Mutation burden of narrowband ultraviolet B phototherapy (NB-UVB) in human skin: relevance to NB-UVB lifetime exposures and skin cancer surveillance.

IF 9.6 1区 医学 Q1 DERMATOLOGY
Joanna C Fowler, Roshan K Sood, George Coltart, Chester Lai, Noeline Nadarajah, John W Holloway, Matthew J J Rose-Zerilli, Brian Diffey, Philip H Jones, Eugene Healy
{"title":"Mutation burden of narrowband ultraviolet B phototherapy (NB-UVB) in human skin: relevance to NB-UVB lifetime exposures and skin cancer surveillance.","authors":"Joanna C Fowler, Roshan K Sood, George Coltart, Chester Lai, Noeline Nadarajah, John W Holloway, Matthew J J Rose-Zerilli, Brian Diffey, Philip H Jones, Eugene Healy","doi":"10.1093/bjd/ljaf173","DOIUrl":null,"url":null,"abstract":"<p><strong>Background: </strong>Ultraviolet radiation (UVR) is used as treatment for psoriasis and other skin diseases, but UVR can induce DNA mutations that may lead to skin cancer development. While skin cancers have been documented in patients treated with phototherapy, a limited number of epidemiological studies have examined the incidence of skin cancer in people receiving narrowband ultraviolet B (NB-UVB) treatment. Information on the mutagenicity of NB-UVB would help inform about the potential skin cancer risks of this treatment.</p><p><strong>Objectives: </strong>To determine the mutation burden in human skin resulting from a NB-UVB treatment course and to use this data to estimate the total number of NB-UVB exposures whereupon skin cancer surveillance should begin.</p><p><strong>Methods: </strong>Biopsies of normal skin were obtained before and after a course of NB-UVB from 16 patients with psoriasis. Epidermal DNA was sequenced using nanorate sequencing (NanoSeq) to determine the mutational signatures and mutation burden from NB-UVB.</p><p><strong>Results: </strong>The NB-UVB treatment course increased the number of mutations in skin. Median increase in mutation burden was 0.55 substitutions per Mb in infrequently sun-exposed (buttock; n = 14) skin and 0.89 substitutions per Mb in frequently sun-exposed (forearm; n = 10) skin (P < 0.001). Change in mutation burden due to NB-UVB ranged from 1.16- to 10.50-fold in buttock skin and from 0.93- to 2.33-fold in forearm skin. This increase was mainly attributable to UVR exposure-linked mutational signatures, SBS7a and SBS7b, with some evidence that mutational burden was related to the genetic background of the individual. Modelling the change in mutation burden from NB-UVB relative to minimal erythema dose (MED) in comparison with average mutation burden in keratinocyte skin cancers allowed estimation of total lifetime exposures at which patients are likely to require skin cancer surveillance; for patients with a MED equal to 2 standard erythemal doses (SEDs), skin cancer surveillance should be offered at 422, 165 and 58 NB-UVB exposures for those receiving low, typical and high levels of sun exposure, respectively.</p><p><strong>Conclusions: </strong>A treatment course of NB-UVB causes UVR-induced mutations in the healthy skin of patients with psoriasis. Relating mutation burden to MED and sun behaviour habits allows estimation of when to begin skin cancer surveillance according to total lifetime NB-UVB exposures.</p>","PeriodicalId":9238,"journal":{"name":"British Journal of Dermatology","volume":" ","pages":"718-728"},"PeriodicalIF":9.6000,"publicationDate":"2025-09-18","publicationTypes":"Journal Article","fieldsOfStudy":null,"isOpenAccess":false,"openAccessPdf":"https://www.ncbi.nlm.nih.gov/pmc/articles/PMC12448954/pdf/","citationCount":"0","resultStr":null,"platform":"Semanticscholar","paperid":null,"PeriodicalName":"British Journal of Dermatology","FirstCategoryId":"3","ListUrlMain":"https://doi.org/10.1093/bjd/ljaf173","RegionNum":1,"RegionCategory":"医学","ArticlePicture":[],"TitleCN":null,"AbstractTextCN":null,"PMCID":null,"EPubDate":"","PubModel":"","JCR":"Q1","JCRName":"DERMATOLOGY","Score":null,"Total":0}
引用次数: 0

