Individual and mixtures of PFAS during pregnancy are associated with maternal cardiometabolic outcomes during pregnancy.

IF 5.3 2区 环境科学与生态学 Q1 ENVIRONMENTAL SCIENCES
Clark R Sims, Neha Sehgal, Donald Turner, Lauren A Havens, Andrew J Morris, Kartik Shankar, Kevin J Pearson, Todd M Everson, Aline Andres
{"title":"Individual and mixtures of PFAS during pregnancy are associated with maternal cardiometabolic outcomes during pregnancy.","authors":"Clark R Sims, Neha Sehgal, Donald Turner, Lauren A Havens, Andrew J Morris, Kartik Shankar, Kevin J Pearson, Todd M Everson, Aline Andres","doi":"10.1186/s12940-025-01181-8","DOIUrl":null,"url":null,"abstract":"<p><strong>Introduction: </strong>Per- and polyfluoroalkyl substances (PFAS) are endocrine-disrupting chemicals and widespread environmental contaminants. PFAS cross the placental barrier and reach the developing fetus with potential impacts on many organ systems. There are no studies of PFAS in residents of central Arkansas despite reports of environmental contamination in the region. We aimed to quantify PFAS concentrations in repeated serum samples from participants living in central Arkansas and to investigate relationships with maternal cardiometabolic health during pregnancy.</p><p><strong>Methods: </strong>Participants were enrolled during early pregnancy in a longitudinal study (NCT01131117) from 2010 to 2014. PFAS concentrations were measured in serum from each trimester (first trimester n = 282, second trimester n = 217, and third trimester n = 195). PFAS were compared across pregnancy. Linear and linear-mixed effects models were used to investigate relationships between trimester-specific PFAS levels, as single exposures, and maternal outcomes. Effects of PFAS as an exposure mixture were estimated using quantile g-computation.</p><p><strong>Results: </strong>Six PFAS were detected in more than 70% of the maternal serum samples: PFOS, PFOA, PFBS, PFHxS, PFNA, and PFHxA. In adjusted linear-mixed models and quantile g-computation models, maternal serum PFAS levels were significantly negatively associated with triglycerides [effect estimates (β)= -16.29; 95% confidence interval (CI)= -24.95, -7.63], total cholesterol (β= -12.77; 95%CI= -19.80, -5.74), low-density lipoproteins (β= -10.83; 95%CI = -16.72, -4.93), high-density lipoproteins (β= -4.10; 95%CI= -6.23, -1.96), and pulse (β= -1.60; 95%CI= -2.85, -0.35). Maternal serum PFAS, as a mixture, was not associated with maternal diastolic blood pressure, but separately, PFAS<sub>sum</sub>, PFOS, PFOA and PFNA had significant positive associations.</p><p><strong>Conclusion: </strong>This study evaluated PFAS exposures during pregnancy in central Arkansas. We show that PFAS exposure during pregnancy influences maternal cardiometabolic outcomes and a case in point that future studies are needed to determine the impact on maternal health and to investigate potential interventions to limit the effects of PFAS exposure during pregnancy.</p>","PeriodicalId":11686,"journal":{"name":"Environmental Health","volume":"24 1","pages":"26"},"PeriodicalIF":5.3000,"publicationDate":"2025-04-30","publicationTypes":"Journal Article","fieldsOfStudy":null,"isOpenAccess":false,"openAccessPdf":"https://www.ncbi.nlm.nih.gov/pmc/articles/PMC12042336/pdf/","citationCount":"0","resultStr":null,"platform":"Semanticscholar","paperid":null,"PeriodicalName":"Environmental Health","FirstCategoryId":"93","ListUrlMain":"https://doi.org/10.1186/s12940-025-01181-8","RegionNum":2,"RegionCategory":"环境科学与生态学","ArticlePicture":[],"TitleCN":null,"AbstractTextCN":null,"PMCID":null,"EPubDate":"","PubModel":"","JCR":"Q1","JCRName":"ENVIRONMENTAL SCIENCES","Score":null,"Total":0}
引用次数: 0

Abstract

Introduction: Per- and polyfluoroalkyl substances (PFAS) are endocrine-disrupting chemicals and widespread environmental contaminants. PFAS cross the placental barrier and reach the developing fetus with potential impacts on many organ systems. There are no studies of PFAS in residents of central Arkansas despite reports of environmental contamination in the region. We aimed to quantify PFAS concentrations in repeated serum samples from participants living in central Arkansas and to investigate relationships with maternal cardiometabolic health during pregnancy.

Methods: Participants were enrolled during early pregnancy in a longitudinal study (NCT01131117) from 2010 to 2014. PFAS concentrations were measured in serum from each trimester (first trimester n = 282, second trimester n = 217, and third trimester n = 195). PFAS were compared across pregnancy. Linear and linear-mixed effects models were used to investigate relationships between trimester-specific PFAS levels, as single exposures, and maternal outcomes. Effects of PFAS as an exposure mixture were estimated using quantile g-computation.

