Association of MTHFR missense variants with thromboembolic diseases and coagulation factor levels in European populations.

IF 2.2 4区 医学 Q2 HEMATOLOGY
Iyas Daghlas, Mengmeng Wang, Dipender Gill
{"title":"Association of MTHFR missense variants with thromboembolic diseases and coagulation factor levels in European populations.","authors":"Iyas Daghlas, Mengmeng Wang, Dipender Gill","doi":"10.1186/s12959-025-00711-1","DOIUrl":null,"url":null,"abstract":"<p><strong>Background: </strong>Investigations of the association between missense variants in the methylenetetrahydrofolate reductase (MTHFR) gene and thromboembolic diseases have been limited by small sample sizes. The effect of these variants on coagulation factor levels remains similarly uncertain.</p><p><strong>Objectives: </strong>To test the association of the C677T and A1298C missense variants in MTHFR with risk of venous thromboembolism (VTE), cardioembolic stroke (CES), and circulating coagulation cascade protein levels.</p><p><strong>Patients/methods: </strong>We analyzed genetic associations of MTHFR missense variants with VTE (81,190 cases and 1,419,671 controls), CES (10,804 cases and 1,234,808 controls), and circulating levels of coagulation cascade proteins from the deCODE (n = 35,559) and UK Biobank (n = 46,218) cohorts. All participants in these genetic analyses were of European ancestry. We report odds ratios (OR) and beta coefficients per copy of the missense variant. VTE associations were compared to the effect of the Factor V Leiden variant.</p><p><strong>Results: </strong>The A1298C variant conferred a small increased risk of VTE (OR per allele: 1.03, 95% confidence interval [CI] 1.02-1.04, P = 1.36 × 10<sup>- 6</sup>). This effect was 30-fold weaker than the effect of Factor V Leiden on VTE. After correction for multiple comparisons, the C677T variant did not demonstrate a significant association with VTE (OR 0.99, 95% CI 0.98-1.00, P = 0.04). Neither variant was associated with CES (P ≥ 0.18), nor with any of the 34 coagulation cascade proteins after correction for multiple comparisons.</p><p><strong>Conclusions: </strong>These data do not support a role for MTHFR genetic testing as part of an inherited thrombophilia evaluation.</p>","PeriodicalId":22982,"journal":{"name":"Thrombosis Journal","volume":"23 1","pages":"29"},"PeriodicalIF":2.2000,"publicationDate":"2025-04-08","publicationTypes":"Journal Article","fieldsOfStudy":null,"isOpenAccess":false,"openAccessPdf":"https://www.ncbi.nlm.nih.gov/pmc/articles/PMC11978176/pdf/","citationCount":"0","resultStr":null,"platform":"Semanticscholar","paperid":null,"PeriodicalName":"Thrombosis Journal","FirstCategoryId":"3","ListUrlMain":"https://doi.org/10.1186/s12959-025-00711-1","RegionNum":4,"RegionCategory":"医学","ArticlePicture":[],"TitleCN":null,"AbstractTextCN":null,"PMCID":null,"EPubDate":"","PubModel":"","JCR":"Q2","JCRName":"HEMATOLOGY","Score":null,"Total":0}
引用次数: 0

Abstract

Background: Investigations of the association between missense variants in the methylenetetrahydrofolate reductase (MTHFR) gene and thromboembolic diseases have been limited by small sample sizes. The effect of these variants on coagulation factor levels remains similarly uncertain.

Objectives: To test the association of the C677T and A1298C missense variants in MTHFR with risk of venous thromboembolism (VTE), cardioembolic stroke (CES), and circulating coagulation cascade protein levels.

Patients/methods: We analyzed genetic associations of MTHFR missense variants with VTE (81,190 cases and 1,419,671 controls), CES (10,804 cases and 1,234,808 controls), and circulating levels of coagulation cascade proteins from the deCODE (n = 35,559) and UK Biobank (n = 46,218) cohorts. All participants in these genetic analyses were of European ancestry. We report odds ratios (OR) and beta coefficients per copy of the missense variant. VTE associations were compared to the effect of the Factor V Leiden variant.

