Three-Year Outcomes After Temperature-Controlled Radiofrequency Treatment of Nasal Airway Obstruction.

IF 1.8 Q2 OTORHINOLARYNGOLOGY
OTO Open Pub Date : 2025-04-07 eCollection Date: 2025-04-01 DOI:10.1002/oto2.70111
William C Yao, Randall Ow, Michael J Sillers, Nathan E Nachlas, Curtis D Johnson, Dale Ehmer, Jordan Pritikin, Henry P Barham
{"title":"Three-Year Outcomes After Temperature-Controlled Radiofrequency Treatment of Nasal Airway Obstruction.","authors":"William C Yao, Randall Ow, Michael J Sillers, Nathan E Nachlas, Curtis D Johnson, Dale Ehmer, Jordan Pritikin, Henry P Barham","doi":"10.1002/oto2.70111","DOIUrl":null,"url":null,"abstract":"<p><strong>Objective: </strong>To evaluate the long-term safety and effectiveness of temperature-controlled radiofrequency (TCRF) treatment of nasal valve collapse (NVC) in patients with nasal airway obstruction (NAO).</p><p><strong>Study design: </strong>This is an extended follow-up from a prospective, multicenter, single-arm study. The initial study included participants from 12 sites across the United States who were followed for 24 months and additionally agreed to participate in the extended 36-month follow-up.</p><p><strong>Setting: </strong>Procedure was performed in-office with an in-person follow-up at 3 months and subsequent follow-up assessment remotely.</p><p><strong>Methods: </strong>Participants received TCRF treatment of only the nasal valve and participated in the extended 36-month follow-up. The effect of TCRF treatment was determined by analyzing changes in nasal obstruction symptom evaluation (NOSE) score at each follow-up compared to the baseline.</p><p><strong>Results: </strong>Of the 122 participants in the primary study, 66 participated in the extended 36-month follow-up. Compared to baseline, there was a 52.6% decrease in the NOSE score at 36 months (mean change -45.3 [95% CI -52.3 to -38.3]; <i>P</i> < .001), and 83.3% of the participants met the criteria for treatment response at 36 months, as defined by the study endpoint. Post hoc sensitivity analysis of the treatment response for all participants from the time of enrollment was 73.9%. No device or procedure-related adverse events or serious adverse events were reported in the interval between 24 and 36 months.</p><p><strong>Conclusion: </strong>TCRF treatment of only the nasal valve resulted in significant and durable improvement in NAO symptoms through 36 months in participants with NAO due to NVC.</p>","PeriodicalId":19697,"journal":{"name":"OTO Open","volume":"9 2","pages":"e70111"},"PeriodicalIF":1.8000,"publicationDate":"2025-04-07","publicationTypes":"Journal Article","fieldsOfStudy":null,"isOpenAccess":false,"openAccessPdf":"https://www.ncbi.nlm.nih.gov/pmc/articles/PMC11973577/pdf/","citationCount":"0","resultStr":null,"platform":"Semanticscholar","paperid":null,"PeriodicalName":"OTO Open","FirstCategoryId":"1085","ListUrlMain":"https://doi.org/10.1002/oto2.70111","RegionNum":0,"RegionCategory":null,"ArticlePicture":[],"TitleCN":null,"AbstractTextCN":null,"PMCID":null,"EPubDate":"2025/4/1 0:00:00","PubModel":"eCollection","JCR":"Q2","JCRName":"OTORHINOLARYNGOLOGY","Score":null,"Total":0}
引用次数: 0

Abstract

Objective: To evaluate the long-term safety and effectiveness of temperature-controlled radiofrequency (TCRF) treatment of nasal valve collapse (NVC) in patients with nasal airway obstruction (NAO).

Study design: This is an extended follow-up from a prospective, multicenter, single-arm study. The initial study included participants from 12 sites across the United States who were followed for 24 months and additionally agreed to participate in the extended 36-month follow-up.

Setting: Procedure was performed in-office with an in-person follow-up at 3 months and subsequent follow-up assessment remotely.

Methods: Participants received TCRF treatment of only the nasal valve and participated in the extended 36-month follow-up. The effect of TCRF treatment was determined by analyzing changes in nasal obstruction symptom evaluation (NOSE) score at each follow-up compared to the baseline.

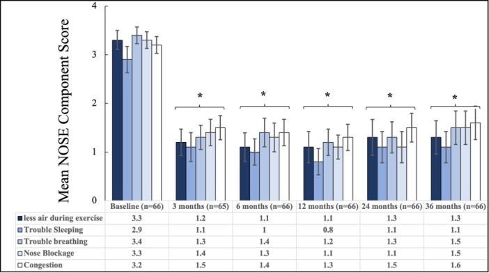
Results: Of the 122 participants in the primary study, 66 participated in the extended 36-month follow-up. Compared to baseline, there was a 52.6% decrease in the NOSE score at 36 months (mean change -45.3 [95% CI -52.3 to -38.3]; P < .001), and 83.3% of the participants met the criteria for treatment response at 36 months, as defined by the study endpoint. Post hoc sensitivity analysis of the treatment response for all participants from the time of enrollment was 73.9%. No device or procedure-related adverse events or serious adverse events were reported in the interval between 24 and 36 months.

Conclusion: TCRF treatment of only the nasal valve resulted in significant and durable improvement in NAO symptoms through 36 months in participants with NAO due to NVC.

Abstract Image

Abstract Image

Abstract Image

温控射频治疗鼻气道阻塞3年疗效观察。
目的:评价温控射频(TCRF)治疗鼻气道梗阻(NAO)患者鼻瓣膜塌陷(NVC)的长期安全性和有效性。研究设计:这是一项前瞻性、多中心、单臂研究的扩展随访。最初的研究包括来自美国12个地点的参与者,他们被跟踪了24个月,并同意参加延长的36个月的随访。设置:手术在办公室进行,3个月时进行现场随访,随后进行远程随访评估。方法:参与者接受仅鼻瓣膜TCRF治疗,并参加延长36个月的随访。通过分析每次随访时鼻塞症状评估(NOSE)评分与基线相比的变化来确定TCRF治疗的效果。结果:在最初研究的122名参与者中,66人参加了延长的36个月的随访。与基线相比,36个月时NOSE评分下降52.6%(平均变化-45.3 [95% CI -52.3至-38.3];结论:在NVC引起的NAO患者中,TCRF仅对鼻阀进行治疗,在36个月的时间里,NAO症状得到了显著而持久的改善。
本文章由计算机程序翻译,如有差异,请以英文原文为准。
求助全文
约1分钟内获得全文 求助全文
来源期刊
OTO Open
OTO Open Medicine-Surgery
CiteScore
2.70
自引率
0.00%
发文量
115
审稿时长
15 weeks
×
引用
GB/T 7714-2015
复制
MLA
复制
APA
复制
导出至
BibTeX EndNote RefMan NoteFirst NoteExpress
×
提示
您的信息不完整,为了账户安全,请先补充。
现在去补充
×
提示
您因"违规操作"
具体请查看互助需知
我知道了
×
提示
确定
请完成安全验证×
copy
已复制链接
快去分享给好友吧!
我知道了
右上角分享
点击右上角分享
0
联系我们:info@booksci.cn Book学术提供免费学术资源搜索服务,方便国内外学者检索中英文文献。致力于提供最便捷和优质的服务体验。 Copyright © 2023 布克学术 All rights reserved.
京ICP备2023020795号-1
ghs 京公网安备 11010802042870号
Book学术文献互助
Book学术文献互助群
群 号:604180095
Book学术官方微信