Voltammetric determination of sumatriptan in the presence of naproxen using a modified screen printed electrode.

IF 4.3 Q2 CHEMISTRY, MEDICINAL
ADMET and DMPK Pub Date : 2025-02-19 eCollection Date: 2025-01-01 DOI:10.5599/admet.2635
Hazim Saad Jabbar Al-Maliki, Sudad Jasim Mohammed, Adil Turki Al-Musawi, Aliaa Saadoon Abdul-Razaq Al-Faraji, Mazin Hadi Kzar, Abdul Amir H Kadhum, Huda Hadi Nameh, Raed Muslim Mhaibes
{"title":"Voltammetric determination of sumatriptan in the presence of naproxen using a modified screen printed electrode.","authors":"Hazim Saad Jabbar Al-Maliki, Sudad Jasim Mohammed, Adil Turki Al-Musawi, Aliaa Saadoon Abdul-Razaq Al-Faraji, Mazin Hadi Kzar, Abdul Amir H Kadhum, Huda Hadi Nameh, Raed Muslim Mhaibes","doi":"10.5599/admet.2635","DOIUrl":null,"url":null,"abstract":"<p><strong>Background and purpose: </strong>Sumatriptan is used to alleviate symptoms of migraine headaches, particularly during acute attacks. Naproxen is a medication that provides relief from pain, inflammation, and fever. Therefore, determination of them is important.</p><p><strong>Experimental approach: </strong>In the present work, CoMoO<sub>4</sub> nanosheets were synthesized in a basic and easy way. A screen-printed graphite electrode's surface was altered using the as-prepared CoMoO<sub>4</sub> nanosheets' high electroactivity to create a CoMoO<sub>4</sub> nanosheets-modified screen-printed electrode (CoMoO<sub>4</sub> NSs-SPE), which was then employed for sumatriptan's electrochemical oxidation. Due to the superior electron transfer characteristics and catalytic activity of the produced CoMoO<sub>4</sub> nanosheets, the results demonstrated a notable improvement in sumatriptan's current responses. This study examined the electrochemical behavior of sumatriptan on the CoMoO<sub>4</sub> NSs-SPE utilizing a number of methods, including as chronoamperometry, cyclic voltammetry, and differential pulse voltammetry (DPV).</p><p><strong>Key results: </strong>With a high sensitivity of 0.0718 μA/μM and a good correlation value of 0.9998, a linear calibration curve was obtained over a broad concentration range of 0.02-600.0 μM, suggesting a strong linear connection between the concentration and the response. Based on a signal-to-noise ratio of 3, the limit of detection for sumatriptan was determined to be 0.01 μM, suggesting a high degree of sensitivity for the detection technique. DPV results showed that the CoMoO<sub>4</sub> nanosheets-modified screen-printed electrode (CoMoO<sub>4</sub> NSs-SPE) could detect naproxen and sumatriptan at the same time.</p><p><strong>Conclusion: </strong>The created sensor's usefulness and efficacy in real-world applications were demonstrated when it was successfully used to identify the target analytes in actual samples.</p>","PeriodicalId":7259,"journal":{"name":"ADMET and DMPK","volume":"13 2","pages":"2635"},"PeriodicalIF":4.3000,"publicationDate":"2025-02-19","publicationTypes":"Journal Article","fieldsOfStudy":null,"isOpenAccess":false,"openAccessPdf":"https://www.ncbi.nlm.nih.gov/pmc/articles/PMC12043103/pdf/","citationCount":"0","resultStr":null,"platform":"Semanticscholar","paperid":null,"PeriodicalName":"ADMET and DMPK","FirstCategoryId":"1085","ListUrlMain":"https://doi.org/10.5599/admet.2635","RegionNum":0,"RegionCategory":null,"ArticlePicture":[],"TitleCN":null,"AbstractTextCN":null,"PMCID":null,"EPubDate":"2025/1/1 0:00:00","PubModel":"eCollection","JCR":"Q2","JCRName":"CHEMISTRY, MEDICINAL","Score":null,"Total":0}
引用次数: 0

Abstract

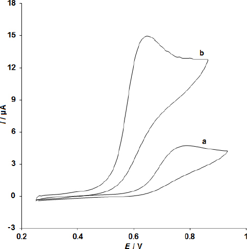
Background and purpose: Sumatriptan is used to alleviate symptoms of migraine headaches, particularly during acute attacks. Naproxen is a medication that provides relief from pain, inflammation, and fever. Therefore, determination of them is important.

