The Current Status of Frailty and Influencing Factors in Elderly Patients With Hip Fractures: A Meta-Analysis.

IF 2.3 3区 生物学 Q3 BIOTECHNOLOGY & APPLIED MICROBIOLOGY
BioMed Research International Pub Date : 2025-04-13 eCollection Date: 2025-01-01 DOI:10.1155/bmri/7756605
Kangquan Shou, Zhuoqing Wu, Zuyang Xi, Longtao Zhao, Chaxiang Li, Tongzhu Bao, Jianghua Lv, Youdan Shi
{"title":"The Current Status of Frailty and Influencing Factors in Elderly Patients With Hip Fractures: A Meta-Analysis.","authors":"Kangquan Shou, Zhuoqing Wu, Zuyang Xi, Longtao Zhao, Chaxiang Li, Tongzhu Bao, Jianghua Lv, Youdan Shi","doi":"10.1155/bmri/7756605","DOIUrl":null,"url":null,"abstract":"<p><p><b>Background:</b> Hip fractures have emerged as a significant health risk, posing a substantial threat to the well-being and longevity of the elderly population. The occurrence of postoperative complications and frailty profoundly impacts the quality of life in these individuals. This meta-analysis is aimed at elucidating the present scenario and clarifying the current status and influencing factors of frailty in elderly hip fracture patients. The findings will serve as a solid evidence for formulating effective and scientific strategies to prevent frailty in this vulnerable patient group. <b>Methods:</b> The databases, including PubMed, Cochrane Library, and Embase, were utilized from February 2003 to February 2023, using the keywords frailty, elderly, and hip fractures to identify systematic reviews or meta-analyses. The primary randomized clinical trials included in systematic reviews or meta-analyses were identified. Two independent authors assessed the quality of all eligible studies. Statistical analyses were evaluated using Review Manager (RevMan) Version 5.3. <b>Results:</b> Of the 15 studies out of 352 identified studies, 12 cross-sectional research studies, 2 case-control studies, and 1 cohort study were confirmed. There were 3475 hip fracture patients, 1209 of them showed frailty, with a 41% incidence of frailty, and 18 influence factors were determined. A marked between-study heterogeneity (<i>I</i> <sup>2</sup> = 95%, <i>p</i> < 0.00001) was examined. Factors influencing frailty in elderly hip fracture patients were identified including age (odds ratio (OR) = 2.73, 95% confidence interval (CI): 2.12~3.53), comorbidity (OR = 4.20, 95% CI: 2.31~7.62), duration of bed rest (OR = 2.22, 95% CI: 1.54~3.18), nutritional status (OR = 1.62, 95% CI: 1.21~2.17), and self-perceived health status (OR = 3.53, 95% CI: 2.09~5.94). There was no publication bias, and the pooled results were stable basing on sensitivity analysis. <b>Conclusion:</b> Frailty in elderly hip fracture patients is associated with a variety of factors consisting of age, comorbidity conditions, extended periods of bed rest, nutritional status, high comorbid conditions, poor self-perceived health status, advanced age, and poor nutritional status.</p>","PeriodicalId":9007,"journal":{"name":"BioMed Research International","volume":"2025 ","pages":"7756605"},"PeriodicalIF":2.3000,"publicationDate":"2025-04-13","publicationTypes":"Journal Article","fieldsOfStudy":null,"isOpenAccess":false,"openAccessPdf":"https://www.ncbi.nlm.nih.gov/pmc/articles/PMC12009680/pdf/","citationCount":"0","resultStr":null,"platform":"Semanticscholar","paperid":null,"PeriodicalName":"BioMed Research International","FirstCategoryId":"99","ListUrlMain":"https://doi.org/10.1155/bmri/7756605","RegionNum":3,"RegionCategory":"生物学","ArticlePicture":[],"TitleCN":null,"AbstractTextCN":null,"PMCID":null,"EPubDate":"2025/1/1 0:00:00","PubModel":"eCollection","JCR":"Q3","JCRName":"BIOTECHNOLOGY & APPLIED MICROBIOLOGY","Score":null,"Total":0}
引用次数: 0

