Predicting prolonged work absence due to musculoskeletal disorders: development, validation, and clinical usefulness of prognostic prediction models.

IF 2.4 3区 医学 Q2 PUBLIC, ENVIRONMENTAL & OCCUPATIONAL HEALTH
Tarjei Rysstad, Margreth Grotle, Adrian C Traeger, Lene Aasdahl, Ørjan Nesse Vigdal, Fiona Aanesen, Britt Elin Øiestad, Are Hugo Pripp, Gwenllian Wynne-Jones, Kate M Dunn, Egil A Fors, Steven J Linton, Anne Therese Tveter
{"title":"Predicting prolonged work absence due to musculoskeletal disorders: development, validation, and clinical usefulness of prognostic prediction models.","authors":"Tarjei Rysstad, Margreth Grotle, Adrian C Traeger, Lene Aasdahl, Ørjan Nesse Vigdal, Fiona Aanesen, Britt Elin Øiestad, Are Hugo Pripp, Gwenllian Wynne-Jones, Kate M Dunn, Egil A Fors, Steven J Linton, Anne Therese Tveter","doi":"10.1007/s00420-025-02129-8","DOIUrl":null,"url":null,"abstract":"<p><strong>Purpose: </strong>Given the lack of robust prognostic models for early identification of individuals at risk of work disability, this study aimed to develop and externally validate three models for prolonged work absence among individuals on sick leave due to musculoskeletal disorders.</p><p><strong>Methods: </strong>We developed three multivariable logistic regression models using data from 934 individuals on sick leave for 4-12 weeks due to musculoskeletal disorders, recruited through the Norwegian Labour and Welfare Administration. The models predicted three outcomes: (1) > 90 consecutive sick days, (2) > 180 consecutive sick days, and (3) any new or increased work assessment allowance or disability pension within 12 months. Each model was externally validated in a separate cohort of participants (8-12 weeks of sick leave) from a different geographical region in Norway. We evaluated model performance using discrimination (c-statistic), calibration, and assessed clinical usefulness using decision curve analysis (net benefit). Bootstrapping was used to adjust for overoptimism.</p><p><strong>Results: </strong>All three models showed good predictive performance in the external validation sample, with c-statistics exceeding 0.76. The model predicting > 180 days performed best, demonstrating good calibration and discrimination (c-statistic 0.79 (95% CI 0.73-0.85), and providing net benefit across a range of decision thresholds from 0.10 to 0.80.</p><p><strong>Conclusions: </strong>These models, particularly the one predicting > 180 days, may facilitate secondary prevention strategies and guide future clinical trials. Further validation and refinement are necessary to optimise the models and to test their performance in larger samples.</p>","PeriodicalId":13761,"journal":{"name":"International Archives of Occupational and Environmental Health","volume":" ","pages":"385-397"},"PeriodicalIF":2.4000,"publicationDate":"2025-07-01","publicationTypes":"Journal Article","fieldsOfStudy":null,"isOpenAccess":false,"openAccessPdf":"https://www.ncbi.nlm.nih.gov/pmc/articles/PMC12238208/pdf/","citationCount":"0","resultStr":null,"platform":"Semanticscholar","paperid":null,"PeriodicalName":"International Archives of Occupational and Environmental Health","FirstCategoryId":"3","ListUrlMain":"https://doi.org/10.1007/s00420-025-02129-8","RegionNum":3,"RegionCategory":"医学","ArticlePicture":[],"TitleCN":null,"AbstractTextCN":null,"PMCID":null,"EPubDate":"2025/4/8 0:00:00","PubModel":"Epub","JCR":"Q2","JCRName":"PUBLIC, ENVIRONMENTAL & OCCUPATIONAL HEALTH","Score":null,"Total":0}
引用次数: 0

Abstract

Purpose: Given the lack of robust prognostic models for early identification of individuals at risk of work disability, this study aimed to develop and externally validate three models for prolonged work absence among individuals on sick leave due to musculoskeletal disorders.

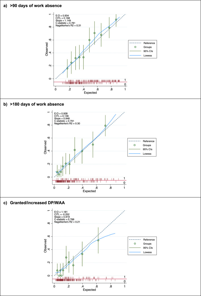
Methods: We developed three multivariable logistic regression models using data from 934 individuals on sick leave for 4-12 weeks due to musculoskeletal disorders, recruited through the Norwegian Labour and Welfare Administration. The models predicted three outcomes: (1) > 90 consecutive sick days, (2) > 180 consecutive sick days, and (3) any new or increased work assessment allowance or disability pension within 12 months. Each model was externally validated in a separate cohort of participants (8-12 weeks of sick leave) from a different geographical region in Norway. We evaluated model performance using discrimination (c-statistic), calibration, and assessed clinical usefulness using decision curve analysis (net benefit). Bootstrapping was used to adjust for overoptimism.

