Reliability analysis of hospital infusion pumps: a case study.

IF 2.9 4区 医学 Q3 ENGINEERING, BIOMEDICAL
Mayla Dos S Silva, Maria Alzira de A Nunes, Suélia de Siqueira R F Rosa, Antônio Piratelli-Filho
{"title":"Reliability analysis of hospital infusion pumps: a case study.","authors":"Mayla Dos S Silva, Maria Alzira de A Nunes, Suélia de Siqueira R F Rosa, Antônio Piratelli-Filho","doi":"10.1186/s12938-025-01389-2","DOIUrl":null,"url":null,"abstract":"<p><strong>Background: </strong>Infusion pumps (IPs) are medical devices used for the continuous and precise delivery of medications or nutrients. Their use has expanded and is now widespread in emergency rooms, ICUs, pediatrics, and other hospital departments. Failures in IPs can lead to adverse events, compromising patient health. In addition to the risks to patients, IPs are the medical devices most frequently associated with reports of adverse events in Brazil, highlighting the need to monitor their operational conditions to minimize failures during use.</p><p><strong>Results: </strong>Thus, the objective of this research is to analyze the reliability of infusion pumps (IPs) in a Brazilian hospital using an internal database from Clinical Engineering software. Probability distributions for repair time and time between failures were modeled, and parameters such as reliability and availability were calculated, with a focus on investigating hospital departments with recurring failures.</p><p><strong>Conclusion: </strong>In evaluating the operating equipment, a lack of detail in failure notes and service order openings was observed, which can hinder maintenance planning. The longest repair times were recorded in the ICU (Neurology), which houses the majority of IPs. Graphical analysis and testing demonstrated that the Weibull distribution effectively models both time between failures and repair time. The IP A model showed better results in terms of availability and reliability, thereby improving the security of the IPs.</p>","PeriodicalId":8927,"journal":{"name":"BioMedical Engineering OnLine","volume":"24 1","pages":"55"},"PeriodicalIF":2.9000,"publicationDate":"2025-05-07","publicationTypes":"Journal Article","fieldsOfStudy":null,"isOpenAccess":false,"openAccessPdf":"https://www.ncbi.nlm.nih.gov/pmc/articles/PMC12060531/pdf/","citationCount":"0","resultStr":null,"platform":"Semanticscholar","paperid":null,"PeriodicalName":"BioMedical Engineering OnLine","FirstCategoryId":"5","ListUrlMain":"https://doi.org/10.1186/s12938-025-01389-2","RegionNum":4,"RegionCategory":"医学","ArticlePicture":[],"TitleCN":null,"AbstractTextCN":null,"PMCID":null,"EPubDate":"","PubModel":"","JCR":"Q3","JCRName":"ENGINEERING, BIOMEDICAL","Score":null,"Total":0}
引用次数: 0

Abstract

Background: Infusion pumps (IPs) are medical devices used for the continuous and precise delivery of medications or nutrients. Their use has expanded and is now widespread in emergency rooms, ICUs, pediatrics, and other hospital departments. Failures in IPs can lead to adverse events, compromising patient health. In addition to the risks to patients, IPs are the medical devices most frequently associated with reports of adverse events in Brazil, highlighting the need to monitor their operational conditions to minimize failures during use.

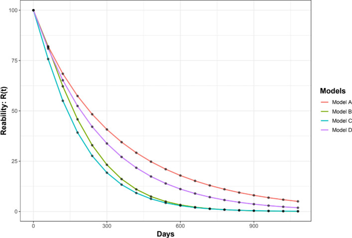
Results: Thus, the objective of this research is to analyze the reliability of infusion pumps (IPs) in a Brazilian hospital using an internal database from Clinical Engineering software. Probability distributions for repair time and time between failures were modeled, and parameters such as reliability and availability were calculated, with a focus on investigating hospital departments with recurring failures.

