Association between Restless Legs Syndrome and Sleep Disturbance and 3-Year Mortality in Hemodialysis Patients.

IF 3.1 4区 医学 Q1 UROLOGY & NEPHROLOGY
Kidney Diseases Pub Date : 2025-04-04 eCollection Date: 2025-01-01 DOI:10.1159/000545008
Lanbo Teng, Huanan Li, Yingying Han, Tao Yuan, Chuhan Xu, Tao Tan, Wenxiu Chang
{"title":"Association between Restless Legs Syndrome and Sleep Disturbance and 3-Year Mortality in Hemodialysis Patients.","authors":"Lanbo Teng, Huanan Li, Yingying Han, Tao Yuan, Chuhan Xu, Tao Tan, Wenxiu Chang","doi":"10.1159/000545008","DOIUrl":null,"url":null,"abstract":"<p><strong>Introduction: </strong>Whether restless legs syndrome (RLS) and sleep disturbance (SD) in hemodialysis (HD) patients influence all-cause and cardiovascular mortality remains controversial. The aim of this study was to evaluate the association between RLS or SD and 3-year mortality in HD patients.</p><p><strong>Methods: </strong>A total of 301 patients who underwent HD were examined in April 2021 and were followed up for 3 years. The median follow-up time was 36.0 [33.3, 36.0] months. Fifty-four patients fulfilled the diagnosis of RLS (17.9%), 126 patients complained of SD (41.9%). Demographic parameters, clinical features, laboratory indices, and two questionnaires to assess the diagnosis of RLS and sleep status were collected. All-cause mortality and cardiovascular mortality in this population were evaluated. Cox regression analyses and Kaplan-Meier curves were performed to determine the effect of RLS or SD on 3-year mortality.</p><p><strong>Results: </strong>The RLS group reported that 29 patients (53.8%) exhibited concurrent symptoms of SD. The presence of RLS or SD alone did not significantly elevate the risk of all-cause mortality (<i>p</i> = 0.053 and <i>p</i> = 0.193). However, the coexistence of RLS and SD was identified as an independent risk factor for all-cause mortality (<i>p</i> = 0.011). Furthermore, the various combinations associated with RLS or SD were found to be independently correlated with the risk of cardiovascular death (<i>p</i> < 0.05).</p><p><strong>Conclusion: </strong>The combination of RLS and SD in HD patients is associated with an increased risk of cardiovascular and all-cause mortality, underscoring the clinical significance of this association.</p>","PeriodicalId":17830,"journal":{"name":"Kidney Diseases","volume":"11 1","pages":"160-169"},"PeriodicalIF":3.1000,"publicationDate":"2025-04-04","publicationTypes":"Journal Article","fieldsOfStudy":null,"isOpenAccess":false,"openAccessPdf":"https://www.ncbi.nlm.nih.gov/pmc/articles/PMC11970879/pdf/","citationCount":"0","resultStr":null,"platform":"Semanticscholar","paperid":null,"PeriodicalName":"Kidney Diseases","FirstCategoryId":"3","ListUrlMain":"https://doi.org/10.1159/000545008","RegionNum":4,"RegionCategory":"医学","ArticlePicture":[],"TitleCN":null,"AbstractTextCN":null,"PMCID":null,"EPubDate":"2025/1/1 0:00:00","PubModel":"eCollection","JCR":"Q1","JCRName":"UROLOGY & NEPHROLOGY","Score":null,"Total":0}
引用次数: 0

Abstract

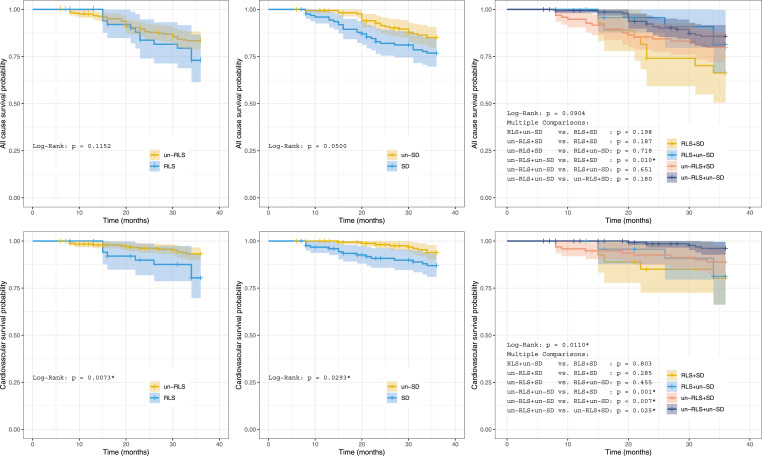
Introduction: Whether restless legs syndrome (RLS) and sleep disturbance (SD) in hemodialysis (HD) patients influence all-cause and cardiovascular mortality remains controversial. The aim of this study was to evaluate the association between RLS or SD and 3-year mortality in HD patients.

