Predicting the Number of Consultations by Emergency Medical Teams During Disasters Using a Constant Attenuation Model: Analyzing the Data of 6 Disasters in Japan and Mozambique Between 2016-2020.

IF 2 Q1 EMERGENCY MEDICINE
Archives of Academic Emergency Medicine Pub Date : 2025-03-10 eCollection Date: 2025-01-01 DOI:10.22037/aaemj.v13i1.2457
Takahito Yoshida, Tomohito Hayashi, Odgerel Chimed-Ochir, Yui Yumiya, Ami Fukunaga, Akihiro Taji, Takashi Nakano, Yoichi Ikeda, Kenji Sasaki, Matchecane Cossa, Isse Ussene, Ryoma Kayano, Flavio Salio, Kouki Akahoshi, Yoshiki Toyokuni, Kayako Chishima, Seiji Mimura, Akinori Wakai, Hisayoshi Kondo, Yuichi Koido, Tatsuhiko Kubo
{"title":"Predicting the Number of Consultations by Emergency Medical Teams During Disasters Using a Constant Attenuation Model: Analyzing the Data of 6 Disasters in Japan and Mozambique Between 2016-2020.","authors":"Takahito Yoshida, Tomohito Hayashi, Odgerel Chimed-Ochir, Yui Yumiya, Ami Fukunaga, Akihiro Taji, Takashi Nakano, Yoichi Ikeda, Kenji Sasaki, Matchecane Cossa, Isse Ussene, Ryoma Kayano, Flavio Salio, Kouki Akahoshi, Yoshiki Toyokuni, Kayako Chishima, Seiji Mimura, Akinori Wakai, Hisayoshi Kondo, Yuichi Koido, Tatsuhiko Kubo","doi":"10.22037/aaemj.v13i1.2457","DOIUrl":null,"url":null,"abstract":"<p><strong>Introduction: </strong>Predicting the number of emergency medical team (EMT) consultations that are needed following a natural or man-made disaster can help improve decisions regarding the dispatch and withdrawal of these teams. This study aimed to predict the number of consultations by EMTs using the <i>K</i> value and constant attenuation model.</p><p><strong>Methods: </strong>Data were collected using the Japan-Surveillance in Post-Extreme Emergencies and Disasters (J-SPEED) and Minimum Data Set (MDS) for five disasters in Japan and one disaster in Mozambique. We compared the number of consultations, which was predicted based on <i>K</i> value and constant attenuation model with actual data collected with J-SPEED/Minimum Data Set (MDS) tools.</p><p><strong>Results: </strong>The total number of EMT consultations per disaster ranged from 684 to 18,468. The predicted curve and actual <i>K</i> data were similar for each of the disasters (R<sup>2</sup> from 0.953 to 0.997), but offset adjustments were needed for the Kumamoto earthquake and the Mozambique cyclone because their R<sup>2</sup> values were below 0.985. For the six disasters, the difference between the number of consultations predicted based on <i>K</i> values and the measured cumulative number of consultations ranged from ±1.0% to ± 4.1%.</p><p><strong>Conclusions: </strong>The <i>K</i> value and constant attenuation model, although originally developed to predict the number of patients with COVID-19, provided reliable predictions of the number of EMT consultations required during six different disasters. This simple model may be useful for the coordination of future responses of EMTs during disasters.</p>","PeriodicalId":8146,"journal":{"name":"Archives of Academic Emergency Medicine","volume":"13 1","pages":"e38"},"PeriodicalIF":2.0000,"publicationDate":"2025-03-10","publicationTypes":"Journal Article","fieldsOfStudy":null,"isOpenAccess":false,"openAccessPdf":"https://www.ncbi.nlm.nih.gov/pmc/articles/PMC12065031/pdf/","citationCount":"0","resultStr":null,"platform":"Semanticscholar","paperid":null,"PeriodicalName":"Archives of Academic Emergency Medicine","FirstCategoryId":"1085","ListUrlMain":"https://doi.org/10.22037/aaemj.v13i1.2457","RegionNum":0,"RegionCategory":null,"ArticlePicture":[],"TitleCN":null,"AbstractTextCN":null,"PMCID":null,"EPubDate":"2025/1/1 0:00:00","PubModel":"eCollection","JCR":"Q1","JCRName":"EMERGENCY MEDICINE","Score":null,"Total":0}
引用次数: 0

Abstract

Introduction: Predicting the number of emergency medical team (EMT) consultations that are needed following a natural or man-made disaster can help improve decisions regarding the dispatch and withdrawal of these teams. This study aimed to predict the number of consultations by EMTs using the K value and constant attenuation model.

