Thermal Boundary Resistance Reduction by Interfacial Nanopatterning for GaN-on-Diamond Electronics Applications.

IF 4.7 3区 材料科学 Q1 ENGINEERING, ELECTRICAL & ELECTRONIC
ACS Applied Electronic Materials Pub Date : 2025-03-27 eCollection Date: 2025-04-08 DOI:10.1021/acsaelm.5c00119
Xiaoyang Ji, Sai Charan Vanjari, Daniel Francis, Jerome A Cuenca, Arpit Nandi, David Cherns, Oliver A Williams, Felix Ejeckam, James W Pomeroy, Martin Kuball
{"title":"Thermal Boundary Resistance Reduction by Interfacial Nanopatterning for GaN-on-Diamond Electronics Applications.","authors":"Xiaoyang Ji, Sai Charan Vanjari, Daniel Francis, Jerome A Cuenca, Arpit Nandi, David Cherns, Oliver A Williams, Felix Ejeckam, James W Pomeroy, Martin Kuball","doi":"10.1021/acsaelm.5c00119","DOIUrl":null,"url":null,"abstract":"<p><p>GaN high electron mobility transistors (HEMTs) on SiC substrates are the highest performing commercially available transistors for high-power, high-frequency applications. However, Joule self-heating limits the maximum areal power density, i.e., operating power is derated to ensure the lifetime of GaN-based devices. Diamond is attractive as a heat sink due to its record-high thermal conductivity combined with its high electrical resistivity. GaN-on-diamond devices have been demonstrated, bringing the diamond as close as possible to the active device area. The GaN/diamond interface, close to the channel heat source, needs to efficiently conduct high heat fluxes, but it can present a significant thermal boundary resistance (TBR). In this work, we implement nanoscale trenches between GaN and diamond to explore new strategies for reducing the effective GaN/diamond TBR (TBR<sub>eff</sub>). A 3× reduction in GaN/diamond TBR<sub>eff</sub> was achieved using this approach, which is consistent with the increased contact area; thermal properties were measured using nanosecond transient thermoreflectance (ns-TTR). In addition, the SiN <sub><i>x</i></sub> dielectric interlayer between the GaN and diamond increased its thermal conductivity by 2× through annealing, further reducing the TBR. This work demonstrates that the thermal resistance of heterogeneous interfaces can be optimized by nanostructured patterning and high-temperature annealing, which paves the way for enhanced thermal management in future device applications.</p>","PeriodicalId":3,"journal":{"name":"ACS Applied Electronic Materials","volume":"7 7","pages":"2939-2946"},"PeriodicalIF":4.7000,"publicationDate":"2025-03-27","publicationTypes":"Journal Article","fieldsOfStudy":null,"isOpenAccess":false,"openAccessPdf":"https://www.ncbi.nlm.nih.gov/pmc/articles/PMC11984094/pdf/","citationCount":"0","resultStr":null,"platform":"Semanticscholar","paperid":null,"PeriodicalName":"ACS Applied Electronic Materials","FirstCategoryId":"88","ListUrlMain":"https://doi.org/10.1021/acsaelm.5c00119","RegionNum":3,"RegionCategory":"材料科学","ArticlePicture":[],"TitleCN":null,"AbstractTextCN":null,"PMCID":null,"EPubDate":"2025/4/8 0:00:00","PubModel":"eCollection","JCR":"Q1","JCRName":"ENGINEERING, ELECTRICAL & ELECTRONIC","Score":null,"Total":0}
引用次数: 0