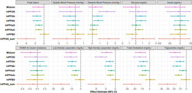
Results: Six PFAS were detected in more than 70% of the maternal serum samples: PFOS, PFOA, PFBS, PFHxS, PFNA, and PFHxA. In adjusted linear-mixed models and quantile g-computation models, maternal serum PFAS levels were significantly negatively associated with triglycerides [effect estimates (β)= -16.29; 95% confidence interval (CI)= -24.95, -7.63], total cholesterol (β= -12.77; 95%CI= -19.80, -5.74), low-density lipoproteins (β= -10.83; 95%CI = -16.72, -4.93), high-density lipoproteins (β= -4.10; 95%CI= -6.23, -1.96), and pulse (β= -1.60; 95%CI= -2.85, -0.35). Maternal serum PFAS, as a mixture, was not associated with maternal diastolic blood pressure, but separately, PFASsum, PFOS, PFOA and PFNA had significant positive associations.

Conclusion: This study evaluated PFAS exposures during pregnancy in central Arkansas. We show that PFAS exposure during pregnancy influences maternal cardiometabolic outcomes and a case in point that future studies are needed to determine the impact on maternal health and to investigate potential interventions to limit the effects of PFAS exposure during pregnancy.

Abstract Image

Abstract Image

Abstract Image

妊娠期间单独或混合使用PFAS与妊娠期间母体心脏代谢结果相关。
简介:全氟和多氟烷基物质(PFAS)是内分泌干扰化学物质和广泛的环境污染物。PFAS穿过胎盘屏障到达发育中的胎儿,对许多器官系统有潜在的影响。尽管阿肯色州中部地区有环境污染的报道,但没有对该地区居民的PFAS进行研究。我们的目的是量化生活在阿肯色州中部的参与者重复血清样本中的PFAS浓度,并调查怀孕期间母体心脏代谢健康的关系。方法:2010年至2014年,参与者在妊娠早期被纳入一项纵向研究(NCT01131117)。测定各妊娠期血清中PFAS浓度(妊娠早期n = 282,妊娠中期n = 217,妊娠晚期n = 195)。在妊娠期间比较PFAS。使用线性和线性混合效应模型来研究妊娠期特异性PFAS水平(单次暴露)与产妇结局之间的关系。使用分位数g计算估计PFAS作为暴露混合物的影响。结果:在70%以上的母体血清样本中检出PFOS、PFOA、PFBS、PFHxS、PFNA和PFHxA 6种PFAS。在调整后的线性混合模型和分位数g计算模型中,母体血清PFAS水平与甘油三酯呈显著负相关[效应估计(β)= -16.29;95%可信区间(CI)= -24.95, -7.63],总胆固醇(β= -12.77;95%CI= -19.80, -5.74),低密度脂蛋白(β= -10.83;95%CI = -16.72, -4.93),高密度脂蛋白(β= -4.10;95%CI= -6.23, -1.96),脉冲(β= -1.60;95%ci = -2.85, -0.35)。母体血清PFAS与母体舒张压无相关性,但PFASsum、PFOS、PFOA和PFNA分别与母体舒张压呈显著正相关。结论:本研究评估了阿肯色州中部怀孕期间PFAS暴露情况。我们的研究表明,怀孕期间PFAS暴露会影响孕妇的心脏代谢结果,这是一个恰当的案例,需要未来的研究来确定对孕妇健康的影响,并调查限制怀孕期间PFAS暴露影响的潜在干预措施。
本文章由计算机程序翻译,如有差异,请以英文原文为准。
求助全文
约1分钟内获得全文 求助全文
来源期刊
Environmental Health
Environmental Health 环境科学-公共卫生、环境卫生与职业卫生
CiteScore
10.10
自引率
1.70%
发文量
115
审稿时长
3.0 months
期刊介绍: Environmental Health publishes manuscripts on all aspects of environmental and occupational medicine and related studies in toxicology and epidemiology. Environmental Health is aimed at scientists and practitioners in all areas of environmental science where human health and well-being are involved, either directly or indirectly. Environmental Health is a public health journal serving the public health community and scientists working on matters of public health interest and importance pertaining to the environment.
×
引用
GB/T 7714-2015
复制
MLA
复制
APA
复制
导出至
BibTeX EndNote RefMan NoteFirst NoteExpress
×
提示
您的信息不完整,为了账户安全,请先补充。
现在去补充
×
提示
您因"违规操作"
具体请查看互助需知
我知道了
×
提示
确定
请完成安全验证×
copy
已复制链接
快去分享给好友吧!
我知道了
右上角分享
点击右上角分享
0
联系我们:info@booksci.cn Book学术提供免费学术资源搜索服务,方便国内外学者检索中英文文献。致力于提供最便捷和优质的服务体验。 Copyright © 2023 布克学术 All rights reserved.
京ICP备2023020795号-1
ghs 京公网安备 11010802042870号
Book学术文献互助
Book学术文献互助群
群 号:604180095
Book学术官方微信