A Transformer-Based Framework for Counterfactual Estimation of Antihypertensive Treatment Effect on COVID-19 Infection Risk - A Proof-of-Concept Study.

IF 3.1 3区 医学 Q2 PERIPHERAL VASCULAR DISEASE
Tran Q B Tran, Stefanie Lip, Honghan Wu, Shyam Visweswaran, Jill P Pell, Sandosh Padmanabhan
{"title":"A Transformer-Based Framework for Counterfactual Estimation of Antihypertensive Treatment Effect on COVID-19 Infection Risk - A Proof-of-Concept Study.","authors":"Tran Q B Tran, Stefanie Lip, Honghan Wu, Shyam Visweswaran, Jill P Pell, Sandosh Padmanabhan","doi":"10.1093/ajh/hpaf055","DOIUrl":null,"url":null,"abstract":"<p><strong>Background: </strong>Transformer-based neural networks excel in modelling high-dimensional, time-series data with complex dependencies. This proof-of-concept study applies a transformer-X-learner framework to estimate treatment effects using real-world data, using antihypertensive drug exposure and COVID-19 risk as an exemplar.</p><p><strong>Methods: </strong>We conducted a case-control study of 303,220 NHS Greater Glasgow and Clyde patients aged ≥ 40 years during the first two COVID-19 pandemic waves. Using a transformer-X-learner framework that incorporated temporal patterns in medication usage and comorbidities, we controlled for confounding effects and estimated individual and average treatment effects ACEIs, beta-blockers (BBs), calcium channel blockers (CCBs), thiazides (THZs), and statins on 180-day SARS-CoV-2 infection risk.</p><p><strong>Results: </strong>The transformer-X-learner framework outperformed traditional approaches, achieving an F1 score of 0.82 and area under the precision-recall curve (AUPRC) of 0.78. ACEIs showed a negligible overall impact on COVID-19 risk (ATE: 0.97%±5.5), while BBs (-8.3%±7.3%) and CCBs (-9.7%±8.1%) were protective. Statins (3.5%±6.1%) and THZs (4.3%±10.8%) showed slight increases in risk. Treatment effects were consistent across age, gender, and socioeconomic categories.</p><p><strong>Conclusions: </strong>ACEIs do not substantially increase the risk of COVID-19 infection while the protective effects of BBs and CCBs warrant further investigation. This study highlights the potential of transformer-based causal inference models as a powerful tool for evaluating treatment safety and efficacy in complex healthcare scenarios.</p>","PeriodicalId":7578,"journal":{"name":"American Journal of Hypertension","volume":" ","pages":"595-604"},"PeriodicalIF":3.1000,"publicationDate":"2025-07-15","publicationTypes":"Journal Article","fieldsOfStudy":null,"isOpenAccess":false,"openAccessPdf":"https://www.ncbi.nlm.nih.gov/pmc/articles/PMC12260164/pdf/","citationCount":"0","resultStr":null,"platform":"Semanticscholar","paperid":null,"PeriodicalName":"American Journal of Hypertension","FirstCategoryId":"3","ListUrlMain":"https://doi.org/10.1093/ajh/hpaf055","RegionNum":3,"RegionCategory":"医学","ArticlePicture":[],"TitleCN":null,"AbstractTextCN":null,"PMCID":null,"EPubDate":"","PubModel":"","JCR":"Q2","JCRName":"PERIPHERAL VASCULAR DISEASE","Score":null,"Total":0}
引用次数: 0

Abstract

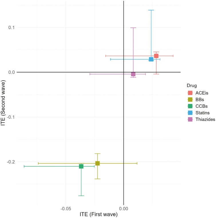
Background: Transformer-based neural networks excel in modelling high-dimensional, time-series data with complex dependencies. This proof-of-concept study applies a transformer-X-learner framework to estimate treatment effects using real-world data, using antihypertensive drug exposure and COVID-19 risk as an exemplar.

Methods: We conducted a case-control study of 303,220 NHS Greater Glasgow and Clyde patients aged ≥ 40 years during the first two COVID-19 pandemic waves. Using a transformer-X-learner framework that incorporated temporal patterns in medication usage and comorbidities, we controlled for confounding effects and estimated individual and average treatment effects ACEIs, beta-blockers (BBs), calcium channel blockers (CCBs), thiazides (THZs), and statins on 180-day SARS-CoV-2 infection risk.

