Comparative Aquatic Risk of Three Glyphosate-Based Herbicides Using Early-Stage Development of Clarias gariepinus (Burchell, 1822).

IF 3 Q2 TOXICOLOGY
Journal of Toxicology Pub Date : 2025-04-01 eCollection Date: 2025-01-01 DOI:10.1155/jt/9102995
Chukwuma Okereke Ofor, Elizabeth Ogechukwu Uzochukwu, Chima Emmanuel Akudike, Paul Chinedu Onuoha
{"title":"Comparative Aquatic Risk of Three Glyphosate-Based Herbicides Using Early-Stage Development of <i>Clarias gariepinus</i> (Burchell, 1822).","authors":"Chukwuma Okereke Ofor, Elizabeth Ogechukwu Uzochukwu, Chima Emmanuel Akudike, Paul Chinedu Onuoha","doi":"10.1155/jt/9102995","DOIUrl":null,"url":null,"abstract":"<p><p><i>Clarias gariepinus'</i> (Burchell, 1822) early-stage development was assessed in microconcentrations of glyphosate-based herbicides (GBHs), Forceup, Roundup, and Uproot. Using the default ecological trigger value of 0.37 mg L<sup>-1</sup> of glyphosate as a reference, herbicides were diluted to microconcentrations containing 0.006, 0.013, 0.025, 0.05, and 0.10 ([v/v] %) of herbicide using borehole water, which served as control. Concentrations and control were replicated three times. Fertilization (%), time to morula formation and to commencement of hatching (minutes), hatching (% fertilized eggs), and 96-h larval survival (% hatched larvae) in microconcentrations were monitored. Within formulation, concentration significantly affected fertilization and hatching rates (<i>p</i> < 0.001), time to morula formation and hatching, and 96-h larval survival ([<i>χ</i> <sup>2</sup>] 5 = 16,648, <i>p</i> = 0.010; [Kruskal-Wallis H test]). Morula formation, fertilization, hatching, and larval survival rates were significantly affected by formulation in Concentrations 2 and 3, while fertilization rate was significantly affected at all concentrations ([<i>χ</i> <sup>2</sup>] 3 = 6.49, <i>p</i> = 0.039). The glyphosate ecological trigger value of 0.37 mg L<sup>-1</sup> as well as the recommended application rate of Roundup Proactive in aquatic and riparian environments of 0.32% (v/v) are higher than the lowest significant effect concentrations of the herbicides. Reactive oxygen species (ROS) and superoxide dismutase (SOD) in control embryos, were higher but not significantly, than levels in freshly stripped eggs (<i>p</i> > 0.05) (Mann-Whitney <i>U</i> test). Early-stage development was normal in controls, suggesting a balance between ROS and SOD. This was, however upset in treatments, leading to deleterious effects on early-stage development. GBHs pose a greater risk to fish reproduction, varying in severity with the formulation. This should be considered in regulations for their use in aquatic and riparian environments, balancing herbicide effectiveness with the risk of aquatic toxicity.</p>","PeriodicalId":17421,"journal":{"name":"Journal of Toxicology","volume":"2025 ","pages":"9102995"},"PeriodicalIF":3.0000,"publicationDate":"2025-04-01","publicationTypes":"Journal Article","fieldsOfStudy":null,"isOpenAccess":false,"openAccessPdf":"https://www.ncbi.nlm.nih.gov/pmc/articles/PMC11978474/pdf/","citationCount":"0","resultStr":null,"platform":"Semanticscholar","paperid":null,"PeriodicalName":"Journal of Toxicology","FirstCategoryId":"3","ListUrlMain":"https://doi.org/10.1155/jt/9102995","RegionNum":0,"RegionCategory":null,"ArticlePicture":[],"TitleCN":null,"AbstractTextCN":null,"PMCID":null,"EPubDate":"2025/1/1 0:00:00","PubModel":"eCollection","JCR":"Q2","JCRName":"TOXICOLOGY","Score":null,"Total":0}
引用次数: 0

