Analysis of the triage value of multigene methylation testing for CIN2 + in hrHPV-positive patients.

IF 2.8 2区 医学 Q3 IMMUNOLOGY
Caiyun Lin, Chenye Zhu, Meihua Xie, Hua Yang
{"title":"Analysis of the triage value of multigene methylation testing for CIN2 + in hrHPV-positive patients.","authors":"Caiyun Lin, Chenye Zhu, Meihua Xie, Hua Yang","doi":"10.1186/s13027-025-00652-4","DOIUrl":null,"url":null,"abstract":"<p><strong>Objective: </strong>To assess the triage value of multigene methylation testing for cervical intraepithelial neoplasia 2 and above (CIN2+) in high-risk human papillomavirus (hrHPV) positive patients.</p><p><strong>Methods: </strong>634 hrHPV-positive cases were selected from the gynecology outpatient clinic at Hainan Women and Children's Medical Center between July 2022 and April 2024. Out of these, 274 patients were excluded based on the inclusion and exclusion criteria. A total of 360 patients were evaluated for hrHPV, cytology, histopathology, and DNA methylation across multiple loci. These patients were categorized into five groups based on their histopathological diagnoses: control group, CIN1 group, CIN2 group, CIN3 group, and cervical cancer (CC) group. The triage value of multigene methylation testing for CIN2 + in hrHPV-positive patients was evaluated by calculating the positivity of candidate gene methylation, sensitivity, specificity, area under the curve (AUC), and other performance indicators.</p><p><strong>Results: </strong>Among the 17 candidate genes (ST6GALNAC5, PAX1, AJAP1, CDKN2A, ZNF671, GATA4, MAL, POU4F3, RXFP3, JAM3, MIR124, LHX8, SOX1, ASTN1, SOX17, DLX1, and ITGA4), ITGA4 methylation testing demonstrated the highest diagnostic efficacy for detecting CIN2 + lesions, with an AUC of 0.866 (95% confidence interval [CI]: 0.806-0.925). This method exhibited a sensitivity of 75.32% (95% CI: 0.647-0.836) and a specificity of 96.45% (95% CI: 0.936-0.981). The combined methylation test, which included all candidate genes, showed a higher specificity of 97.87% (95% CI: 0.954-0.990) compared to any individual gene methylation test. However, its sensitivity was lower, at 72.73% (95% CI: 0.619-0.814). Furthermore, the diagnostic accuracy of combining HPV16/18 testing with all candidate gene methylation tests for the diagnosis of CIN2 + was significantly greater than when HPV16/18 testing was combined with cytology. This combined approach had an AUC of 0.907 (95% CI: 0.858-0.955), a sensitivity of 72.73% (95% CI: 0.619-0.814), and a specificity of 98.58% (95% CI: 0.964-0.995).</p><p><strong>Conclusion: </strong>Multigene methylation testing is an efficient triage test for CIN2 + in hrHPV-positive patients and has potential value in clinical practice. Combined HPV16/18 and multigene methylation testing for the triage of CIN2 + is significantly better than combined HPV16/18 and cytology testing.</p>","PeriodicalId":13568,"journal":{"name":"Infectious Agents and Cancer","volume":"20 1","pages":"22"},"PeriodicalIF":2.8000,"publicationDate":"2025-04-07","publicationTypes":"Journal Article","fieldsOfStudy":null,"isOpenAccess":false,"openAccessPdf":"https://www.ncbi.nlm.nih.gov/pmc/articles/PMC11974008/pdf/","citationCount":"0","resultStr":null,"platform":"Semanticscholar","paperid":null,"PeriodicalName":"Infectious Agents and Cancer","FirstCategoryId":"3","ListUrlMain":"https://doi.org/10.1186/s13027-025-00652-4","RegionNum":2,"RegionCategory":"医学","ArticlePicture":[],"TitleCN":null,"AbstractTextCN":null,"PMCID":null,"EPubDate":"","PubModel":"","JCR":"Q3","JCRName":"IMMUNOLOGY","Score":null,"Total":0}
引用次数: 0

Abstract

Objective: To assess the triage value of multigene methylation testing for cervical intraepithelial neoplasia 2 and above (CIN2+) in high-risk human papillomavirus (hrHPV) positive patients.

Methods: 634 hrHPV-positive cases were selected from the gynecology outpatient clinic at Hainan Women and Children's Medical Center between July 2022 and April 2024. Out of these, 274 patients were excluded based on the inclusion and exclusion criteria. A total of 360 patients were evaluated for hrHPV, cytology, histopathology, and DNA methylation across multiple loci. These patients were categorized into five groups based on their histopathological diagnoses: control group, CIN1 group, CIN2 group, CIN3 group, and cervical cancer (CC) group. The triage value of multigene methylation testing for CIN2 + in hrHPV-positive patients was evaluated by calculating the positivity of candidate gene methylation, sensitivity, specificity, area under the curve (AUC), and other performance indicators.