Conclusion: In evaluating the operating equipment, a lack of detail in failure notes and service order openings was observed, which can hinder maintenance planning. The longest repair times were recorded in the ICU (Neurology), which houses the majority of IPs. Graphical analysis and testing demonstrated that the Weibull distribution effectively models both time between failures and repair time. The IP A model showed better results in terms of availability and reliability, thereby improving the security of the IPs.

Abstract Image

Abstract Image

Abstract Image

医院输液泵可靠性分析:个案研究。
背景:输液泵(IPs)是用于连续和精确输送药物或营养物质的医疗设备。它们的使用已经扩大,现在在急诊室、重症监护室、儿科和其他医院部门广泛使用。IPs失败可能导致不良事件,损害患者健康。除了对患者的风险外,仿制药是巴西最常与不良事件报告相关的医疗设备,这突出表明需要监测其操作条件,以尽量减少使用过程中的故障。结果:因此,本研究的目的是利用临床工程软件的内部数据库分析巴西一家医院输液泵(IPs)的可靠性。建立了维修时间和故障间隔时间的概率分布模型,并计算了可靠性和可用性等参数,重点研究了反复出现故障的医院部门。结论:在评估运行设备时,观察到故障记录和服务订单的细节不足,这可能会阻碍维护计划。最长的修复时间记录在ICU(神经内科),这里容纳了大多数ip。图形分析和测试表明,威布尔分布有效地模拟了故障间隔时间和维修时间。IP A模型在可用性和可靠性方面表现出更好的结果,从而提高了IP的安全性。
本文章由计算机程序翻译,如有差异,请以英文原文为准。
求助全文
约1分钟内获得全文 求助全文
来源期刊
BioMedical Engineering OnLine
BioMedical Engineering OnLine 工程技术-工程:生物医学
CiteScore
6.70
自引率
2.60%
发文量
79
审稿时长
1 months
期刊介绍: BioMedical Engineering OnLine is an open access, peer-reviewed journal that is dedicated to publishing research in all areas of biomedical engineering. BioMedical Engineering OnLine is aimed at readers and authors throughout the world, with an interest in using tools of the physical and data sciences and techniques in engineering to understand and solve problems in the biological and medical sciences. Topical areas include, but are not limited to: Bioinformatics- Bioinstrumentation- Biomechanics- Biomedical Devices & Instrumentation- Biomedical Signal Processing- Healthcare Information Systems- Human Dynamics- Neural Engineering- Rehabilitation Engineering- Biomaterials- Biomedical Imaging & Image Processing- BioMEMS and On-Chip Devices- Bio-Micro/Nano Technologies- Biomolecular Engineering- Biosensors- Cardiovascular Systems Engineering- Cellular Engineering- Clinical Engineering- Computational Biology- Drug Delivery Technologies- Modeling Methodologies- Nanomaterials and Nanotechnology in Biomedicine- Respiratory Systems Engineering- Robotics in Medicine- Systems and Synthetic Biology- Systems Biology- Telemedicine/Smartphone Applications in Medicine- Therapeutic Systems, Devices and Technologies- Tissue Engineering
×
引用
GB/T 7714-2015
复制
MLA
复制
APA
复制
导出至
BibTeX EndNote RefMan NoteFirst NoteExpress
×
提示
您的信息不完整,为了账户安全,请先补充。
现在去补充
×
提示
您因"违规操作"
具体请查看互助需知
我知道了
×
提示
确定
请完成安全验证×
copy
已复制链接
快去分享给好友吧!
我知道了
右上角分享
点击右上角分享
0
联系我们:info@booksci.cn Book学术提供免费学术资源搜索服务,方便国内外学者检索中英文文献。致力于提供最便捷和优质的服务体验。 Copyright © 2023 布克学术 All rights reserved.
京ICP备2023020795号-1
ghs 京公网安备 11010802042870号
Book学术文献互助
Book学术文献互助群
群 号:604180095
Book学术官方微信