Experimental approach: In the present work, CoMoO4 nanosheets were synthesized in a basic and easy way. A screen-printed graphite electrode's surface was altered using the as-prepared CoMoO4 nanosheets' high electroactivity to create a CoMoO4 nanosheets-modified screen-printed electrode (CoMoO4 NSs-SPE), which was then employed for sumatriptan's electrochemical oxidation. Due to the superior electron transfer characteristics and catalytic activity of the produced CoMoO4 nanosheets, the results demonstrated a notable improvement in sumatriptan's current responses. This study examined the electrochemical behavior of sumatriptan on the CoMoO4 NSs-SPE utilizing a number of methods, including as chronoamperometry, cyclic voltammetry, and differential pulse voltammetry (DPV).

Key results: With a high sensitivity of 0.0718 μA/μM and a good correlation value of 0.9998, a linear calibration curve was obtained over a broad concentration range of 0.02-600.0 μM, suggesting a strong linear connection between the concentration and the response. Based on a signal-to-noise ratio of 3, the limit of detection for sumatriptan was determined to be 0.01 μM, suggesting a high degree of sensitivity for the detection technique. DPV results showed that the CoMoO4 nanosheets-modified screen-printed electrode (CoMoO4 NSs-SPE) could detect naproxen and sumatriptan at the same time.

Conclusion: The created sensor's usefulness and efficacy in real-world applications were demonstrated when it was successfully used to identify the target analytes in actual samples.

Abstract Image

Abstract Image

Abstract Image

改良丝网印刷电极伏安法测定萘普生中舒马曲坦的含量。
背景和目的:舒马曲坦用于缓解偏头痛的症状,特别是在急性发作时。萘普生是一种缓解疼痛、炎症和发烧的药物。因此,确定它们是很重要的。实验方法:本工作采用简单、基本的方法合成了CoMoO4纳米片。利用所制备的CoMoO4纳米片的高电活性对丝网印刷石墨电极表面进行修饰,制备了CoMoO4纳米片修饰的丝网印刷电极(CoMoO4 NSs-SPE),然后将其用于苏马匹坦的电化学氧化。由于所制备的CoMoO4纳米片具有优异的电子转移特性和催化活性,结果表明舒马匹坦的电流响应有显著改善。本研究利用计时伏安法、循环伏安法和差分脉冲伏安法(DPV)等多种方法研究了舒马匹坦在CoMoO4 NSs-SPE上的电化学行为。关键结果:在0.02 ~ 600.0 μM的宽浓度范围内,获得了高灵敏度(0.0718 μA/μM)和良好的相关值(0.9998)的线性校准曲线,表明浓度与响应之间存在较强的线性关系。在信噪比为3的情况下,该方法的检出限为0.01 μM,具有较高的灵敏度。DPV结果表明,CoMoO4纳米片修饰的丝网印刷电极(CoMoO4 NSs-SPE)可以同时检测萘普生和舒马匹坦。结论:所创建的传感器在实际应用中的实用性和有效性被证明,当它成功地用于识别实际样品中的目标分析物时。
本文章由计算机程序翻译,如有差异,请以英文原文为准。
求助全文
约1分钟内获得全文 求助全文
来源期刊
ADMET and DMPK
ADMET and DMPK Multiple-
CiteScore
4.40
自引率
0.00%
发文量
22
审稿时长
4 weeks
期刊介绍: ADMET and DMPK is an open access journal devoted to the rapid dissemination of new and original scientific results in all areas of absorption, distribution, metabolism, excretion, toxicology and pharmacokinetics of drugs. ADMET and DMPK publishes the following types of contributions: - Original research papers - Feature articles - Review articles - Short communications and Notes - Letters to Editors - Book reviews The scope of the Journal involves, but is not limited to, the following areas: - physico-chemical properties of drugs and methods of their determination - drug permeabilities - drug absorption - drug-drug, drug-protein, drug-membrane and drug-DNA interactions - chemical stability and degradations of drugs - instrumental methods in ADMET - drug metablic processes - routes of administration and excretion of drug - pharmacokinetic/pharmacodynamic study - quantitative structure activity/property relationship - ADME/PK modelling - Toxicology screening - Transporter identification and study
×
引用
GB/T 7714-2015
复制
MLA
复制
APA
复制
导出至
BibTeX EndNote RefMan NoteFirst NoteExpress
×
提示
您的信息不完整,为了账户安全,请先补充。
现在去补充
×
提示
您因"违规操作"
具体请查看互助需知
我知道了
×
提示
确定
请完成安全验证×
copy
已复制链接
快去分享给好友吧!
我知道了
右上角分享
点击右上角分享
0
联系我们:info@booksci.cn Book学术提供免费学术资源搜索服务,方便国内外学者检索中英文文献。致力于提供最便捷和优质的服务体验。 Copyright © 2023 布克学术 All rights reserved.
京ICP备2023020795号-1
ghs 京公网安备 11010802042870号
Book学术文献互助
Book学术文献互助群
群 号:604180095
Book学术官方微信