Methods: A total of 301 patients who underwent HD were examined in April 2021 and were followed up for 3 years. The median follow-up time was 36.0 [33.3, 36.0] months. Fifty-four patients fulfilled the diagnosis of RLS (17.9%), 126 patients complained of SD (41.9%). Demographic parameters, clinical features, laboratory indices, and two questionnaires to assess the diagnosis of RLS and sleep status were collected. All-cause mortality and cardiovascular mortality in this population were evaluated. Cox regression analyses and Kaplan-Meier curves were performed to determine the effect of RLS or SD on 3-year mortality.

Results: The RLS group reported that 29 patients (53.8%) exhibited concurrent symptoms of SD. The presence of RLS or SD alone did not significantly elevate the risk of all-cause mortality (p = 0.053 and p = 0.193). However, the coexistence of RLS and SD was identified as an independent risk factor for all-cause mortality (p = 0.011). Furthermore, the various combinations associated with RLS or SD were found to be independently correlated with the risk of cardiovascular death (p < 0.05).

Conclusion: The combination of RLS and SD in HD patients is associated with an increased risk of cardiovascular and all-cause mortality, underscoring the clinical significance of this association.

Abstract Image

血液透析患者不宁腿综合征与睡眠障碍及3年死亡率的关系
血液透析(HD)患者的不宁腿综合征(RLS)和睡眠障碍(SD)是否影响全因死亡率和心血管死亡率仍然存在争议。本研究的目的是评估HD患者的RLS或SD与3年死亡率之间的关系。方法:于2021年4月对301例HD患者进行检查,随访3年。中位随访时间为36.0[33.3,36.0]个月。54例患者满足RLS诊断(17.9%),126例患者主诉SD(41.9%)。收集人口学参数、临床特征、实验室指标和两份评估RLS诊断和睡眠状态的问卷。评估了该人群的全因死亡率和心血管死亡率。采用Cox回归分析和Kaplan-Meier曲线来确定RLS或SD对3年死亡率的影响。结果:RLS组报告29例(53.8%)患者同时出现SD症状。单独出现RLS或SD并没有显著提高全因死亡的风险(p = 0.053和p = 0.193)。然而,RLS和SD共存被确定为全因死亡率的独立危险因素(p = 0.011)。此外,与RLS或SD相关的各种组合被发现与心血管死亡风险独立相关(p < 0.05)。结论:HD患者合并RLS和SD与心血管和全因死亡风险增加相关,强调了这种关联的临床意义。
本文章由计算机程序翻译,如有差异,请以英文原文为准。
求助全文
约1分钟内获得全文 求助全文
来源期刊
Kidney Diseases
Kidney Diseases UROLOGY & NEPHROLOGY-
CiteScore
6.00
自引率
2.70%
发文量
33
审稿时长
27 weeks
期刊介绍: ''Kidney Diseases'' aims to provide a platform for Asian and Western research to further and support communication and exchange of knowledge. Review articles cover the most recent clinical and basic science relevant to the entire field of nephrological disorders, including glomerular diseases, acute and chronic kidney injury, tubulo-interstitial disease, hypertension and metabolism-related disorders, end-stage renal disease, and genetic kidney disease. Special articles are prepared by two authors, one from East and one from West, which compare genetics, epidemiology, diagnosis methods, and treatment options of a disease.
×
引用
GB/T 7714-2015
复制
MLA
复制
APA
复制
导出至
BibTeX EndNote RefMan NoteFirst NoteExpress
×
提示
您的信息不完整,为了账户安全,请先补充。
现在去补充
×
提示
您因"违规操作"
具体请查看互助需知
我知道了
×
提示
确定
请完成安全验证×
copy
已复制链接
快去分享给好友吧!
我知道了
右上角分享
点击右上角分享
0
联系我们:info@booksci.cn Book学术提供免费学术资源搜索服务,方便国内外学者检索中英文文献。致力于提供最便捷和优质的服务体验。 Copyright © 2023 布克学术 All rights reserved.
京ICP备2023020795号-1
ghs 京公网安备 11010802042870号
Book学术文献互助
Book学术文献互助群
群 号:604180095
Book学术官方微信