Abstract

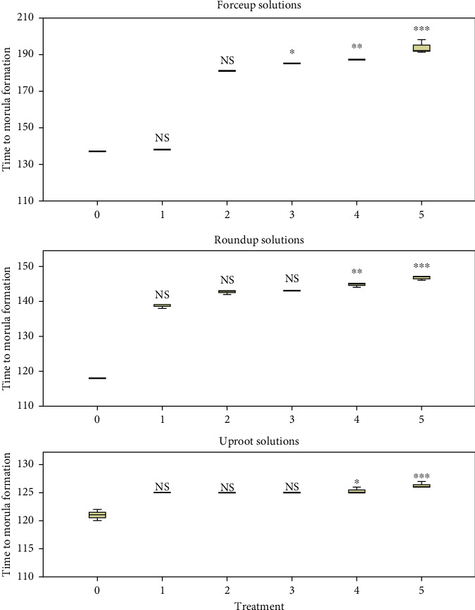
Clarias gariepinus' (Burchell, 1822) early-stage development was assessed in microconcentrations of glyphosate-based herbicides (GBHs), Forceup, Roundup, and Uproot. Using the default ecological trigger value of 0.37 mg L-1 of glyphosate as a reference, herbicides were diluted to microconcentrations containing 0.006, 0.013, 0.025, 0.05, and 0.10 ([v/v] %) of herbicide using borehole water, which served as control. Concentrations and control were replicated three times. Fertilization (%), time to morula formation and to commencement of hatching (minutes), hatching (% fertilized eggs), and 96-h larval survival (% hatched larvae) in microconcentrations were monitored. Within formulation, concentration significantly affected fertilization and hatching rates (p < 0.001), time to morula formation and hatching, and 96-h larval survival ([χ 2] 5 = 16,648, p = 0.010; [Kruskal-Wallis H test]). Morula formation, fertilization, hatching, and larval survival rates were significantly affected by formulation in Concentrations 2 and 3, while fertilization rate was significantly affected at all concentrations ([χ 2] 3 = 6.49, p = 0.039). The glyphosate ecological trigger value of 0.37 mg L-1 as well as the recommended application rate of Roundup Proactive in aquatic and riparian environments of 0.32% (v/v) are higher than the lowest significant effect concentrations of the herbicides. Reactive oxygen species (ROS) and superoxide dismutase (SOD) in control embryos, were higher but not significantly, than levels in freshly stripped eggs (p > 0.05) (Mann-Whitney U test). Early-stage development was normal in controls, suggesting a balance between ROS and SOD. This was, however upset in treatments, leading to deleterious effects on early-stage development. GBHs pose a greater risk to fish reproduction, varying in severity with the formulation. This should be considered in regulations for their use in aquatic and riparian environments, balancing herbicide effectiveness with the risk of aquatic toxicity.

Abstract Image

Abstract Image

Abstract Image

三种草甘膦除草剂对早期发展的Clarias gariepinus水生风险的比较(Burchell, 1822)。
对Clarias gariepinus (Burchell, 1822)的早期发育进行了草甘膦除草剂(GBHs)、Forceup、Roundup和Uproot微量浓度的评估。以草甘膦的默认生态触发值0.37 mg L-1为参照,利用井水将除草剂稀释至含有0.006、0.013、0.025、0.05和0.10 ([v/v] %)除草剂的微量浓度,作为对照。浓度和对照重复三次。监测微浓度下的受精率(%)、桑葚胚形成和孵化时间(分钟)、孵化率(受精卵百分比)和96 h幼虫存活率(孵化幼虫百分比)。在配方内,浓度显著影响受精率和孵化率(p χ 2) 5 = 16,648, p = 0.010;[Kruskal-Wallis H检验])。浓度2和3显著影响桑葚胚形成、受精、孵化和幼虫存活率,且各浓度均显著影响受精率([χ 2] 3 = 6.49, p = 0.039)。草甘膦的生态触发值为0.37 mg L-1,草甘膦在水生和河岸环境中的推荐施用量为0.32% (v/v),均高于上述除草剂的最低显著效应浓度。对照胚的活性氧(ROS)和超氧化物歧化酶(SOD)含量高于鲜剥卵,但差异不显著(p < 0.05) (Mann-Whitney U检验)。对照组早期发育正常,提示ROS和SOD之间的平衡。然而,这种情况在治疗中很不理想,导致对早期发育的有害影响。GBHs对鱼类繁殖构成更大的风险,其严重程度因配方而异。在规定其在水生和河岸环境中的使用时应考虑到这一点,以平衡除草剂的有效性与水生毒性的风险。
本文章由计算机程序翻译,如有差异,请以英文原文为准。
求助全文
约1分钟内获得全文 求助全文
来源期刊
Journal of Toxicology
Journal of Toxicology TOXICOLOGY-
CiteScore
5.50
自引率
3.40%
发文量
0
审稿时长
10 weeks
期刊介绍: Journal of Toxicology is a peer-reviewed, Open Access journal that publishes original research articles, review articles, and clinical studies in all areas of toxicological sciences. The journal will consider articles looking at the structure, function, and mechanism of agents that are toxic to humans and/or animals, as well as toxicological medicine, risk assessment, safety evaluation, and environmental health.
×
引用
GB/T 7714-2015
复制
MLA
复制
APA
复制
导出至
BibTeX EndNote RefMan NoteFirst NoteExpress
×
提示
您的信息不完整,为了账户安全,请先补充。
现在去补充
×
提示
您因"违规操作"
具体请查看互助需知
我知道了
×
提示
确定
请完成安全验证×
copy
已复制链接
快去分享给好友吧!
我知道了
右上角分享
点击右上角分享
0
联系我们:info@booksci.cn Book学术提供免费学术资源搜索服务,方便国内外学者检索中英文文献。致力于提供最便捷和优质的服务体验。 Copyright © 2023 布克学术 All rights reserved.
京ICP备2023020795号-1
ghs 京公网安备 11010802042870号
Book学术文献互助
Book学术文献互助群
群 号:604180095
Book学术官方微信