Abstract

Background: Ultraviolet radiation (UVR) is used as treatment for psoriasis and other skin diseases, but UVR can induce DNA mutations that may lead to skin cancer development. While skin cancers have been documented in patients treated with phototherapy, a limited number of epidemiological studies have examined the incidence of skin cancer in people receiving narrowband ultraviolet B (NB-UVB) treatment. Information on the mutagenicity of NB-UVB would help inform about the potential skin cancer risks of this treatment.

Objectives: To determine the mutation burden in human skin resulting from a NB-UVB treatment course and to use this data to estimate the total number of NB-UVB exposures whereupon skin cancer surveillance should begin.

Methods: Biopsies of normal skin were obtained before and after a course of NB-UVB from 16 patients with psoriasis. Epidermal DNA was sequenced using nanorate sequencing (NanoSeq) to determine the mutational signatures and mutation burden from NB-UVB.

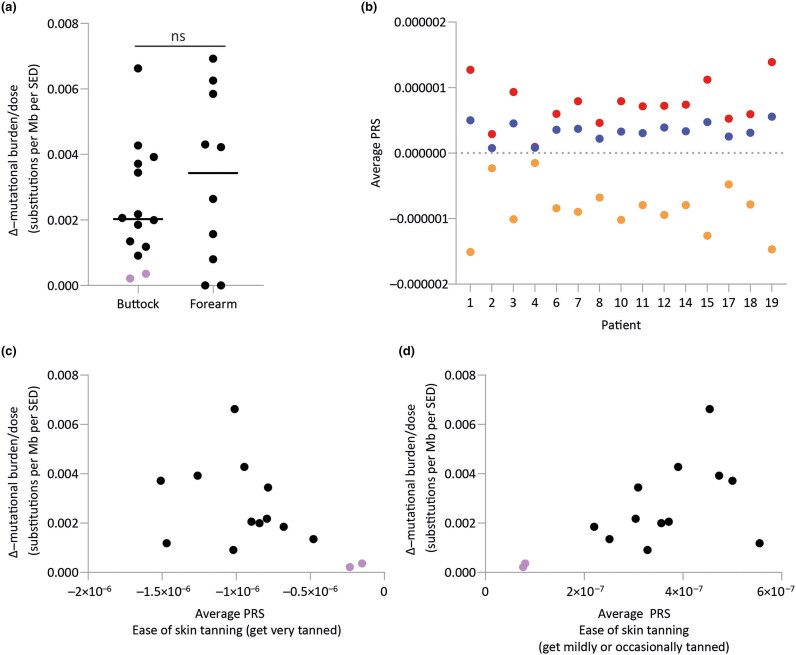
Results: The NB-UVB treatment course increased the number of mutations in skin. Median increase in mutation burden was 0.55 substitutions per Mb in infrequently sun-exposed (buttock; n = 14) skin and 0.89 substitutions per Mb in frequently sun-exposed (forearm; n = 10) skin (P < 0.001). Change in mutation burden due to NB-UVB ranged from 1.16- to 10.50-fold in buttock skin and from 0.93- to 2.33-fold in forearm skin. This increase was mainly attributable to UVR exposure-linked mutational signatures, SBS7a and SBS7b, with some evidence that mutational burden was related to the genetic background of the individual. Modelling the change in mutation burden from NB-UVB relative to minimal erythema dose (MED) in comparison with average mutation burden in keratinocyte skin cancers allowed estimation of total lifetime exposures at which patients are likely to require skin cancer surveillance; for patients with a MED equal to 2 standard erythemal doses (SEDs), skin cancer surveillance should be offered at 422, 165 and 58 NB-UVB exposures for those receiving low, typical and high levels of sun exposure, respectively.