Results: All three models showed good predictive performance in the external validation sample, with c-statistics exceeding 0.76. The model predicting > 180 days performed best, demonstrating good calibration and discrimination (c-statistic 0.79 (95% CI 0.73-0.85), and providing net benefit across a range of decision thresholds from 0.10 to 0.80.

Conclusions: These models, particularly the one predicting > 180 days, may facilitate secondary prevention strategies and guide future clinical trials. Further validation and refinement are necessary to optimise the models and to test their performance in larger samples.

Abstract Image

Abstract Image

预测肌肉骨骼疾病导致的长期缺勤:预后预测模型的开发、验证和临床应用。
目的:鉴于缺乏可靠的预测模型来早期识别有工作残疾风险的个体,本研究旨在开发和外部验证三个模型,用于因肌肉骨骼疾病而请病假的个体长期缺勤。方法:我们开发了三个多变量逻辑回归模型,使用934名因肌肉骨骼疾病请病假4-12周的数据,这些数据是通过挪威劳动和福利管理局招募的。该模型预测了三种结果:(1)连续病假90天;(2)连续病假180天;(3)12个月内任何新的或增加的工作评估津贴或残疾养恤金。每个模型都在来自挪威不同地理区域的参与者(8-12周病假)的单独队列中进行了外部验证。我们使用鉴别(c统计)、校准来评估模型的性能,并使用决策曲线分析(净效益)来评估临床有用性。引导被用来调整过度乐观。结果:三种模型在外部验证样本中均表现出良好的预测性能,c统计量均超过0.76。预测> 180天的模型表现最好,显示出良好的校准和判别(c统计量0.79 (95% CI 0.73-0.85)),并在0.10至0.80的决策阈值范围内提供净效益。结论:这些模型,特别是预测bbb180天的模型,可以促进二级预防策略并指导未来的临床试验。进一步的验证和改进是必要的,以优化模型并在更大的样本中测试它们的性能。
本文章由计算机程序翻译,如有差异,请以英文原文为准。
求助全文
约1分钟内获得全文 求助全文
来源期刊
International Archives of Occupational and Environmental Health
International Archives of Occupational and Environmental Health 医学-公共卫生、环境卫生与职业卫生
CiteScore
5.60
自引率
6.70%
发文量
127
审稿时长
3 months
期刊介绍: International Archives of Occupational and Environmental Health publishes Editorials, Review Articles, Original Articles, and Letters to the Editor. It welcomes any manuscripts dealing with occupational or ambient environmental problems, with a special interest in research at the interface of occupational health and clinical medicine. The scope ranges from Biological Monitoring to Dermatology, from Fibers and Dust to Human Toxicology, from Nanomaterials and Ultra-fine Dust to Night- and Shift Work, from Psycho-mental Distress and Burnout to Vibrations. A complete list of topics can be found on the right-hand side under For authors and editors. In addition, all papers should be based on present-day standards and relate to: -Clinical and epidemiological studies on morbidity and mortality -Clinical epidemiological studies on the parameters relevant to the estimation of health risks -Human experimental studies on environmental health effects. Animal experiments are only acceptable if relevant to pathogenic aspects. -Methods for studying the topics mentioned above.
×
引用
GB/T 7714-2015
复制
MLA
复制
APA
复制
导出至
BibTeX EndNote RefMan NoteFirst NoteExpress
×
提示
您的信息不完整,为了账户安全,请先补充。
现在去补充
×
提示
您因"违规操作"
具体请查看互助需知
我知道了
×
提示
确定
请完成安全验证×
copy
已复制链接
快去分享给好友吧!
我知道了
右上角分享
点击右上角分享
0
联系我们:info@booksci.cn Book学术提供免费学术资源搜索服务,方便国内外学者检索中英文文献。致力于提供最便捷和优质的服务体验。 Copyright © 2023 布克学术 All rights reserved.
京ICP备2023020795号-1
ghs 京公网安备 11010802042870号
Book学术文献互助
Book学术文献互助群
群 号:604180095
Book学术官方微信