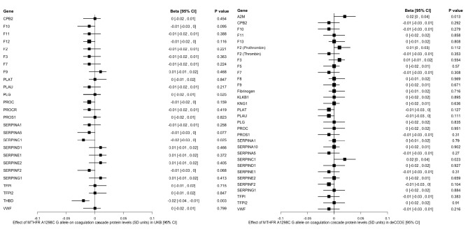
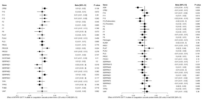
Results: The A1298C variant conferred a small increased risk of VTE (OR per allele: 1.03, 95% confidence interval [CI] 1.02-1.04, P = 1.36 × 10- 6). This effect was 30-fold weaker than the effect of Factor V Leiden on VTE. After correction for multiple comparisons, the C677T variant did not demonstrate a significant association with VTE (OR 0.99, 95% CI 0.98-1.00, P = 0.04). Neither variant was associated with CES (P ≥ 0.18), nor with any of the 34 coagulation cascade proteins after correction for multiple comparisons.

Conclusions: These data do not support a role for MTHFR genetic testing as part of an inherited thrombophilia evaluation.

Abstract Image

Abstract Image

Abstract Image

欧洲人群中MTHFR错义变异与血栓栓塞性疾病和凝血因子水平的关系
背景:亚甲基四氢叶酸还原酶(MTHFR)基因错义变异与血栓栓塞性疾病之间关系的研究受到小样本量的限制。这些变异对凝血因子水平的影响同样不确定。目的:检测MTHFR中C677T和A1298C错义变异与静脉血栓栓塞(VTE)、心脏栓塞性卒中(CES)和循环凝血级联蛋白水平的关系。患者/方法:我们分析了MTHFR错义变异与VTE(81,190例,1419,671例对照)、CES(10,804例,1,234,808例对照)以及来自deCODE (n = 35,559)和UK Biobank (n = 46218)队列的凝血级联蛋白循环水平的遗传关联。这些基因分析的所有参与者都是欧洲血统。我们报告了每个错义变异拷贝的比值比(OR)和贝塔系数。静脉血栓栓塞与因子V Leiden变异的影响进行了比较。结果:A1298C变异可使VTE风险小幅增加(每个等位基因OR: 1.03, 95%可信区间[CI] 1.02-1.04, P = 1.36 × 10- 6)。这种作用比利登因子V对静脉血栓栓塞的作用弱30倍。经多次比较校正后,C677T变异与VTE没有显著相关性(OR 0.99, 95% CI 0.98-1.00, P = 0.04)。经多次比较校正后,两种变异均与CES无关(P≥0.18),也与34种凝血级联蛋白中的任何一种无关。结论:这些数据不支持MTHFR基因检测作为遗传性血栓形成评估的一部分的作用。
本文章由计算机程序翻译,如有差异,请以英文原文为准。
求助全文
约1分钟内获得全文 求助全文
来源期刊
Thrombosis Journal
Thrombosis Journal Medicine-Hematology
CiteScore
3.80
自引率
3.20%
发文量
69
审稿时长
16 weeks
期刊介绍: Thrombosis Journal is an open-access journal that publishes original articles on aspects of clinical and basic research, new methodology, case reports and reviews in the areas of thrombosis. Topics of particular interest include the diagnosis of arterial and venous thrombosis, new antithrombotic treatments, new developments in the understanding, diagnosis and treatments of atherosclerotic vessel disease, relations between haemostasis and vascular disease, hypertension, diabetes, immunology and obesity.
×
引用
GB/T 7714-2015
复制
MLA
复制
APA
复制
导出至
BibTeX EndNote RefMan NoteFirst NoteExpress
×
提示
您的信息不完整,为了账户安全,请先补充。
现在去补充
×
提示
您因"违规操作"
具体请查看互助需知
我知道了
×
提示
确定
请完成安全验证×
copy
已复制链接
快去分享给好友吧!
我知道了
右上角分享
点击右上角分享
0
联系我们:info@booksci.cn Book学术提供免费学术资源搜索服务,方便国内外学者检索中英文文献。致力于提供最便捷和优质的服务体验。 Copyright © 2023 布克学术 All rights reserved.
京ICP备2023020795号-1
ghs 京公网安备 11010802042870号
Book学术文献互助
Book学术文献互助群
群 号:604180095
Book学术官方微信