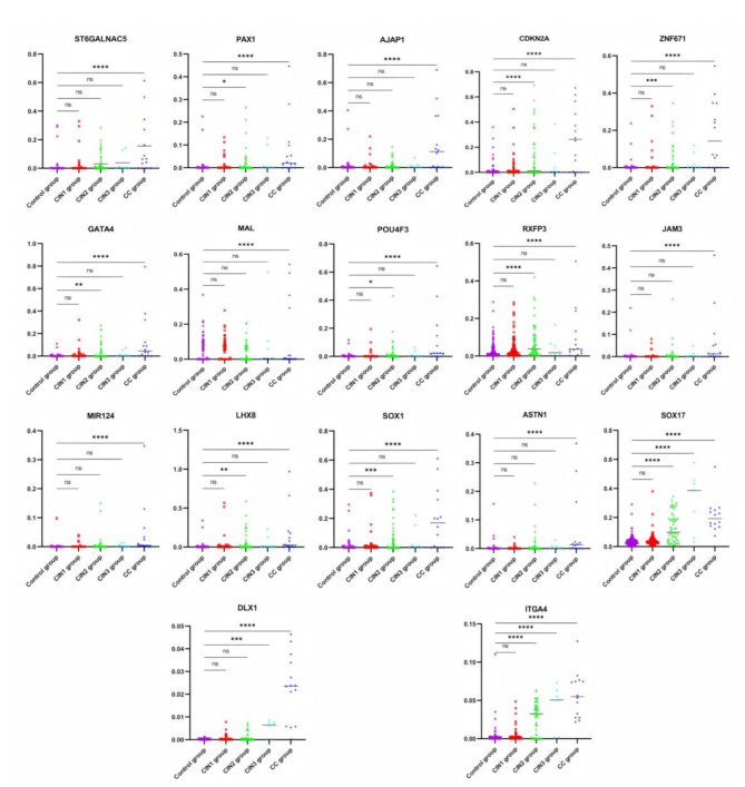
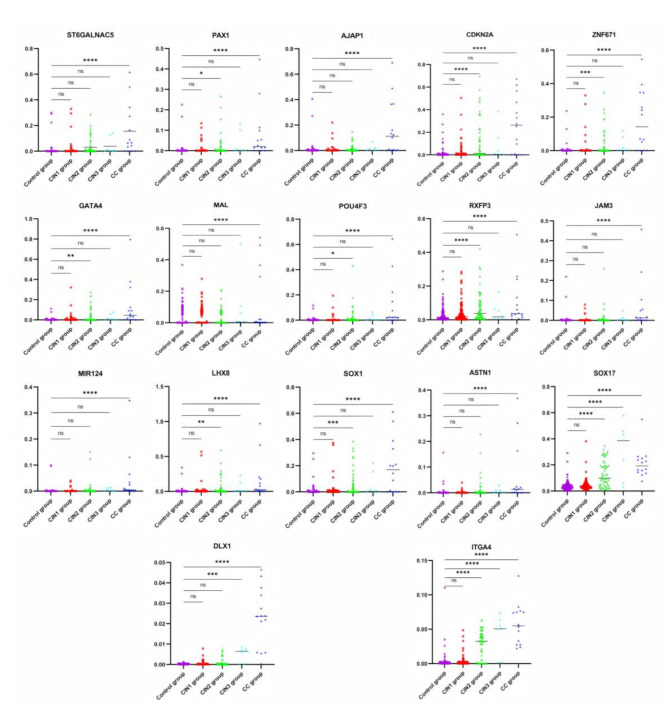
Results: Among the 17 candidate genes (ST6GALNAC5, PAX1, AJAP1, CDKN2A, ZNF671, GATA4, MAL, POU4F3, RXFP3, JAM3, MIR124, LHX8, SOX1, ASTN1, SOX17, DLX1, and ITGA4), ITGA4 methylation testing demonstrated the highest diagnostic efficacy for detecting CIN2 + lesions, with an AUC of 0.866 (95% confidence interval [CI]: 0.806-0.925). This method exhibited a sensitivity of 75.32% (95% CI: 0.647-0.836) and a specificity of 96.45% (95% CI: 0.936-0.981). The combined methylation test, which included all candidate genes, showed a higher specificity of 97.87% (95% CI: 0.954-0.990) compared to any individual gene methylation test. However, its sensitivity was lower, at 72.73% (95% CI: 0.619-0.814). Furthermore, the diagnostic accuracy of combining HPV16/18 testing with all candidate gene methylation tests for the diagnosis of CIN2 + was significantly greater than when HPV16/18 testing was combined with cytology. This combined approach had an AUC of 0.907 (95% CI: 0.858-0.955), a sensitivity of 72.73% (95% CI: 0.619-0.814), and a specificity of 98.58% (95% CI: 0.964-0.995).

Conclusion: Multigene methylation testing is an efficient triage test for CIN2 + in hrHPV-positive patients and has potential value in clinical practice. Combined HPV16/18 and multigene methylation testing for the triage of CIN2 + is significantly better than combined HPV16/18 and cytology testing.

