Different Intensities of Physical Activity and Risk of Male Genital Cancers: Exploring Potential Causal Relationships.

IF 2.4 4区 医学 Q3 PUBLIC, ENVIRONMENTAL & OCCUPATIONAL HEALTH
American Journal of Men's Health Pub Date : 2025-03-01 Epub Date: 2025-04-23 DOI:10.1177/15579883251332732
Kexin Zhen, Lei Huo, Tao Zhu, Ya Li
{"title":"Different Intensities of Physical Activity and Risk of Male Genital Cancers: Exploring Potential Causal Relationships.","authors":"Kexin Zhen, Lei Huo, Tao Zhu, Ya Li","doi":"10.1177/15579883251332732","DOIUrl":null,"url":null,"abstract":"<p><p>Physical activity is associated with cancer of the male genitalia. However, the genetic causality of this association remains unclear. In this study, Mendelian randomization (MR) was used to explore the potential causal relationship between different intensities of physical activity and cancer of the male genitalia. This study utilized single nucleotide polymorphisms (SNPs) associated with vigorous exercise obtained from published genome-wide association studies (GWAS) and summary genetic data associated with male genital cancer from published GWAS. The main analysis method used was the inverse variance weighted (IVW) method for two-sample MR analysis. The heterogeneity of the results was assessed using Cochran's Q statistic, while horizontal pleiotropy was assessed using MR-Egger. Sensitivity analysis included a \"leave-one-out\" test. The results showed that light DIY activity was a risk factor for male genital cancer (OR = 1.045, 95% confidence interval [1.004, 1.089], <i>p</i> = .033). The result passed the sensitivity test. This study found the effect of light DIY activities on male genital cancer. Future studies should further explore the impact of different types of physical activity on specific types of male genital cancer to improve relevant prevention strategies.</p>","PeriodicalId":7429,"journal":{"name":"American Journal of Men's Health","volume":"19 2","pages":"15579883251332732"},"PeriodicalIF":2.4000,"publicationDate":"2025-03-01","publicationTypes":"Journal Article","fieldsOfStudy":null,"isOpenAccess":false,"openAccessPdf":"https://www.ncbi.nlm.nih.gov/pmc/articles/PMC12035183/pdf/","citationCount":"0","resultStr":null,"platform":"Semanticscholar","paperid":null,"PeriodicalName":"American Journal of Men's Health","FirstCategoryId":"3","ListUrlMain":"https://doi.org/10.1177/15579883251332732","RegionNum":4,"RegionCategory":"医学","ArticlePicture":[],"TitleCN":null,"AbstractTextCN":null,"PMCID":null,"EPubDate":"2025/4/23 0:00:00","PubModel":"Epub","JCR":"Q3","JCRName":"PUBLIC, ENVIRONMENTAL & OCCUPATIONAL HEALTH","Score":null,"Total":0}
引用次数: 0

