Comparative voxel-based dosimetry with pre-treatment Tc-99m SPECT/CT and post-treatment Y-90 PET/MRI for radioembolization with Y-90 microspheres

IF 2.5 4区 医学 Q2 RADIOLOGY, NUCLEAR MEDICINE & MEDICAL IMAGING
Burak Demir, Nuriye Ozlem Kucuk, Cigdem Soydal, Emre Can Celebioglu, Gizem Inal, Ecenur Dursun, Mehmet Sadık Bilgic, Digdem Kuru Oz, Atilla Halil Elhan, Kemal Metin Kir
{"title":"Comparative voxel-based dosimetry with pre-treatment Tc-99m SPECT/CT and post-treatment Y-90 PET/MRI for radioembolization with Y-90 microspheres","authors":"Burak Demir,&nbsp;Nuriye Ozlem Kucuk,&nbsp;Cigdem Soydal,&nbsp;Emre Can Celebioglu,&nbsp;Gizem Inal,&nbsp;Ecenur Dursun,&nbsp;Mehmet Sadık Bilgic,&nbsp;Digdem Kuru Oz,&nbsp;Atilla Halil Elhan,&nbsp;Kemal Metin Kir","doi":"10.1007/s12149-025-02052-5","DOIUrl":null,"url":null,"abstract":"<div><h3>Purpose</h3><p>The aim of this study was to investigate the differences between voxel-based dosimetry and the mean absorbed doses calculated with pre-treatment Tc-99 m-MAA SPECT/CT and post-treatment Y-90 PET/MR images. We also sought to present a detailed comparison of dose-volume histograms (DVHs) calculated from pre- and post-treatment imaging.</p><h3>Methods</h3><p>A total of 47 treatments and 41 patients were included in the analysis as six of the treatments were retreatments of the six patients. Multicompartment and voxel-based dosimetry were performed with pre-treatment Tc-99m-MAA SPECT/CT and Y-90 PET/MRI. Correlation coefficients between the two imaging methods for the mean absorbed dose of tumor, whole liver normal tissue, perfused normal tissue, T/N ratio and tumor D10, D50 and D90 values were calculated. Additionally, differences between these values were also evaluated with Bland–Altman plots.</p><h3>Results</h3><p>Pre-treatment Tc-99m-MAA SPECT/CT accurately predicted the dose values for healthy liver parenchyma calculated with Y-90 PET/MRI but showed lower accuracy in predicting T/N ratio and tumor doses. There were significant variations in tumor-absorbed doses for both glass and resin microspheres. Additionally, D90 values were higher when calculated with SPECT/CT than with PET/MRI, whereas D10 values were higher in PET/MRI compared to SPECT/CT.</p><h3>Conclusion</h3><p>The findings in our study suggest that Tc-99m-MAA SPECT/CT had higher accuracy in predicting the dose to the healthy liver parenchyma compared to the tumor, maintaining its importance in treatment planning.</p></div>","PeriodicalId":8007,"journal":{"name":"Annals of Nuclear Medicine","volume":"39 7","pages":"716 - 731"},"PeriodicalIF":2.5000,"publicationDate":"2025-04-23","publicationTypes":"Journal Article","fieldsOfStudy":null,"isOpenAccess":false,"openAccessPdf":"https://www.ncbi.nlm.nih.gov/pmc/articles/PMC12174238/pdf/","citationCount":"0","resultStr":null,"platform":"Semanticscholar","paperid":null,"PeriodicalName":"Annals of Nuclear Medicine","FirstCategoryId":"3","ListUrlMain":"https://link.springer.com/article/10.1007/s12149-025-02052-5","RegionNum":4,"RegionCategory":"医学","ArticlePicture":[],"TitleCN":null,"AbstractTextCN":null,"PMCID":null,"EPubDate":"","PubModel":"","JCR":"Q2","JCRName":"RADIOLOGY, NUCLEAR MEDICINE & MEDICAL IMAGING","Score":null,"Total":0}
引用次数: 0

Abstract

Purpose

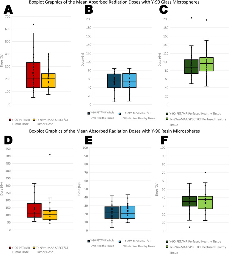
The aim of this study was to investigate the differences between voxel-based dosimetry and the mean absorbed doses calculated with pre-treatment Tc-99 m-MAA SPECT/CT and post-treatment Y-90 PET/MR images. We also sought to present a detailed comparison of dose-volume histograms (DVHs) calculated from pre- and post-treatment imaging.