Conclusions: A treatment course of NB-UVB causes UVR-induced mutations in the healthy skin of patients with psoriasis. Relating mutation burden to MED and sun behaviour habits allows estimation of when to begin skin cancer surveillance according to total lifetime NB-UVB exposures.

Abstract Image

Abstract Image

Abstract Image

窄带紫外线B光疗(NB-UVB)对人体皮肤的突变负荷NB-UVB终身暴露与皮肤癌监测的相关性
背景:紫外线辐射(UVR)被用于治疗牛皮癣和其他皮肤病,但UVR可诱导DNA突变,从而可能导致皮肤癌的发展。虽然有文献表明接受光疗治疗的患者会患皮肤癌,但有限数量的流行病学研究调查了接受窄带紫外线B (NB-UVB)治疗的患者的皮肤癌发病率。有关NB-UVB致突变性的信息将有助于了解这种治疗的潜在皮肤癌风险。目的:确定由NB-UVB治疗过程引起的人类皮肤突变负担,并利用该数据估计NB-UVB暴露的总数,从而开始皮肤癌监测。方法:对16例银屑病患者进行NB-UVB治疗前后正常皮肤活检。利用纳米测序(NanoSeq)对表皮DNA进行测序,以确定NB-UVB的突变特征和突变负荷。结果:NB-UVB治疗增加了皮肤突变的数量。突变负荷增加的中位数分别为0.55代/Mb和0.89代/Mb, P= 0.0001 (n=14)和P=0.0098 (n=10)。NB-UVB引起的臀部皮肤突变负荷变化为1.16 - 10.5倍,前臂皮肤突变负荷变化为0.93 - 2.33倍。这一增加主要归因于uvr暴露相关的突变特征SBS7a和SBS7b,一些证据表明突变负担与个体的遗传背景有关。通过对相对于最小红斑剂量(MED)的NB-UVB突变负担的变化进行建模,并与角化细胞皮肤癌的平均突变负担进行比较,可以估计患者可能需要皮肤癌监测的总终生暴露量;对于MED等于2个标准红斑剂量(SEDs)的患者,对于接受低、典型和高水平阳光照射的患者,应分别在422、165和58 NB-UVB照射时进行皮肤癌监测。结论:一个疗程的NB-UVB可导致银屑病患者正常皮肤发生uvr诱导的突变。将突变负担与MED和太阳行为习惯联系起来,可以根据一生中总NB-UVB暴露量来估计何时开始皮肤癌监测。
本文章由计算机程序翻译,如有差异,请以英文原文为准。
求助全文
约1分钟内获得全文 求助全文
来源期刊
British Journal of Dermatology
British Journal of Dermatology 医学-皮肤病学
CiteScore
16.30
自引率
3.90%
发文量
1062
审稿时长
2-4 weeks
期刊介绍: The British Journal of Dermatology (BJD) is committed to publishing the highest quality dermatological research. Through its publications, the journal seeks to advance the understanding, management, and treatment of skin diseases, ultimately aiming to improve patient outcomes.
×
引用
GB/T 7714-2015
复制
MLA
复制
APA
复制
导出至
BibTeX EndNote RefMan NoteFirst NoteExpress
×
提示
您的信息不完整,为了账户安全,请先补充。
现在去补充
×
提示
您因"违规操作"
具体请查看互助需知
我知道了
×
提示
确定
请完成安全验证×
copy
已复制链接
快去分享给好友吧!
我知道了
右上角分享
点击右上角分享
0
联系我们:info@booksci.cn Book学术提供免费学术资源搜索服务,方便国内外学者检索中英文文献。致力于提供最便捷和优质的服务体验。 Copyright © 2023 布克学术 All rights reserved.
京ICP备2023020795号-1
ghs 京公网安备 11010802042870号
Book学术文献互助
Book学术文献互助群
群 号:604180095
Book学术官方微信