Results: The transformer-X-learner framework outperformed traditional approaches, achieving an F1 score of 0.82 and area under the precision-recall curve (AUPRC) of 0.78. ACEIs showed a negligible overall impact on COVID-19 risk (ATE: 0.97%±5.5), while BBs (-8.3%±7.3%) and CCBs (-9.7%±8.1%) were protective. Statins (3.5%±6.1%) and THZs (4.3%±10.8%) showed slight increases in risk. Treatment effects were consistent across age, gender, and socioeconomic categories.

Conclusions: ACEIs do not substantially increase the risk of COVID-19 infection while the protective effects of BBs and CCBs warrant further investigation. This study highlights the potential of transformer-based causal inference models as a powerful tool for evaluating treatment safety and efficacy in complex healthcare scenarios.

Abstract Image

Abstract Image

Abstract Image

基于变压器的抗高血压治疗对COVID-19感染风险的反事实估计框架-概念验证研究
背景:基于变压器的神经网络擅长建模高维、时间序列的复杂依赖数据。这项概念验证研究采用了一个transformer-X-learner框架,以抗高血压药物暴露和COVID-19风险为例,利用真实世界的数据来估计治疗效果。方法:我们对前两波COVID-19大流行期间303,220例年龄≥40岁的NHS大格拉斯哥和克莱德患者进行了病例对照研究。使用整合药物使用时间模式和合并症的transformer-X-learner框架,我们控制了混杂效应,并估计了acei、β受体阻滞剂(BBs)、钙通道阻滞剂(CCBs)、噻嗪类药物(THZs)和他汀类药物对180天SARS-CoV-2感染风险的个体和平均治疗效果。结果:transformer-X-learner框架优于传统方法,F1得分为0.82,precision-recall curve下面积(AUPRC)为0.78。acei对COVID-19风险的总体影响可忽略不计(ATE: 0.97%±5.5),而BBs(-8.3%±7.3%)和CCBs(-9.7%±8.1%)具有保护作用。他汀类药物(3.5%±6.1%)和thz类药物(4.3%±10.8%)的风险略有增加。治疗效果在不同年龄、性别和社会经济类别中是一致的。结论:acei不会显著增加COVID-19感染的风险,而bb和CCBs的保护作用有待进一步研究。这项研究强调了基于变压器的因果推理模型作为评估复杂医疗保健方案中治疗安全性和有效性的强大工具的潜力。
本文章由计算机程序翻译,如有差异,请以英文原文为准。
求助全文
约1分钟内获得全文 求助全文
来源期刊
American Journal of Hypertension
American Journal of Hypertension 医学-外周血管病
CiteScore
6.90
自引率
6.20%
发文量
144
审稿时长
3-8 weeks
期刊介绍: The American Journal of Hypertension is a monthly, peer-reviewed journal that provides a forum for scientific inquiry of the highest standards in the field of hypertension and related cardiovascular disease. The journal publishes high-quality original research and review articles on basic sciences, molecular biology, clinical and experimental hypertension, cardiology, epidemiology, pediatric hypertension, endocrinology, neurophysiology, and nephrology.
×
引用
GB/T 7714-2015
复制
MLA
复制
APA
复制
导出至
BibTeX EndNote RefMan NoteFirst NoteExpress
×
提示
您的信息不完整,为了账户安全,请先补充。
现在去补充
×
提示
您因"违规操作"
具体请查看互助需知
我知道了
×
提示
确定
请完成安全验证×
copy
已复制链接
快去分享给好友吧!
我知道了
右上角分享
点击右上角分享
0
联系我们:info@booksci.cn Book学术提供免费学术资源搜索服务,方便国内外学者检索中英文文献。致力于提供最便捷和优质的服务体验。 Copyright © 2023 布克学术 All rights reserved.
京ICP备2023020795号-1
ghs 京公网安备 11010802042870号
Book学术文献互助
Book学术文献互助群
群 号:604180095
Book学术官方微信