Abstract

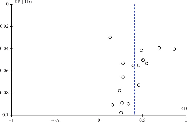
Background: Hip fractures have emerged as a significant health risk, posing a substantial threat to the well-being and longevity of the elderly population. The occurrence of postoperative complications and frailty profoundly impacts the quality of life in these individuals. This meta-analysis is aimed at elucidating the present scenario and clarifying the current status and influencing factors of frailty in elderly hip fracture patients. The findings will serve as a solid evidence for formulating effective and scientific strategies to prevent frailty in this vulnerable patient group. Methods: The databases, including PubMed, Cochrane Library, and Embase, were utilized from February 2003 to February 2023, using the keywords frailty, elderly, and hip fractures to identify systematic reviews or meta-analyses. The primary randomized clinical trials included in systematic reviews or meta-analyses were identified. Two independent authors assessed the quality of all eligible studies. Statistical analyses were evaluated using Review Manager (RevMan) Version 5.3. Results: Of the 15 studies out of 352 identified studies, 12 cross-sectional research studies, 2 case-control studies, and 1 cohort study were confirmed. There were 3475 hip fracture patients, 1209 of them showed frailty, with a 41% incidence of frailty, and 18 influence factors were determined. A marked between-study heterogeneity (I 2 = 95%, p < 0.00001) was examined. Factors influencing frailty in elderly hip fracture patients were identified including age (odds ratio (OR) = 2.73, 95% confidence interval (CI): 2.12~3.53), comorbidity (OR = 4.20, 95% CI: 2.31~7.62), duration of bed rest (OR = 2.22, 95% CI: 1.54~3.18), nutritional status (OR = 1.62, 95% CI: 1.21~2.17), and self-perceived health status (OR = 3.53, 95% CI: 2.09~5.94). There was no publication bias, and the pooled results were stable basing on sensitivity analysis. Conclusion: Frailty in elderly hip fracture patients is associated with a variety of factors consisting of age, comorbidity conditions, extended periods of bed rest, nutritional status, high comorbid conditions, poor self-perceived health status, advanced age, and poor nutritional status.

Abstract Image

Abstract Image

Abstract Image

老年髋部骨折患者虚弱现状及影响因素荟萃分析
背景:髋部骨折已成为一个重大的健康风险,对老年人的健康和寿命构成重大威胁。术后并发症和虚弱的发生深刻地影响了这些个体的生活质量。本荟萃分析旨在阐明现状,阐明老年髋部骨折患者虚弱的现状及影响因素。这些发现将为制定有效和科学的策略来预防这一弱势患者群体的脆弱提供坚实的证据。方法:2003年2月至2023年2月,使用PubMed、Cochrane Library和Embase数据库,以虚弱、老年和髋部骨折为关键词进行系统评价或荟萃分析。纳入系统评价或荟萃分析的主要随机临床试验被确定。两位独立作者评估了所有符合条件的研究的质量。使用Review Manager (RevMan) Version 5.3对统计分析进行评估。结果:352项研究中的15项研究中,12项横断面研究、2项病例对照研究和1项队列研究得到证实。共3475例髋部骨折患者,其中衰弱1209例,衰弱发生率41%,共确定18个影响因素。研究间存在显著异质性(i2 = 95%, p < 0.00001)。确定影响老年髋部骨折患者衰弱的因素包括年龄(优势比(OR) = 2.73, 95%可信区间(CI): 2.12~3.53)、合共病(OR = 4.20, 95% CI: 2.31~7.62)、卧床休息时间(OR = 2.22, 95% CI: 1.54~3.18)、营养状况(OR = 1.62, 95% CI: 1.21~2.17)、自我感觉健康状况(OR = 3.53, 95% CI: 2.09~5.94)。无发表偏倚,基于敏感性分析,合并结果稳定。结论:老年髋部骨折患者的虚弱与年龄、合并症、卧床时间延长、营养状况、合并症高、自我认知健康状况差、年龄大、营养状况差等多种因素有关。
本文章由计算机程序翻译,如有差异,请以英文原文为准。
求助全文
约1分钟内获得全文 求助全文
来源期刊
BioMed Research International
BioMed Research International BIOTECHNOLOGY & APPLIED MICROBIOLOGY-MEDICINE, RESEARCH & EXPERIMENTAL
CiteScore
6.70
自引率
0.00%
发文量
1942
审稿时长
19 weeks
期刊介绍: BioMed Research International is a peer-reviewed, Open Access journal that publishes original research articles, review articles, and clinical studies covering a wide range of subjects in life sciences and medicine. The journal is divided into 55 subject areas.
×
引用
GB/T 7714-2015
复制
MLA
复制
APA
复制
导出至
BibTeX EndNote RefMan NoteFirst NoteExpress
×
提示
您的信息不完整,为了账户安全,请先补充。
现在去补充
×
提示
您因"违规操作"
具体请查看互助需知
我知道了
×
提示
确定
请完成安全验证×
copy
已复制链接
快去分享给好友吧!
我知道了
右上角分享
点击右上角分享
0
联系我们:info@booksci.cn Book学术提供免费学术资源搜索服务,方便国内外学者检索中英文文献。致力于提供最便捷和优质的服务体验。 Copyright © 2023 布克学术 All rights reserved.
京ICP备2023020795号-1
ghs 京公网安备 11010802042870号
Book学术文献互助
Book学术文献互助群
群 号:604180095
Book学术官方微信