Methods: Data were collected using the Japan-Surveillance in Post-Extreme Emergencies and Disasters (J-SPEED) and Minimum Data Set (MDS) for five disasters in Japan and one disaster in Mozambique. We compared the number of consultations, which was predicted based on K value and constant attenuation model with actual data collected with J-SPEED/Minimum Data Set (MDS) tools.

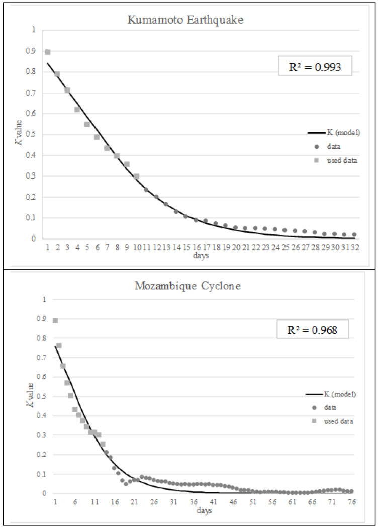
Results: The total number of EMT consultations per disaster ranged from 684 to 18,468. The predicted curve and actual K data were similar for each of the disasters (R2 from 0.953 to 0.997), but offset adjustments were needed for the Kumamoto earthquake and the Mozambique cyclone because their R2 values were below 0.985. For the six disasters, the difference between the number of consultations predicted based on K values and the measured cumulative number of consultations ranged from ±1.0% to ± 4.1%.

Conclusions: The K value and constant attenuation model, although originally developed to predict the number of patients with COVID-19, provided reliable predictions of the number of EMT consultations required during six different disasters. This simple model may be useful for the coordination of future responses of EMTs during disasters.

Abstract Image

Abstract Image

Abstract Image

基于恒衰减模型的灾害期间应急医疗队会诊数量预测——2016-2020年日本和莫桑比克6次灾害数据分析
导言:预测自然或人为灾害后所需的紧急医疗小组(EMT)会诊数量有助于改进有关派遣和撤出这些小组的决策。本研究旨在利用K值和恒衰减模型预测emt的会诊次数。方法:利用日本极端紧急情况和灾害后监测系统(J-SPEED)和最小数据集(MDS)收集日本5次灾害和莫桑比克1次灾害的数据。我们将基于K值和恒定衰减模型预测的会诊次数与使用J-SPEED/最小数据集(MDS)工具收集的实际数据进行了比较。结果:每次灾难的EMT咨询总数为684至18468。各灾害的预测曲线与实际K数据相似(R2为0.953 ~ 0.997),但熊本地震和莫桑比克气旋的R2均低于0.985,需要进行补偿调整。对于6种灾害,基于K值预测的咨询次数与实测的累计咨询次数之间的差异在±1.0%至±4.1%之间。结论:虽然K值和恒定衰减模型最初是为了预测COVID-19患者人数而开发的,但它可以可靠地预测六种不同灾害期间所需的EMT会诊次数。这个简单的模型可能对紧急医疗救护人员在灾害期间的未来反应协调有用。
本文章由计算机程序翻译,如有差异,请以英文原文为准。
求助全文
约1分钟内获得全文 求助全文
来源期刊
Archives of Academic Emergency Medicine
Archives of Academic Emergency Medicine Medicine-Emergency Medicine
CiteScore
8.90
自引率
7.40%
发文量
0
审稿时长
6 weeks
×
引用
GB/T 7714-2015
复制
MLA
复制
APA
复制
导出至
BibTeX EndNote RefMan NoteFirst NoteExpress
×
提示
您的信息不完整,为了账户安全,请先补充。
现在去补充
×
提示
您因"违规操作"
具体请查看互助需知
我知道了
×
提示
确定
请完成安全验证×
copy
已复制链接
快去分享给好友吧!
我知道了
右上角分享
点击右上角分享
0
联系我们:info@booksci.cn Book学术提供免费学术资源搜索服务,方便国内外学者检索中英文文献。致力于提供最便捷和优质的服务体验。 Copyright © 2023 布克学术 All rights reserved.
京ICP备2023020795号-1
ghs 京公网安备 11010802042870号
Book学术文献互助
Book学术文献互助群
群 号:604180095
Book学术官方微信