Abstract

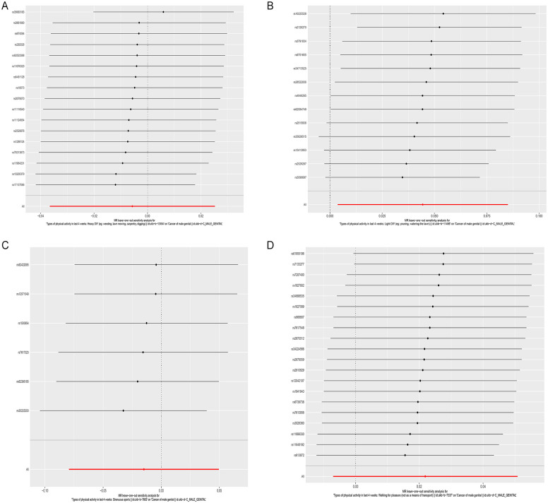
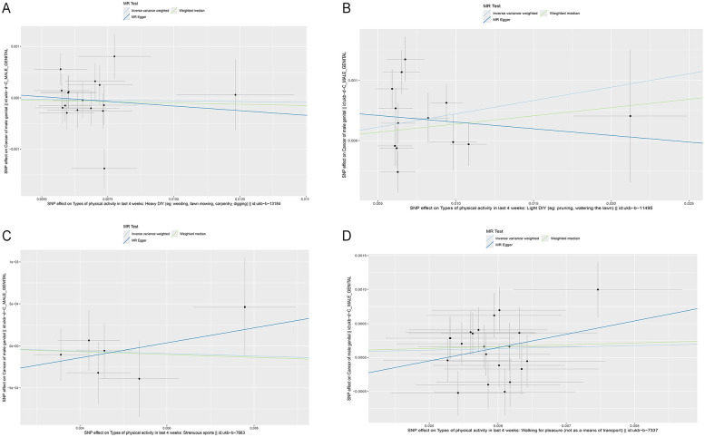
Physical activity is associated with cancer of the male genitalia. However, the genetic causality of this association remains unclear. In this study, Mendelian randomization (MR) was used to explore the potential causal relationship between different intensities of physical activity and cancer of the male genitalia. This study utilized single nucleotide polymorphisms (SNPs) associated with vigorous exercise obtained from published genome-wide association studies (GWAS) and summary genetic data associated with male genital cancer from published GWAS. The main analysis method used was the inverse variance weighted (IVW) method for two-sample MR analysis. The heterogeneity of the results was assessed using Cochran's Q statistic, while horizontal pleiotropy was assessed using MR-Egger. Sensitivity analysis included a "leave-one-out" test. The results showed that light DIY activity was a risk factor for male genital cancer (OR = 1.045, 95% confidence interval [1.004, 1.089], p = .033). The result passed the sensitivity test. This study found the effect of light DIY activities on male genital cancer. Future studies should further explore the impact of different types of physical activity on specific types of male genital cancer to improve relevant prevention strategies.

Abstract Image

Abstract Image

Abstract Image

不同强度的体育活动与男性生殖器癌的风险:探讨潜在的因果关系。
体育锻炼与男性生殖器癌有关。然而,这种关联的遗传因果关系尚不清楚。本研究采用孟德尔随机化方法探讨不同运动强度与男性生殖器癌之间的潜在因果关系。本研究利用了从已发表的全基因组关联研究(GWAS)中获得的与剧烈运动相关的单核苷酸多态性(snp)和已发表的全基因组关联研究(GWAS)中与男性生殖器癌相关的遗传数据汇总。双样本MR分析的主要分析方法是逆方差加权法(IVW)。结果的异质性采用科克伦Q统计量进行评估,水平多效性采用MR-Egger进行评估。敏感性分析包括“留一”测试。结果显示,轻度DIY活动是男性生殖器癌的危险因素(OR = 1.045, 95%可信区间[1.004,1.089],p = 0.033)。结果通过了灵敏度测试。这项研究发现了轻度DIY活动对男性生殖器癌的影响。未来的研究应进一步探讨不同类型的体育活动对特定类型男性生殖器癌的影响,以完善相关的预防策略。
本文章由计算机程序翻译,如有差异,请以英文原文为准。
求助全文
约1分钟内获得全文 求助全文
来源期刊
American Journal of Men's Health
American Journal of Men's Health PUBLIC, ENVIRONMENTAL & OCCUPATIONAL HEALTH-
CiteScore
3.70
自引率
4.30%
发文量
107
审稿时长
15 weeks
期刊介绍: American Journal of Men"s Health will be a core resource for cutting-edge information regarding men"s health and illness. The Journal will publish papers from all health, behavioral and social disciplines, including but not limited to medicine, nursing, allied health, public health, health psychology/behavioral medicine, and medical sociology and anthropology.
×
引用
GB/T 7714-2015
复制
MLA
复制
APA
复制
导出至
BibTeX EndNote RefMan NoteFirst NoteExpress
×
提示
您的信息不完整,为了账户安全,请先补充。
现在去补充
×
提示
您因"违规操作"
具体请查看互助需知
我知道了
×
提示
确定
请完成安全验证×
copy
已复制链接
快去分享给好友吧!
我知道了
右上角分享
点击右上角分享
0
联系我们:info@booksci.cn Book学术提供免费学术资源搜索服务,方便国内外学者检索中英文文献。致力于提供最便捷和优质的服务体验。 Copyright © 2023 布克学术 All rights reserved.
京ICP备2023020795号-1
ghs 京公网安备 11010802042870号
Book学术文献互助
Book学术文献互助群
群 号:604180095
Book学术官方微信