Methods

A total of 47 treatments and 41 patients were included in the analysis as six of the treatments were retreatments of the six patients. Multicompartment and voxel-based dosimetry were performed with pre-treatment Tc-99m-MAA SPECT/CT and Y-90 PET/MRI. Correlation coefficients between the two imaging methods for the mean absorbed dose of tumor, whole liver normal tissue, perfused normal tissue, T/N ratio and tumor D10, D50 and D90 values were calculated. Additionally, differences between these values were also evaluated with Bland–Altman plots.

Results

Pre-treatment Tc-99m-MAA SPECT/CT accurately predicted the dose values for healthy liver parenchyma calculated with Y-90 PET/MRI but showed lower accuracy in predicting T/N ratio and tumor doses. There were significant variations in tumor-absorbed doses for both glass and resin microspheres. Additionally, D90 values were higher when calculated with SPECT/CT than with PET/MRI, whereas D10 values were higher in PET/MRI compared to SPECT/CT.

Conclusion

The findings in our study suggest that Tc-99m-MAA SPECT/CT had higher accuracy in predicting the dose to the healthy liver parenchyma compared to the tumor, maintaining its importance in treatment planning.

Abstract Image

Abstract Image

Abstract Image

Y-90微球放射栓塞治疗前采用Tc-99m SPECT/CT和Y-90 PET/MRI进行体素剂量比较。
目的:本研究的目的是探讨基于体素的剂量学与预处理Tc-99 m-MAA SPECT/CT和处理后Y-90 PET/MR图像计算的平均吸收剂量之间的差异。我们还试图对治疗前和治疗后成像计算的剂量-体积直方图(DVHs)进行详细比较。方法:共纳入47例治疗,41例患者,其中6例为6例患者的再治疗。采用Tc-99m-MAA SPECT/CT和Y-90 PET/MRI进行多室和体素剂量测定。计算肿瘤平均吸收剂量、全肝正常组织、灌注正常组织、T/N比值与肿瘤D10、D50、D90值的相关系数。此外,还用Bland-Altman图评估了这些值之间的差异。结果:术前Tc-99m-MAA SPECT/CT能准确预测Y-90 PET/MRI计算的健康肝实质剂量值,但预测T/N比和肿瘤剂量的准确性较低。玻璃微球和树脂微球的肿瘤吸收剂量有显著差异。此外,SPECT/CT计算的D90值高于PET/MRI,而PET/MRI计算的D10值高于SPECT/CT。结论:本研究结果提示Tc-99m-MAA SPECT/CT对健康肝实质的剂量预测准确率高于肿瘤,在治疗规划中具有重要意义。
本文章由计算机程序翻译,如有差异,请以英文原文为准。
求助全文
约1分钟内获得全文 求助全文
来源期刊
Annals of Nuclear Medicine
Annals of Nuclear Medicine 医学-核医学
CiteScore
4.90
自引率
7.70%
发文量
111
审稿时长
4-8 weeks
期刊介绍: Annals of Nuclear Medicine is an official journal of the Japanese Society of Nuclear Medicine. It develops the appropriate application of radioactive substances and stable nuclides in the field of medicine. The journal promotes the exchange of ideas and information and research in nuclear medicine and includes the medical application of radionuclides and related subjects. It presents original articles, short communications, reviews and letters to the editor.
×
引用
GB/T 7714-2015
复制
MLA
复制
APA
复制
导出至
BibTeX EndNote RefMan NoteFirst NoteExpress
×
提示
您的信息不完整,为了账户安全,请先补充。
现在去补充
×
提示
您因"违规操作"
具体请查看互助需知
我知道了
×
提示
确定
请完成安全验证×
copy
已复制链接
快去分享给好友吧!
我知道了
右上角分享
点击右上角分享
0
联系我们:info@booksci.cn Book学术提供免费学术资源搜索服务,方便国内外学者检索中英文文献。致力于提供最便捷和优质的服务体验。 Copyright © 2023 布克学术 All rights reserved.
京ICP备2023020795号-1
ghs 京公网安备 11010802042870号
Book学术文献互助
Book学术文献互助群
群 号:604180095
Book学术官方微信