Abstract Image

Abstract Image

Abstract Image

Abstract Image

Abstract Image

Abstract Image

分析多基因甲基化检测对 hrHPV 阳性患者 CIN2 + 的分流价值。
目的:探讨多基因甲基化检测对高危人乳头瘤病毒(hrHPV)阳性患者宫颈上皮内瘤变2及以上(CIN2+)的分诊价值。方法:选择2022年7月至2024年4月海南省妇女儿童医疗中心妇科门诊hrhpv阳性病例634例。其中,274例患者根据纳入和排除标准被排除。共有360名患者进行了hrHPV、细胞学、组织病理学和多个位点的DNA甲基化评估。根据组织病理学诊断将患者分为5组:对照组、CIN1组、CIN2组、CIN3组和宫颈癌(CC)组。通过计算候选基因甲基化阳性、敏感性、特异性、曲线下面积(AUC)等性能指标,评价多基因甲基化检测在hrhpv阳性患者中CIN2 +的分诊价值。结果:在17个候选基因(ST6GALNAC5、PAX1、AJAP1、CDKN2A、ZNF671、GATA4、MAL、POU4F3、RXFP3、JAM3、MIR124、LHX8、SOX1、ASTN1、SOX17、DLX1、ITGA4)中,ITGA4甲基化检测对CIN2 +病变的诊断效能最高,AUC为0.866(95%可信区间[CI]: 0.806 ~ 0.925)。该方法的灵敏度为75.32% (95% CI: 0.647 ~ 0.836),特异性为96.45% (95% CI: 0.936 ~ 0.981)。与任何单个基因甲基化测试相比,包括所有候选基因的联合甲基化测试显示更高的特异性为97.87% (95% CI: 0.954-0.990)。但其敏感性较低,为72.73% (95% CI: 0.619-0.814)。此外,HPV16/18检测与所有候选基因甲基化检测联合诊断CIN2 +的诊断准确性显著高于HPV16/18检测与细胞学检测联合诊断CIN2 +的诊断准确性。该联合方法的AUC为0.907 (95% CI: 0.858-0.955),灵敏度为72.73% (95% CI: 0.619-0.814),特异性为98.58% (95% CI: 0.964-0.995)。结论:多基因甲基化检测是一种有效的检测hrhpv阳性患者CIN2 +的分诊方法,具有潜在的临床应用价值。HPV16/18联合多基因甲基化检测对CIN2 +的分诊效果明显优于HPV16/18联合细胞学检测。
本文章由计算机程序翻译,如有差异,请以英文原文为准。
求助全文
约1分钟内获得全文 求助全文
来源期刊
Infectious Agents and Cancer
Infectious Agents and Cancer ONCOLOGY-IMMUNOLOGY
CiteScore
5.80
自引率
2.70%
发文量
54
期刊介绍: Infectious Agents and Cancer is an open access, peer-reviewed online journal that encompasses all aspects of basic, clinical, epidemiological and translational research providing an insight into the association between chronic infections and cancer. The journal welcomes submissions in the pathogen-related cancer areas and other related topics, in particular: • HPV and anogenital cancers, as well as head and neck cancers; • EBV and Burkitt lymphoma; • HCV/HBV and hepatocellular carcinoma as well as lymphoproliferative diseases; • HHV8 and Kaposi sarcoma; • HTLV and leukemia; • Cancers in Low- and Middle-income countries. The link between infection and cancer has become well established over the past 50 years, and infection-associated cancer contribute up to 16% of cancers in developed countries and 33% in less developed countries. Preventive vaccines have been developed for only two cancer-causing viruses, highlighting both the opportunity to prevent infection-associated cancers by vaccination and the gaps that remain before vaccines can be developed for other cancer-causing agents. These gaps are due to incomplete understanding of the basic biology, natural history, epidemiology of many of the pathogens that cause cancer, the mechanisms they exploit to cause cancer, and how to interrupt progression to cancer in human populations. Early diagnosis or identification of lesions at high risk of progression represent the current most critical research area of the field supported by recent advances in genomics and proteomics technologies.
×
引用
GB/T 7714-2015
复制
MLA
复制
APA
复制
导出至
BibTeX EndNote RefMan NoteFirst NoteExpress
×
提示
您的信息不完整,为了账户安全,请先补充。
现在去补充
×
提示
您因"违规操作"
具体请查看互助需知
我知道了
×
提示
确定
请完成安全验证×
copy
已复制链接
快去分享给好友吧!
我知道了
右上角分享
点击右上角分享
0
联系我们:info@booksci.cn Book学术提供免费学术资源搜索服务,方便国内外学者检索中英文文献。致力于提供最便捷和优质的服务体验。 Copyright © 2023 布克学术 All rights reserved.
京ICP备2023020795号-1
ghs 京公网安备 11010802042870号
Book学术文献互助
Book学术文献互助群
群 号:604180095
Book学术官方微信