while the P-ROSC score had poor predictive value.

Abstract Image

Abstract Image

Abstract Image

P-ROSC、UB-ROSC和RACA评分预测院外心脏骤停患者自发循环恢复:一项回顾性队列研究
导论:院前自发循环恢复(P-ROSC)、基于utstein的自发循环恢复(UB-ROSC)和心脏骤停后自发循环恢复(RACA)评分已经被开发出来,以估计院外心脏骤停(OHCA)中自发循环恢复(ROSC)的可能性。本研究旨在验证和比较这三种评分系统。方法:对2021年1月至2024年10月Ramathibodi急救医疗中心(EMS)运送的OHCA患者的电子病历进行回顾性队列研究。我们纳入了所有由Ramathibodi EMS运送的年龄在bb0 - 18岁的OHCA患者。计算RACA、UB-ROSC、P-ROSC评分,并记录ROSC。计算各评分的ROC曲线下面积(AUC)来评估预测的准确性。结果:336例OHCA患者中,94例(27.97%)达到ROSC。RACA评分显示出最高的预测准确性,AUC为0.77 (95% CI: 0.71-0.82)。其次是UB-ROSC评分,AUC为0.72 (95% CI: 0.66-0.78),而P-ROSC评分的预测值最低,AUC为0.64 (95% CI: 0.58-0.70)。校准分析表明,与UB-ROSC和P-ROSC评分相比,RACA评分与观察结果最接近。RACA评分在辨别力和校正力两方面均表现出最好的综合表现。结论:在评估的三种预测模型中,RACA和UB-ROSC评分对OHCA患者ROSC的预测准确性较好,而P-ROSC评分的预测价值较差。
本文章由计算机程序翻译,如有差异,请以英文原文为准。
求助全文
约1分钟内获得全文 求助全文
来源期刊
Archives of Academic Emergency Medicine
Archives of Academic Emergency Medicine Medicine-Emergency Medicine
CiteScore
8.90
自引率
7.40%
发文量
0
审稿时长
6 weeks
×
引用
GB/T 7714-2015
复制
MLA
复制
APA
复制
导出至
BibTeX EndNote RefMan NoteFirst NoteExpress
×
提示
您的信息不完整,为了账户安全,请先补充。
现在去补充
×
提示
您因"违规操作"
具体请查看互助需知
我知道了
×
提示
确定
请完成安全验证×
copy
已复制链接
快去分享给好友吧!
我知道了
右上角分享
点击右上角分享
0
联系我们:info@booksci.cn Book学术提供免费学术资源搜索服务,方便国内外学者检索中英文文献。致力于提供最便捷和优质的服务体验。 Copyright © 2023 布克学术 All rights reserved.
京ICP备2023020795号-1
ghs 京公网安备 11010802042870号
Book学术文献互助
Book学术文献互助群
群 号:604180095
Book学术官方微信