Abstract

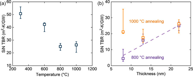
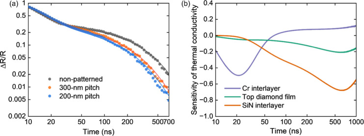
GaN high electron mobility transistors (HEMTs) on SiC substrates are the highest performing commercially available transistors for high-power, high-frequency applications. However, Joule self-heating limits the maximum areal power density, i.e., operating power is derated to ensure the lifetime of GaN-based devices. Diamond is attractive as a heat sink due to its record-high thermal conductivity combined with its high electrical resistivity. GaN-on-diamond devices have been demonstrated, bringing the diamond as close as possible to the active device area. The GaN/diamond interface, close to the channel heat source, needs to efficiently conduct high heat fluxes, but it can present a significant thermal boundary resistance (TBR). In this work, we implement nanoscale trenches between GaN and diamond to explore new strategies for reducing the effective GaN/diamond TBR (TBReff). A 3× reduction in GaN/diamond TBReff was achieved using this approach, which is consistent with the increased contact area; thermal properties were measured using nanosecond transient thermoreflectance (ns-TTR). In addition, the SiN x dielectric interlayer between the GaN and diamond increased its thermal conductivity by 2× through annealing, further reducing the TBR. This work demonstrates that the thermal resistance of heterogeneous interfaces can be optimized by nanostructured patterning and high-temperature annealing, which paves the way for enhanced thermal management in future device applications.

Abstract Image

Abstract Image

Abstract Image

金刚石上氮化镓电子应用中界面纳米图的热边界阻降低。
在SiC衬底上的GaN高电子迁移率晶体管(hemt)是高功率、高频应用中性能最高的商用晶体管。然而,焦耳自热限制了最大面功率密度,即降低了工作功率以确保gan基器件的寿命。由于其创纪录的高导热性和高电阻率,金刚石作为散热器很有吸引力。GaN-on-diamond器件已经被证明,使金刚石尽可能接近有源器件区域。靠近通道热源的氮化镓/金刚石界面需要高效传导高热流,但会产生显著的热边界阻(TBR)。在这项工作中,我们在GaN和金刚石之间实现了纳米尺度的沟槽,以探索降低有效GaN/金刚石TBR (TBReff)的新策略。使用这种方法,GaN/金刚石的TBReff降低了3倍,这与增加的接触面积一致;热性能采用纳秒瞬态热反射(ns-TTR)测量。此外,GaN与金刚石之间的sinx介电夹层通过退火使其导热系数提高了2倍,进一步降低了TBR。这项工作表明,可以通过纳米结构图图化和高温退火来优化非均质界面的热阻,这为未来器件应用中增强热管理铺平了道路。
本文章由计算机程序翻译,如有差异,请以英文原文为准。
求助全文
约1分钟内获得全文 求助全文
来源期刊
CiteScore
7.20
自引率
4.30%
发文量
567
期刊介绍: ACS Applied Electronic Materials is an interdisciplinary journal publishing original research covering all aspects of electronic materials. The journal is devoted to reports of new and original experimental and theoretical research of an applied nature that integrate knowledge in the areas of materials science, engineering, optics, physics, and chemistry into important applications of electronic materials. Sample research topics that span the journal's scope are inorganic, organic, ionic and polymeric materials with properties that include conducting, semiconducting, superconducting, insulating, dielectric, magnetic, optoelectronic, piezoelectric, ferroelectric and thermoelectric. Indexed/​Abstracted: Web of Science SCIE Scopus CAS INSPEC Portico
×
引用
GB/T 7714-2015
复制
MLA
复制
APA
复制
导出至
BibTeX EndNote RefMan NoteFirst NoteExpress
×
提示
您的信息不完整,为了账户安全,请先补充。
现在去补充
×
提示
您因"违规操作"
具体请查看互助需知
我知道了
×
提示
确定
请完成安全验证×
copy
已复制链接
快去分享给好友吧!
我知道了
右上角分享
点击右上角分享
0
联系我们:info@booksci.cn Book学术提供免费学术资源搜索服务,方便国内外学者检索中英文文献。致力于提供最便捷和优质的服务体验。 Copyright © 2023 布克学术 All rights reserved.
京ICP备2023020795号-1
ghs 京公网安备 11010802042870号
Book学术文献互助
Book学术文献互助群
群 号:604180095
Book学术官方微信